
📢本篇文章是博主启发式算法领域学习时,用于个人学习、研究或者欣赏使用,并基于博主对相关等领域的一些理解而记录的学习摘录和笔记,若有不当和侵权之处,指出后将会立即改正,还望谅解。文章分类在👉启发式算法专栏: 【启发式算法】(13)---《灰狼优化算法(Grey Wolf Optimizer, GWO)(Python)》
在现代计算智能领域,优化问题广泛存在于机器学习、工程设计、图像处理、路径规划等诸多应用中。传统梯度类优化方法在处理非凸、高维、不可导问题时表现受限,因此,基于自然界启发的**元启发式优化算法(Metaheuristics)**成为研究热点。
灰狼优化算法(Grey Wolf Optimizer, GWO)由 Mirjalili 等人于 2014 年提出,是一种模拟灰狼社会等级与狩猎行为的群体智能优化算法。GWO 算法结构简洁、参数少、全局搜索能力强,已在多个 benchmark 函数与工程问题中展现出优越性能。

灰狼群体具有严格的社会等级结构,GWO 算法将其映射为优化过程中的候选解:

狼等级 | 算法角色 | 优化含义 |
|---|---|---|
α(Alpha) | 最优解 | 当前群体中的最佳候选解 |
β(Beta) | 次优解 | 第二优解,辅助 Alpha 决策 |
δ(Delta) | 第三优解 | 第三优解,参与引导搜索 |
ω(Omega) | 其他个体 | 被引导的候选解,向 α、β、δ 学习 |
灰狼的狩猎行为主要包括三个阶段:包围猎物、追踪猎物、攻击猎物。GWO 算法将这三个阶段建模为如下数学形式。
设猎物位置为

,灰狼个体位置为

,则包围行为定义如下:


其中,

和

为系数向量,定义如下:

-

随迭代线性减小,从 2 降至 0,控制探索与开发的转换; -
![$\vec{r}_1, \vec{r}_2 \in [0, 1]^d$](https://developer.qcloudimg.com/http-save/yehe-100000/f81f9818e015ed66fecf995fc7c810bd.png)
为随机向量,增强搜索的随机性。
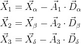
在 GWO 中,Alpha、Beta 和 Delta 狼负责估计猎物位置,其余个体根据它们的引导更新位置。具体公式如下:
首先计算与三只头狼的距离:

然后根据它们的引导更新位置:

最终位置更新为三者平均:

