
点击上方“Deephub Imba”,关注公众号,好文章不错过 !
做机器人逆运动学(IK)的时候,你迟早会遇到矩阵指数和对数这些东西。为什么呢?因为计算三维旋转的误差,不能简单地用欧氏距离那一套,那只对位置有效。旋转得用另一套方法——你需要算两个旋转矩阵之间的差异,这就涉及到矩阵对数了。
这篇文章就是要把这事儿说清楚:从旋转矩阵构成的李群开始,到流形和切空间,再到怎么用叉积算旋转矩阵的导数,如何对旋转矩阵做增量更新,最后是如何计算从一个姿态到另一个姿态需要的角速度。

机器人的姿态其实就是一个三维坐标系。这个坐标系由三个互相垂直、长度为1的向量组成,比如最简单的情况:(1,0,0)ᵀ、(0,1,0)ᵀ、(0,0,1)ᵀ。把这三个向量当作列向量排在一起,就得到了一个3×3的旋转矩阵。
虽然这个矩阵在数学上属于ℝ³ˣ³空间,但实际上能表示旋转的矩阵组合要少得多,它们形成一个特殊的群,叫做三维特殊正交群SO(3)。类似的还有二维旋转SO(2)、四维变换矩阵等等,这些都属于李群家族。
实数是一条直线,但SO(3)不是,它在ℝ³ˣ³里形成一个弯曲的流形。这个流形是连续的、可微的,你可以在上面定义距离。想在这个弯曲的表面上移动,就得沿着切线方向走,这就引出了切空间的概念。

就像函数的切线斜率由导数决定一样,我们也可以通过计算流形切线的"斜率"来得到它的导数。
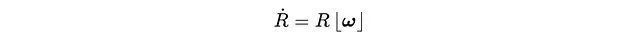
现在问题来了:一个旋转矩阵R和一个角速度向量ω,怎么算R的变化率Ṙ?
答案是这样的:

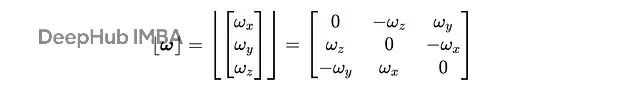
这里⎣ω⎦是ω对应的反对称矩阵:

为什么要搞成反对称矩阵?因为实际上是想算ω和R每一列的叉积。有时候你会看到这个操作写成帽子符号,都是一个意思。
所有3×3实反对称矩阵构成的空间叫做𝖘𝖔(3),这是SO(3)的李代数,也就是SO(3)在单位矩阵处的切空间。虽然它在矩阵乘法下不构成群,但它是个李代数,让我们能在非线性的SO(3)流形上做线性计算。
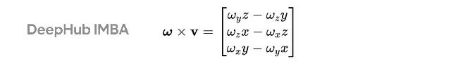
我们来仔细看看叉积ω×v是什么意思。两个向量的叉积结果是一个同时垂直于这两个向量的新向量,长度正比于两向量夹角的正弦值。

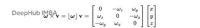
把ω变成反对称矩阵形式,就能用矩阵乘法实现叉积运算:

对矩阵R做这个操作,就等于对R的每一列都做一次叉积。
这里有个细节要注意:这个运算可以左乘也可以右乘,取决于ω是在机体坐标系还是世界坐标系下给出的。一般我们假设ω在机体坐标系,所以⎣ω⎦右乘到R上。
把ω想象成旋转轴,|ω|是转速,这样理解叉积就直观多了。如果v指向某个点,那么ω×v就是这个点绕ω轴旋转时的速度方向。
有了上面的理解,我们再看这个微分方程:

R的每一列代表一个坐标轴,和ω做叉积得到的矩阵描述了各个轴因为旋转产生的速度。那怎么得到更新后的旋转矩阵呢?
一个朴素的想法是用欧拉积分,就是把R⎣ω⎦乘个小时间步长然后加起来。但这样做有问题:无法保证结果还是正交矩阵,也就是说可能跳出SO(3)。虽然可以每步都强制归一化,但有更精确的方法。
上面那个微分方程其实是个线性常微分方程,解是:

矩阵指数函数通过泰勒展开定义,大部分线性代数库都有实现。
看看用这个方法绕ω=(1.0,1.0,1.0)ᵀ旋转的效果:

