首页
学习
活动
专区
圈层
工具
发布
首页
学习
活动
专区
圈层
工具
MCP广场
社区首页 >专栏 >常用插值方法详细解析及示例

常用插值方法详细解析及示例

作者头像
用户2423478
发布2025-10-28 13:05:38
发布2025-10-28 13:05:38
210
举报
文章被收录于专栏:具身小站具身小站

1. 最近邻插值

核心思想: 寻找距离未知点 x 最近的已知数据点 x_i,并将其值 y_i 直接赋予 x。

特点与优势:

  • 计算速度极快:只需比较距离,无需复杂计算。
  • 保持原值:插值结果永远是原始样本值之一,不会产生新的值。
  • 不连续:插值后的函数是阶跃的,不光滑。

缺点:

  • 精度最低,误差较大。
  • 生成图像或曲线会有明显的“块状”或“锯齿”效应。

示例:

计算距离:|2.5-2| = 0.5, |2.5-3| = 0.5 结论:x=2.5 离 x=2和x=3的距离一样,可以增加新策略,比如选小的方向,则插值结果:y = 4。

主要应用: 图像放大(当需要保持锐利边缘且不引入新颜色时,如像素艺术)、快速预览。

2. 线性插值

核心思想: 认为相邻两个已知点之间的变化是线性的,通过连接两点的线段来估计未知点的值。

特点:

  • 计算简单,效率高。
  • 结果连续,避免了最近邻法的跳跃感。
  • 比高阶多项式插值更稳定,不会出现疯狂的振荡。
  • 插值结果不平滑(在节点处不可导,一阶导数不连续)。
  • 精度高于最近邻但低于高阶方法。

示例:

已知点:(1, 1), (2, 4), (3, 9),求 x=2.5的值。

插值结果:y = 6.5。

3. 多项式插值 (Polynomial)

核心思想: 寻找一个唯一的 n 阶多项式 P(x) ,使其恰好通过所有 n+1 个已知数据点。

3.1 拉格朗日插值

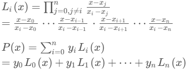
核心思想: 构造一组拉格朗日基多项式 Li(x)Li(x),每个 Li(x) 在 x=xi 处为 1,在其他已知点 xj(j≠i)处为 0,最终插值多项式P(x)是这些基多项式的线性组合,形式分别为:

特点:

i(xj)={1if j=i0if j

示例:

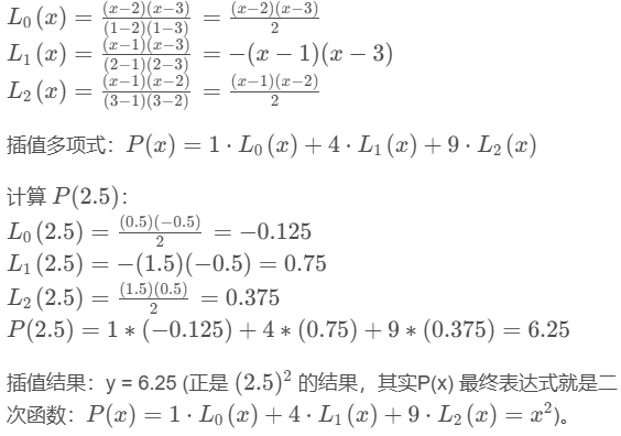
已知点:(1, 1), (2, 4), (3, 9),求 x=2.5的值。

构造基多项式:

3.2 牛顿插值

核心思想: 使用均差来逐步构造多项式,形式为:

P(x)=a0+a1(x−x0)+a2(x−x0)(x−x1)+...特点:

  • 计算效率高 O(n2):增加一个新数据点时,只需在现有多项式后增加一项,无需重新计算所有项,这在动态获取数据时非常有用。
  • 数值计算上通常比拉格朗日形式更稳定。
  • 同样受到龙格现象的困扰。

示例

已知点:(1, 1), (2, 4), (3, 9),求 x=2.5的值。 构造均差表:

从表中得到系数:

4. 样条插值

核心思想: 为了解决高阶多项式插值的龙格现象,采用“分而治之”的策略,使用分段低阶多项式(最常用的是三次多项式)来连接所有数据点,并强制要求连接点处具有连续的一阶和二阶导数,从而保证整体曲线的光滑性,最常用三次样条插值。

特点:

  • 极其光滑:整体曲线具有连续的二阶导数,视觉效果非常好。
  • 非常稳定:避免了龙格现象,对于任意分布的数据点都能得到良好的结果。
  • 精度高:是实践中最常用、最可靠的插值方法之一。
  • 计算复杂:需要求解一个三对角线性方程组来确定所有分段多项式的系数。

示例:

已知点:(1, 1), (2, 4), (3, 9),求 x=2.5的值。

建立方程组 设三个节点为 x₀=1, x₁=2, x₂=3,对应的函数值为 y₀=1, y₁=4, y₂=9。

  • 分别找到两个三次多项式: S₀(x) = a₀ + b₀(x-1) + c₀(x-1)² + d₀(x-1)³,在区间 [1,2] 上 S₁(x) = a₁ + b₁(x-2) + c₁(x-2)² + d₁(x-2)³,在区间 [2,3] 上
  • 插值条件 S₀(1) = a₀ = 1 S₀(2) = a₀ + b₀ + c₀ + d₀ = 4 S₁(2) = a₁ = 4 S₁(3) = a₁ + b₁ + c₁ + d₁ = 9
  • 一阶导数连续性(在 x=2 处) S₀’(2) = b₀ + 2c₀ + 3d₀ S₁’(2) = b₁ S₀’(2) = S₁’(2)
  • 二阶导数连续性(在 x=2 处) S₀’‘(2) = 2c₀ + 6d₀ S₁’‘(2) = 2c₁ S₀’‘(2) = S₁’'(2)
  • 自然边界条件 S₀’‘(1) = 2c₀ = 0 S₁’'(3) = 2c₁ + 6d₁ = 0
  • 求解方程组 根据上述条件,我们得到以下方程组: 方程1:a₀ = 1 方程2:a₀ + b₀ + c₀ + d₀ = 4 方程3:a₁ = 4 方程4:a₁ + b₁ + c₁ + d₁ = 9 方程5:b₀ + 2c₀ + 3d₀ = b₁ 方程6:2c₀ + 6d₀ = 2c₁ 方程7:2c₀ = 0 方程8:2c₁ + 6d₁ = 0 从方程7得:c₀ = 0 代入方程6:6d₀ = 2c₁ ⇒ c₁ = 3d₀ 代入方程2:1 + b₀ + 0 + d₀ = 4 ⇒ b₀ + d₀ = 3 代入方程5:b₀ + 0 + 3d₀ = b₁ ⇒ b₁ = b₀ + 3d₀ 代入方程4:4 + b₁ + c₁ + d₁ = 9 ⇒ b₁ + c₁ + d₁ = 5 代入方程8:2c₁ + 6d₁ = 0 ⇒ 6d₀ + 6d₁ = 0 ⇒ d₀ + d₁ = 0 ⇒ d₁ = -d₀ 现在新增关系: b₁ = b₀ + 3d₀ c₁ = 3d₀ d₁ = -d₀ 代入 b₁ + c₁ + d₁ = 5: (b₀ + 3d₀) + 3d₀ + (-d₀) = 5 ⇒ b₀ + 5d₀ = 5 之前有 b₀ + d₀ = 3 解这两个方程: b₀ + d₀ = 3 b₀ + 5d₀ = 5 相减得:4d₀ = 2 ⇒ d₀ = 0.5 代入得:b₀ = 3 - 0.5 = 2.5 进一步得出: b₁ = 2.5 + 3×0.5 = 4 c₁ = 3×0.5 = 1.5 d₁ = -0.5
  • 得到样条函数 对于区间 [1,2]:S₀(x) = 1 + 2.5(x-1) + 0(x-1)² + 0.5(x-1)³ 对于区间 [2,3]:S₁(x) = 4 + 4(x-2) + 1.5(x-2)² - 0.5(x-2)³
  • 计算 x=2.5 的值 x=2.5 位于区间 [2,3],所以使用 S₁(x): S₁(2.5) = 4 + 4(2.5-2) + 1.5(2.5-2)² - 0.5(2.5-2)³ = 4 + 4×0.5 + 1.5×0.25 - 0.5×0.125 = 4 + 2 + 0.375 - 0.0625 = 6.3125

5. 总结与对比 为了更直观地比较,下表总结了各方法的核心特性:

方法

核心思想

光滑性

计算效率

精度/稳定性

缺点

最近邻

直接取最近点的值

不连续

极高

最低

锯齿状,误差大

线性

用直线连接相邻点

C00 连续

中等

节点处有“尖角”

多项式

单一天价多项式穿过所有点

C∞ 无限光滑

不稳定(龙格现象)

高阶振荡,数值不稳定

三次样条

分段三次多项式,节点光滑

C2 连续(非常光滑)

中等

高且稳定

实现相对复杂

本文参与 腾讯云自媒体同步曝光计划,分享自微信公众号。
原始发表:2025-09-26,如有侵权请联系 cloudcommunity@tencent.com 删除

本文分享自 具身小站 微信公众号,前往查看

如有侵权,请联系 cloudcommunity@tencent.com 删除。

本文参与 腾讯云自媒体同步曝光计划  ,欢迎热爱写作的你一起参与!

评论
登录后参与评论
0 条评论
热度
最新
推荐阅读
目录
  • 1. 最近邻插值
  • 2. 线性插值
  • 3. 多项式插值 (Polynomial)
    • 3.1 拉格朗日插值
    • 3.2 牛顿插值
  • 4. 样条插值
领券
问题归档专栏文章快讯文章归档关键词归档开发者手册归档开发者手册 Section 归档