GWO 通过调节参数

实现探索与开发的动态平衡:
- 当

:搜索个体远离猎物,进行**全局探索**; - 当

:搜索个体靠近猎物,进行**局部开发**。
此外,

向量引入随机扰动,有助于跳出局部最优,增强全局搜索能力。

GWO 算法流程如下:
1. 初始化灰狼种群 X_i (i = 1, 2, ..., N)
2. 计算每个个体的适应度
3. 记录 Alpha、Beta、Delta 狼
4. 对于每次迭代:
a. 更新参数 a, A, C
b. 对于每个个体:
i. 根据 Alpha、Beta、Delta 更新位置
ii. 计算新位置的适应度
c. 更新 Alpha、Beta、Delta
5. 满足终止条件则结束,否则返回步骤 4算法示例:
函数:f(x,y)=20+x2+y2−10(cos2πx+cos2πy) 全局最小值在 (0,0),f=0。 搜索范围:x,y∈[-5,5]。 (曲面高低起伏,有很多局部极小,适合观察 GWO 如何跳出陷阱。)
种群大小 N=5,随机生成 5 只灰狼(为便于手算,只保留 2 位小数):
编号 | (x,y) | f(x,y) | 等级 |
|---|---|---|---|
1 | ( 2.1, -1.3) | 27.84 | ω |
2 | (-0.8, 0.4) | 8.24 | β |
3 | ( 1.2, 2.4) | 35.56 | ω |
4 | (-0.3, -0.2) | 1.92 | α |
5 | ( 3.0, -2.5) | 58.30 | ω |
立刻选出前三狼: α = 4 号 (-0.3, -0.2) β = 2 号 (-0.8, 0.4) δ = 1 号 ( 2.1, -1.3)
3.1 更新控制参数 a = 2 → 0 线性递减,这里第一次迭代取 a=2。 r1,r2∈[0,1] 随机,假设本次:
r1=0.3, r2=0.8 → A = 2a·r1 - a = 2·2·0.3 - 2 = -0.8 C = 2·r2 = 1.6
3.2 对任意一只普通狼(以 3 号为例)演示完整更新 3 号当前位置 X=(1.2, 2.4)
Step-1 计算与 α,β,δ 的距离 Dα=|C·Xα - X|=|1.6·(-0.3, -0.2) - (1.2, 2.4)| = |(-0.48, -0.32) - (1.2, 2.4)| = (1.68, 2.72)
同理(手算省略)得 Dβ=(2.08, 1.92) Dδ=(4.56, 4.48)
Step-2 计算三只“引导狼”给出的下一步位置 X1 = Xα - A·Dα = (-0.3, -0.2) - (-0.8)·(1.68, 2.72) = (-0.3, -0.2) + (1.344, 2.176) = (1.044, 1.976)
X2 = Xβ - A·Dβ = (-0.8, 0.4) + 0.8·(2.08, 1.92) = (0.864, 1.936)
X3 = Xδ - A·Dδ = (2.1, -1.3) + 0.8·(4.56, 4.48) = (5.748, 2.284)
Step-3 取平均得到新位置 X(t+1)= (X1+X2+X3)/3 = ( (1.044+0.864+5.748)/3 , (1.976+1.936+2.284)/3 ) = (2.55, 2.06)
3.3 计算新位置适应度 f(2.55, 2.06)= 20 + 2.55² + 2.06² -10(cos2π·2.55 + cos2π·2.06) ≈ 22.4 比原 f=35.56 明显下降,移动有效!
3.4 对整个种群重复上述操作 得到 5 个新位置后,重新排序,选出新的 α,β,δ,进入下一次迭代。
论文中GWO 在 29 个标准测试函数上与 PSO、GSA、DE 等算法对比,结果如下:
测试类型 | 函数特性 | GWO 表现 |
|---|---|---|
单峰函数 | 检验开发能力 | 收敛速度快,精度高 |
多峰函数 | 检验探索能力 | 避免局部最优能力强 |
复合函数 | 综合性能 | 探索与开发平衡良好 |
项目代码我已经放入GitCode里面,可以通过下面链接跳转:🔥 【启发式算法】灰狼优化算法(Grey Wolf Optimizer, GWO)(Python) 后续相关启发式算法也会不断在【HeuristicAlgorithm】项目里更新,如果该项目对你有所帮助,请帮我点一个星星✨✨✨✨✨,鼓励分享,十分感谢!!! 若是下面代码复现困难或者有问题,也欢迎评论区留言。
"""《灰狼算法》
时间:2024.10.30
作者:不去幼儿园
"""
import numpy as np
import matplotlib.pyplot as plt
plt.rcParams['font.family'] = 'SimHei' # Windows系统常用中文字体
# 参数设置
Pop_size = 10
Max_T = 75
Dim = 2
Num_obstacles = 50
safe_distance = 5
bounds = np.array([[0, 100], [0, 100]])
# 随机生成起点和终点
def generate_start_and_goal(bounds, safe_distance,
min_sep=None, margin=5):
"""
保证起点在左上矩形,终点在右下矩形,且两者欧氏距离 >= min_sep
bounds: np.array([[xmin, xmax], [ymin, ymax]])
margin: 距离边界的最小留白,防止起点/终点贴边
min_sep: 两点间最小距离,默认等于 safe_distance
"""
if min_sep is None:
min_sep = safe_distance
x_min, x_max = bounds[0, 0], bounds[0, 1]
y_min, y_max = bounds[1, 0], bounds[1, 1]
# 计算中心点,把地图切成左上 / 右下两个矩形
x_c = (x_min + x_max) / 2
y_c = (y_min + y_max) / 2
# 左上矩形边界
left_x1, right_x1 = x_min + margin, x_c - margin
bottom_y1, top_y1 = y_c + margin, y_max - margin
# 右下矩形边界
left_x2, right_x2 = x_c + margin, x_max - margin
bottom_y2, top_y2 = y_min + margin, y_c - margin
# 确保矩形有效
assert left_x1 < right_x1 and bottom_y1 < top_y1, "左上区域过小,请调大地图或减小 margin"
assert left_x2 < right_x2 and bottom_y2 < top_y2, "右下区域过小,请调大地图或减小 margin"
while True:
# 在左上矩形采起点
start = np.array([np.random.uniform(left_x1, right_x1),
np.random.uniform(bottom_y1, top_y1)])
# 在右下矩形采终点
goal = np.array([np.random.uniform(left_x2, right_x2),
np.random.uniform(bottom_y2, top_y2)])
if np.linalg.norm(start - goal) >= min_sep:
return start, goal
# 随机生成障碍物
def generate_obstacles(num_obstacles, bounds, start, goal, safe_distance):
obstacles = []
