首页
学习
活动
专区
圈层
工具
发布
首页
学习
活动
专区
圈层
工具
MCP广场
社区首页 >专栏 >从零开始深入理解特征分解

从零开始深入理解特征分解

作者头像
用户2423478
发布2025-10-28 13:06:41
发布2025-10-28 13:06:41
160
举报
文章被收录于专栏:具身小站具身小站

特征分解是理解矩阵所代表的线性变换内在结构的钥匙,它通过寻找变换中方向不变的特性向量(特征向量) 和其缩放倍数(特征值),将复杂变换简化为纯粹的缩放,从而深刻地揭示了矩阵的幂、指数、行列式、迹、秩等本质属性。

特征分解是掌握众多高级算法的基石,应用遍及降维(PCA)、状态估计(卡尔曼滤波)、稳定性分析、矩阵计算等几乎所有科学与工程领域,深入理解特征分解,尤其是对称矩阵的性质,是掌握协方差传播、卡尔曼滤波(KF)等概念的必要前提。

1. 直观理解

一个矩阵 A 作为一个线性变换,可以将空间中的向量进行旋转、拉伸、剪切等操作,特征分解就是将一个复杂的变换,分解为“换基 - 缩放 - 换回原基”的过程。

特征分解的核心思想:在复杂的变换中,是否存在一些特殊的向量,其方向在经过变换后保持不变,这些特殊的向量就是特征向量,变换后,它们的方向要么保持不变,要么正好相反(即停留在自身张成的空间里),其长度的缩放倍数就是对应的特征值。

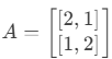
  • 矩阵可以对空间中所有的点进行变换
  • 向量 v₁ = [1, 1]ᵀ,经过 A 变换后变成了 [3, 3]ᵀ,原向量方向没有变,只是长度变成了原来的3倍。那么 v₁ 就是一个特征向量,其特征值 λ₁ = 3。
  • 向量 v₂ = [1, -1]ᵀ,经过 A 变换后变成了 [1, -1]ᵀ,原向量的方向没有变,长度也没有变。那么 v₂ 也是一个特征向量,其特征值 λ₂ = 1。

这意味着矩阵 A 所代表的线性变换,其本质作用可以这样理解:

  • 对于一组由特征向量构成的坐标系(v₁, v₂),在这组新的坐标系下,A 的变换效果变得非常简单,仅仅是在各个坐标轴方向上进行了纯粹的缩放(缩放比例就是特征值)。
  • 特征值的大小决定了变换在这个方向上“影响力”的大小。

2. 数学推导

定义 对于一个 n × n 的方阵 A,如果存在一个标量 λ 和一个非零向量 v,使得:A v = λ v 那么:

  • λ 称为矩阵 A 的一个 特征值。
  • v 称为矩阵 A 的对应于 λ 的 特征向量。

推导求解

2.1 构造特征方程:

将定义式改写(目标是找到非零解 v): Av−λv=0(合并同类项) (A−λI)v=0 其中 I 是单位矩阵。

2.2 解存在的条件:

根据线性代数理论,上述齐次线性方程组有非零解的充要条件是系数矩阵 (A - λI) 是奇异矩阵(即不可逆),亦即其行列式为零: det(A−λI)=0 这个方程称为矩阵 A 的 特征方程。

2.3 求解特征值:

det(A - λI) 是一个关于 λ 的 n 次多项式,称为 特征多项式。 解这个特征方程,得到的 n 个根(包括重根和复数根)就是矩阵 A 的 n 个特征值 λ1,λ2,...,λn

2.4 求解特征向量:

将求得的每一个特征值 λi 代回方程

求解这个齐次线性方程组,得到的每一个非零解 v 都是对应于 λ_i 的特征向量,所有解的集合(解空间)称为对应于 λ_i 的特征空间。

对角化特征分解 如果 n × n 矩阵 A 有 n 个线性无关的特征向量(即它是可对角化的),那么可以将这些特征向量作为列向量,组成一个矩阵 V: V=[v1,v2,...,vn]

