深度学习是现代人工智能的核心技术之一,而神经网络是深度学习的基础结构。神经网络通过模拟人脑的神经元工作原理,从数据中自动提取特征并进行复杂的模式识别和分类任务。在这篇博客中,我们将详细探讨神经网络的基本概念、构成单元、重要特性以及它们在深度学习中的关键作用。
神经元是神经网络的基本计算单元,其灵感来源于生物神经元。生物神经元通过接收输入信号(来自其他神经元或感受器),经过处理后传递输出信号。人工神经元模拟了这一过程,主要由以下部分组成:
数学上,一个神经元的输出可以表示为:

其中,( x_i ) 是输入信号,( w_i ) 是权重,( b ) 是偏置,( f ) 是激活函数。
感知器(Perceptron)是最简单的人工神经元模型,由Frank Rosenblatt在1958年提出。感知器是一种线性分类器,能够将输入数据分为两个类别。其基本结构如下:
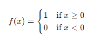
阶跃函数定义为:

感知器模型可以表示为:

感知器的训练过程通过调整权重和偏置,使模型能够正确分类输入数据。感知器的局限性在于它只能处理线性可分的数据集,对于复杂的非线性数据无能为力。
多层感知器(Multi-Layer Perceptron,MLP)是由多个感知器层叠组成的神经网络模型。MLP通过引入隐藏层(Hidden Layer),能够处理复杂的非线性数据。MLP的基本结构包括:
每一层的输出作为下一层的输入,层与层之间全连接(Fully Connected),即每个神经元与上一层的所有神经元相连。
激活函数是MLP中引入非线性的关键,使得神经网络能够拟合复杂的非线性关系。 常见的激活函数包括:

Sigmoid函数将输入压缩到(0, 1)之间,适用于输出为概率的任务,但容易导致梯度消失问题。

Tanh函数将输入压缩到(-1, 1)之间,相比Sigmoid具有零中心,但仍有梯度消失问题。

ReLU函数解决了梯度消失问题,计算简单,广泛应用于现代神经网络中。但其可能导致部分神经元“死亡”,即在训练过程中输出恒为零。

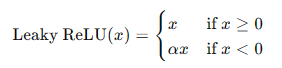
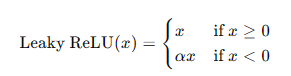
Leaky ReLU在负轴上保留一部分信息,避免了神经元死亡的问题。 MLP的训练 MLP的训练过程包括前向传播(Forward Propagation)和反向传播(Backpropagation)。前向传播计算每层的输出,反向传播计算误差梯度并更新权重。
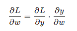
反向传播的关键是链式法则(Chain Rule),通过链式法则计算每层的梯度:

其中,( L ) 是损失函数,( y ) 是输出,( w ) 是权重。
激活函数的作用 激活函数在神经网络中起到引入非线性的作用,使得神经网络能够学习和拟合复杂的非线性关系。不同的激活函数具有不同的特性和应用场景。 常见激活函数
Sigmoid函数将输入值映射到(0, 1)之间,常用于二分类问题的输出层。其数学表达式为:

**优点:**平滑且连续,输出范围在(0, 1)之间。 **缺点:**容易导致梯度消失问题,训练深层网络时效果不佳。
Tanh函数将输入值映射到(-1, 1)之间,常用于隐藏层的激活函数。其数学表达式为:

**优点:**零中心化,输出范围在(-1, 1)之间。 **缺点:**与Sigmoid函数类似,也容易导致梯度消失问题。
ReLU函数是现代神经网络中最常用的激活函数,输出输入值与0的较大者。其数学表达式为:

**优点:**计算简单,能够有效解决梯度消失问题,提高训练速度。 **缺点:**可能导致部分神经元“死亡”,即在训练过程中输出恒为零。
Leaky ReLU函数是ReLU的变种,在负轴上保留一部分信息,避免神经元死亡的问题。其数学表达式为:

**优点:**避免神经元死亡,保留负值信息。 **缺点:**需要手动调节参数 ( \alpha )。
激活函数的选择对神经网络的性能有重要影响。 一般来说,隐藏层使用ReLU或其变种(如Leaky ReLU),输出层根据具体任务选择Sigmoid或Tanh函数。对于回归问题,输出层可以直接使用线性激活函数。
神经网络是深度学习的基础结构,通过模拟人脑的神经元工作原理,能够从数据中自动提取特征并进行复杂的模式识别和分类任务。本文详细探讨了神经元和感知器、多层感知器(MLP)、激活函数的基本概念和关键技术。希望通过这篇详细的博客,读者能够全面理解神经网络的基础知识,为深入学习和研究深度学习技术打下坚实的基础。