EKF 是对 KF 的扩展,使其能够处理非线性系统,它通过一阶泰勒展开(雅可比矩阵) 在当前估计点附近对非线性函数进行局部线性化,然后应用标准 KF 的预测和更新框架。 为非线性系统的状态估计提供了一个相对高效的框架,但线性化误差导致其是次优的,且计算雅可比矩阵可能很繁琐,对高度非线性系统效果不佳。
传统卡尔曼滤波(KF) 有一个根本性的限制:它只能应用于线性系统。这意味着系统的运动(状态转移)模型和观测(测量)模型都必须是线性的,可以用矩阵运算来描述。
线性运动模型示例: (F, B 是运动常量矩阵)

线性观测模型示例:(H 是观测矩阵)

然而,现实世界中的绝大多数系统都是非线性的,比如: 非线性运动模型(机器人转弯): 新的位置和方向取决于当前的速度和角度的正弦/余弦函数。 非线性观测模型(机器人观测一个路标): 观测到的距离和角度与机器人、路标之间的几何关系涉及平方根和反正切函数。
扩展卡尔曼滤波(EKF) 的核心思想就是解决这个问题,通过局部线性化,将卡尔曼滤波的理论应用到非线性系统中。
EKF 解决非线性问题的技巧不是去推导一个全新的最优滤波器,而是对一个非线性函数进行一阶泰勒展开,在当前估计值(均值)附近用一个线性函数来近似它。
假设一个非线性函数 f(x) 和 h(x),作为非线性状态转移函数:

和非线性观测函数:

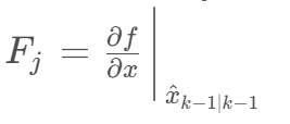
EKF 的局部线性化步骤是:

(上一时刻的最优估计)处进行线性化。

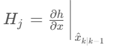
2. 通过计算雅可比矩阵 H_j(对状态 x 的偏导数矩阵),对 h 在

(当前时刻的预测值)处进行线性化:

雅可比矩阵的本质是一个多维函数的“斜率”,它描述了当输入变量发生微小变化时,输出变量的变化情况,EKF 就是用这个“斜率”来代替原函数中的非线性部分,从而将非线性系统看成一个线性系统来处理。
由于使用的是近似,EKF 不是全局最优的,而是次优的。线性化误差的大小决定了滤波器的性能。如果系统高度非线性,或者初始估计误差很大,这个近似会非常差,可能导致滤波器发散(结果完全错误)。
EKF 的流程与标准 KF 非常相似,也分为预测和更新两个步骤,但关键之处在于每一步都使用了上面提到的雅可比矩阵。
定义:
x:状态向量(例如:机器人的 [x坐标, y坐标, 朝向角度θ]) P:状态估计的不确定性(协方差矩阵) u:控制输入(例如:速度v和角速度ω) z:实际测量值(例如:到某个路标的距离r和角度φ) Q:过程噪声(运动模型的不确定性) R:观测噪声(传感器的不确定性) f:非线性状态转移函数 h:非线性观测函数
步骤 1:预测 这一步使用运动模型,根据上一刻的状态和控制输入,预测当前时刻的状态和不确定性。
1.1 预测状态:

(直接使用非线性函数 f 进行状态预测)
1.2 预测协方差:

(关键区别) 这里不再使用常量矩阵 F,而是使用从 f 推导出的雅可比矩阵来传播不确定性。
步骤 2:更新 这一步使用观测模型,将实际的传感器观测值与预测的观测值进行比较,用它们的差异(残差)来修正预测的状态,使其更准确。
2.1 计算卡尔曼增益:
(关键区别) 这里使用从 h 推导出的雅可比矩阵来代替观测矩阵 H。

2.2 更新状态(观测模型)估计: 计算残差:(实际观测 与预测观测之间的差异)

2.3 更新协方差(不确定性)估计:

特性 | 卡尔曼滤波 (KF) | 扩展卡尔曼滤波 (EKF) |
|---|---|---|
适用系统 | 严格线性系统 | 平滑的弱非线性系统 |
模型要求 | 线性模型 | 支持非线性模型 |
核心操作 | 直接使用模型矩阵F, B, H 进行线性运算 | 需要对非线性模型 f 和 h 进行线性化(求雅可比矩阵)。 |
最优性 | 在线性高斯假设下是最优估计 | 是次优估计,精度取决于线性化近似的准确性。 |
计算复杂度 | 较低 | 较高,因为每个预测和更新周期都需要实时计算雅可比矩阵。 |
实现难度 | 简单,一旦确定 F, B, H, Q, R 即可 | 复杂,需要推导非线性函数的偏导数以得到,代码实现也更复杂。 |
鲁棒性 | 对线性系统鲁棒 | 对模型误差和初始误差更敏感。在强非线性或近似不佳时容易发散。 |