同样,将对应的特征值组成一个对角矩阵 Λ: Λ=diag(λ1,λ2,...,λn)

根据特征值和特征向量的定义 Avi=λivi,我们可以将所有这些方程合并成一个矩阵方程: AV=VΛ

如果 V 是可逆的(即其特征向量线性无关),我们就可以得到矩阵 A 的特征分解,也称对角化: A=VΛV−1

这个分解的意义在于,它将矩阵 A 分解为三个简单矩阵的乘积:

  • V⁻¹:变换到以特征向量为基的坐标系(“旋转”)。
  • Λ:在新的坐标系下进行纯粹的缩放。
  • V:变换回原来的标准坐标系(“逆旋转”)。

3. 性质分析

关键点

  • 仅适用于方阵:特征分解只对方阵有定义。
  • 可对角化条件:一个矩阵能否进行特征分解,取决于它是否有 n 个线性无关的特征向量,对称矩阵(实对称矩阵)总是可以对角化,并且其特征向量是正交的。
  • 特征值可以是复数:即使矩阵元素全是实数,其特征值和特征向量也可能是复数(例如旋转矩阵)。

特殊矩阵

  • 对称矩阵 (A = Aᵀ):所有特征值都是实数,不同特征值对应的特征向量是正交的,总是可以被对角化,并且可以被正交对角化,即存在A=QΛQTA=QΛQT,其中 Q 是一个由标准正交特征向量组成的正交矩阵 (Q⁻¹ = Qᵀ)。这是奇异值分解(SVD)的基础。
  • 正定矩阵:一个对称矩阵是正定的,当且仅当其所有特征值均为正数。
  • 马尔可夫矩阵:其最大特征值 λ₁ = 1,这对应于系统的稳态。
  • 投影矩阵:特征值是 0 或 1,1 对应的特征空间是投影的目标子空间,0 对应的是被“抛弃”的垂直空间。

特征值

  • 迹:矩阵的迹(对角线元素之和)等于特征值之和,
  • 行列式:矩阵的行列式等于特征值之积
  • 秩:矩阵的秩等于其非零特征值的个数(考虑重数)。

4. 示例

5. 应用场景

  • 主成分分析(PCA):PCA的核心是计算数据的协方差矩阵,然后对其进行特征分解,特征值的大小表示数据在该特征向量方向上的方差(重要性),最大的特征值对应的特征向量就是第一主成分方向,这是最经典的降维技术。
  • 状态估计与卡尔曼滤波:在Fast-LIO等算法中,误差协方差矩阵 P 的特征值和特征向量描述了状态估计的不确定性椭球,特征向量的方向是 不确定的主要方向,特征值的大小是该方向上的不确定程度,卡尔曼滤波的更新过程本质上就是在调整这个椭球的形状和方向。
  • 稳定性分析:在机器人控制系统分析中,系统矩阵的特征值决定了系统的稳定性和动态响应,如果所有特征值的实部都为负,则系统是稳定的。
  • 矩阵函数计算:计算矩阵的幂(A^k)或指数(exp(A),用于解微分方程)非常困难,但通过特征分解 A = V Λ V⁻¹,计算变得简单:

其中 Λ^k 和 exp(Λ) 只是对对角线上的特征值进行同样的操作。

本文参与 腾讯云自媒体同步曝光计划,分享自微信公众号。
原始发表:2025-09-26,如有侵权请联系 cloudcommunity@tencent.com 删除

本文分享自 具身小站 微信公众号,前往查看

如有侵权,请联系 cloudcommunity@tencent.com 删除。

本文参与 腾讯云自媒体同步曝光计划  ,欢迎热爱写作的你一起参与!

评论
登录后参与评论
0 条评论
热度
最新
推荐阅读
目录
  • 1. 直观理解
  • 2. 数学推导
    • 2.1 构造特征方程:
    • 2.2 解存在的条件:
    • 2.3 求解特征值:
    • 2.4 求解特征向量:
  • 3. 性质分析
  • 4. 示例
  • 5. 应用场景
领券
问题归档专栏文章快讯文章归档关键词归档开发者手册归档开发者手册 Section 归档