有时候我们需要反过来算:给定当前姿态R(0)和目标姿态R(t),需要什么旋转向量才能从一个到另一个?这就像算位置的欧氏距离一样。
对于旋转,我们把R(0)移到等式另一边,算矩阵对数,再除以时间t:

但事情还没完。真正的逆运动学问题需要算误差对关节角的导数。对于n个关节的机器人,我们要算一个3×n的雅可比矩阵:

要对R(t)关于q求导,得先过一遍对数,然后用链式法则。具体怎么做,会在另一篇文章里介绍。
下面是生成上面动画的代码。关键是用scipy的expm函数实现矩阵指数,核心更新就是一行:R = R @ expm(hat(omega) * dt)。
import numpy as np
from scipy.linalg import expm
import matplotlib.pyplot as plt
from mpl_toolkits.mplot3d import Axes3D
from matplotlib.animation import FuncAnimation
def hat(omega):
return np.array([
[0, -omega[2], omega[1]],
[omega[2], 0, -omega[0]],
[-omega[1], omega[0], 0]
])
# Angular velocity vector (rad/s)
omega = np.array([1.0, 1.0, 1.0])
dt = 0.05
T = 5
N = int(T / dt)
# Initialize rotation matrix as identity
R = np.eye(3)
# Store rotation matrices
Rs = [R.copy()]
for _ in range(N):
R = R @ expm(hat(omega) * dt)
Rs.append(R.copy())
fig = plt.figure()
ax = fig.add_subplot(111, projection='3d')
# Set plot limits and labels
ax.set_xlim([-1.5, 1.5])
ax.set_ylim([-1.5, 1.5])
ax.set_zlim([-1.5, 1.5])
ax.set_xlabel('X')
ax.set_ylabel('Y')
ax.set_zlabel('Z')
ax.set_title('Rotating 3D Coordinate Frame')
# Initialize quiver objects for x, y, z axes
quiver_x = ax.quiver(0, 0, 0, 1, 0, 0, color='r', length=1, normalize=True)
quiver_y = ax.quiver(0, 0, 0, 0, 1, 0, color='g', length=1, normalize=True)
quiver_z = ax.quiver(0, 0, 0, 0, 0, 1, color='b', length=1, normalize=True)
def update(num):
# Remove previous quivers (if any)
for artist in ax.collections:
artist.remove()
R = Rs[num]
x_axis = R[:, 0]
y_axis = R[:, 1]
z_axis = R[:, 2]
ax.quiver(0, 0, 0, *x_axis, color='r', length=1, normalize=True)
ax.quiver(0, 0, 0, *y_axis, color='g', length=1, normalize=True)
ax.quiver(0, 0, 0, *z_axis, color='b', length=1, normalize=True)
return []
ani = FuncAnimation(fig, update, frames=len(Rs), interval=50, blit=False)
from matplotlib.animation import PillowWriter
ani.save("rotation.gif", writer=PillowWriter(fps=20))
plt.show()本文从理论到实践全面介绍了矩阵指数在机器人逆运动学中的应用。我们从SO(3)李群和𝖘𝖔(3)李代数的数学结构出发,解释了为什么旋转计算需要特殊的数学工具。通过流形和切空间的几何概念,我们理解了旋转矩阵导数的计算方法,并学会了使用反对称矩阵实现叉积运算。矩阵指数函数提供了精确的旋转更新方法,能够保证旋转矩阵在更新过程中始终保持正交性,避免了传统欧拉积分可能导致的数值不稳定问题。而矩阵对数则解决了逆向问题——如何计算从当前姿态到目标姿态所需的旋转误差和角速度。这套方法的核心优势在于能够在非线性的旋转空间中进行精确计算,为逆运动学算法提供了必要的数学工具,特别是在计算雅可比矩阵时所需的旋转导数。对于需要高精度姿态控制的机器人应用,这些数学工具是必不可少的。
作者:Nikolaus Correll
喜欢就关注一下吧:
点个 在看 你最好看!
本文分享自 DeepHub IMBA 微信公众号,前往查看
如有侵权,请联系 cloudcommunity@tencent.com 删除。
本文参与 腾讯云自媒体同步曝光计划 ,欢迎热爱写作的你一起参与!