while len(obstacles) < num_obstacles:
obs = np.random.uniform(bounds[:, 0], bounds[:, 1], size=(1, 2)).flatten()
if (np.linalg.norm(obs - start) >= safe_distance and
np.linalg.norm(obs - goal) >= safe_distance and
all(np.linalg.norm(obs - other) >= 2 * safe_distance for other in obstacles)):
obstacles.append(obs)
return np.array(obstacles)
# 适应度函数(标准GWO与改进GWO共用)
def fitness_function(position, goal, obstacles, safe_distance):
distance_to_goal = np.linalg.norm(position - goal)
penalty = sum([1000 / dis_to_obs for obs in obstacles
if (dis_to_obs := np.linalg.norm(position - obs)) < safe_distance])
return distance_to_goal + penalty
# 标准GWO算法实现
def standard_gwo(Pop_size, Max_T, Dim, start, goal, bounds, obstacles, safe_distance):
positions = np.random.uniform(bounds[:, 0], bounds[:, 1], size=(Pop_size, Dim))
alpha_pos, beta_pos, delta_pos = start.copy(), None, None
alpha_score, beta_score, delta_score = float('inf'), float('inf'), float('inf')
best_path, best_scores = [start.copy()], []
for iter in range(Max_T):
for i in range(Pop_size):
fitness = fitness_function(positions[i, :], goal, obstacles, safe_distance)
if fitness < alpha_score:
delta_score, delta_pos = beta_score, beta_pos
beta_score, beta_pos = alpha_score, alpha_pos
alpha_score, alpha_pos = fitness, positions[i, :].copy()
elif fitness < beta_score:
delta_score, delta_pos = beta_score, beta_pos
beta_score, beta_pos = fitness, positions[i, :].copy()
elif fitness < delta_score:
delta_score, delta_pos = fitness, positions[i, :].copy()
best_path.append(alpha_pos.copy())
best_scores.append(alpha_score)
for i in range(Pop_size):
for j in range(Dim):
r1_alpha, r2_alpha = np.random.rand(), np.random.rand()
A1 = 2 * (2 - iter * (2 / Max_T)) * r1_alpha - (2 - iter * (2 / Max_T))
C1 = 2 * r2_alpha
D_alpha = abs(C1 * alpha_pos[j] - positions[i, j])
X1 = alpha_pos[j] - A1 * D_alpha
A2, C2 = 2 * (2 - iter * (2 / Max_T)) * np.random.rand() - (
2 - iter * (2 / Max_T)), 2 * np.random.rand()
D_beta = abs(C2 * beta_pos[j] - positions[i, j]) if beta_pos is not None else 0
X2 = beta_pos[j] - A2 * D_beta
A3, C3 = 2 * (2 - iter * (2 / Max_T)) * np.random.rand() - (
2 - iter * (2 / Max_T)), 2 * np.random.rand()
D_delta = abs(C3 * delta_pos[j] - positions[i, j]) if delta_pos is not None else 0
X3 = delta_pos[j] - A3 * D_delta
positions[i, j] = (X1 + X2 + X3) / 3
positions = np.clip(positions, bounds[:, 0], bounds[:, 1])
return best_path, best_scores, alpha_pos
# 改进GWO算法实现
def modified_gwo(Pop_size, Max_T, Dim, start, goal, bounds, obstacles, safe_distance):
positions = np.random.uniform(bounds[:, 0], bounds[:, 1], size=(Pop_size, Dim))
alpha_pos, beta_pos, delta_pos = start.copy(), None, None
alpha_score, beta_score, delta_score = float('inf'), float('inf'), float('inf')
best_path, best_scores = [start.copy()], []
for iter in range(Max_T):
a = 2 - iter * (2 / Max_T)
for i in range(Pop_size):
fitness = fitness_function(positions[i, :], goal, obstacles, safe_distance)
if fitness < alpha_score:
delta_score, delta_pos = beta_score, beta_pos
beta_score, beta_pos = alpha_score, alpha_pos
alpha_score, alpha_pos = fitness, positions[i, :].copy()
elif fitness < beta_score:
delta_score, delta_pos = beta_score, beta_pos
beta_score, beta_pos = fitness, positions[i, :].copy()
elif fitness < delta_score:
delta_score, delta_pos = fitness, positions[i, :].copy()
best_path.append(alpha_pos.copy())
best_scores.append(alpha_score)
for i in range(Pop_size):
for j in range(Dim):
r1, r2 = np.random.rand(), np.random.rand()
A1, C1 = 2 * a * r1 - a, 2 * r2
D_alpha = abs(C1 * alpha_pos[j] - positions[i, j])
X1 = alpha_pos[j] - A1 * D_alpha
A2, C2 = 2 * a * np.random.rand() - a, 2 * np.random.rand()
D_beta = abs(C2 * beta_pos[j] - positions[i, j]) if beta_pos is not None else 0
X2 = beta_pos[j] - A2 * D_beta
A3, C3 = 2 * a * np.random.rand() - a, 2 * np.random.rand()
D_delta = abs(C3 * delta_pos[j] - positions[i, j]) if delta_pos is not None else 0
X3 = delta_pos[j] - A3 * D_delta
positions[i, j] = (0.6 * X1 + 0.3 * X2 + 0.1 * X3)
positions = np.clip(positions, bounds[:, 0], bounds[:, 1])
return best_path, best_scores, alpha_pos
start, goal = generate_start_and_goal(bounds, safe_distance)
obstacles = generate_obstacles(Num_obstacles, bounds, start, goal, safe_distance)
# 运行两种GWO算法
standard_path, standard_scores, standard_final_pos = standard_gwo(Pop_size, Max_T, Dim, start, goal, bounds, obstacles,
safe_distance)
modified_path, modified_scores, modified_final_pos = modified_gwo(Pop_size, Max_T, Dim, start, goal, bounds, obstacles,
safe_distance)
# 绘制最终路径
plt.figure(figsize=(12, 5))
plt.subplot(1, 2, 1)
plt.title("标准GWO - 最终路径")
plt.plot(start[0], start[1], 'go', markersize=10, label='起点')
plt.plot(goal[0], goal[1], 'ro', markersize=10, label='终点')
plt.plot(obstacles[:, 0], obstacles[:, 1], 'ks', markersize=4, label='障碍物')
standard_path_np = np.array(standard_path)
plt.plot(standard_path_np[:, 0], standard_path_np[:, 1], 'c-', linewidth=1.5, label='路径')
plt.scatter(standard_path_np[:, 0], standard_path_np[:, 1], color='c', s=20, marker='o')
plt.plot(standard_final_pos[0], standard_final_pos[1], 'c*', markersize=12, label='最终Alpha位置')
plt.legend()
plt.subplot(1, 2, 2)
plt.title("改进GWO - 最终路径")
plt.plot(start[0], start[1], 'go', markersize=10, label='起点')
plt.plot(goal[0], goal[1], 'ro', markersize=10, label='终点')
plt.plot(obstacles[:, 0], obstacles[:, 1], 'ks', markersize=4, label='障碍物')
modified_path_np = np.array(modified_path)
plt.plot(modified_path_np[:, 0], modified_path_np[:, 1], 'm-', linewidth=1.5, label='路径')
plt.scatter(modified_path_np[:, 0], modified_path_np[:, 1], color='m', s=20, marker='o')
plt.plot(modified_final_pos[0], modified_final_pos[1], 'm*', markersize=12, label='最终Alpha位置')
plt.legend()
plt.show()
# 绘制收敛曲线对比
plt.figure()
plt.plot(range(Max_T), standard_scores, 'b-', label='标准GWO')
plt.plot(range(Max_T), modified_scores, 'r-', label='改进GWO')
plt.xlabel('迭代次数')
plt.ylabel('最优适应度值')
plt.title('收敛曲线对比')
plt.legend()
plt.show()
# 计算最优路径长度
standard_path_Len = sum(np.linalg.norm(standard_path_np[i] - standard_path_np[i + 1])
for i in range(len(standard_path_np) - 1))
print(f'标准路径长度: {standard_path_Len}')
modified_path_Len = sum(np.linalg.norm(modified_path_np[i] - modified_path_np[i + 1])
for i in range(len(modified_path_np) - 1))
print(f'改进路径长度: {modified_path_Len}')

GWO 就是: “让最厉害的三只狼(α,β,δ)当‘导航员’,其余狼每隔一步都向它们学习一次,逐渐把整群狼拖到谷底。” 把上面的手算步骤对照代码走一遍,你会发现“包围-狩猎-攻击”不再抽象,而是每一步都在做向量加加减减——这就是灰狼优化的全部秘密。
# 环境配置
Python 3.11.5
torch 2.1.0
torchvision 0.16.0
gym 0.26.2灰狼优化算法(GWO)作为一种群体智能优化方法,具有以下优势:
- 结构简洁,参数少,易于实现; - 模拟社会等级与协同行为,具备良好全局搜索能力; - 在探索与开发之间实现动态平衡; - 在标准测试函数与工程问题中表现优异,具备广泛应用前景。
参考资料: Mirjalili S., Mirjalili S.M., Lewis A. (2014). *Grey Wolf Optimizer*, Advances in Engineering Software, Vol. 69, pp. 46–61.
https://github.com/Dev-Soni-2608/Grey-Wolf-Optimizer-for-Robot-Path-Planning/tree/main