
作者:一位踩过坑、画过遍历图、调错过指针的大二学生 东岸 目标读者:刚学完 C 语言、正在啃数据结构的大一/大二同学 一句话预告:这是一场从“文件夹”出发,通往“递归思维”的旅程。
想象一下:你打开电脑,双击“此电脑” → 进入“D盘” → 打开“学习资料” → 点进“数据结构作业” → 最终找到那个名为 tree.c 的文件。
这个路径: D:\ → 学习资料 → 数据结构作业 → tree.c
是不是一层套一层?有没有一种“根在上、叶在下”的结构感?
没错!这正是树形结构在现实中最常见的应用——文件系统。
很多同学刚接触“树”这个概念时,总觉得抽象、玄乎,甚至害怕。其实你早就和它朝夕相处了,只是不知道它的名字罢了。今天,我们就从这个熟悉的“文件夹”出发,一起揭开“树”的神秘面纱。
你学过数组、链表,它们是线性结构:数据一个接一个,像排队打饭,前后关系明确。
但现实世界很多东西不是排队,而是分层、分枝的。比如:
<html> → <body> → <div> → <p>这些结构有一个共同点:一个“上级”可以有多个“下级”,但每个“下级”只能有一个“上级”。这就是树!
树是由 n(n ≥ 0)个有限结点组成的具有层次关系的集合。它有一个特殊的根结点(root),其余结点被分成若干个互不相交的子树。
关键点来了:
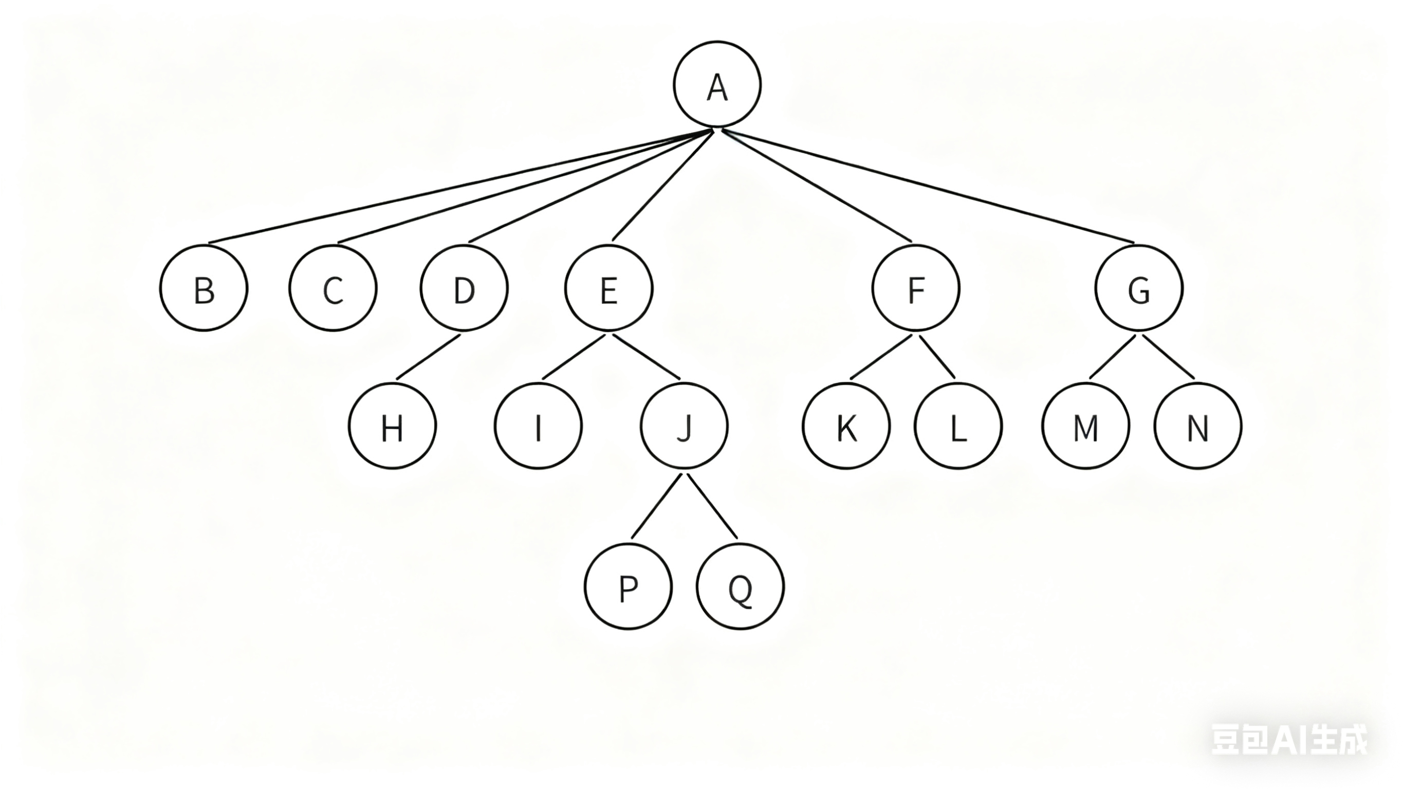
👉 举个栗子: 假设你有一个文件夹结构如下:

项目/src/ 和 docs/ 是 项目/ 的孩子结点main.c、utils.c 是 src/ 的孩子README.md 是 docs/ 的孩子Makefile 是 项目/ 的另一个孩子整个结构就是一棵树!
结构 | 特点 | 类比 | 适用场景 |
|---|---|---|---|
线性表 | 一对一,顺序访问 | 排队打饭 | 存储有序数据 |
树 | 一对多,层次分明 | 家族族谱、文件系统 | 表达层级关系 |
图 | 多对多,任意连接 | 社交网络(A认识B,B认识C,C又认识A) | 路径规划、关系网络 |
✅ 重点提醒: 树 ≠ 图! 树中任意两个结点之间只有唯一路径;而图可以有环、有多个路径。 所以——树是图的特例,但图不是树。
别被术语吓到!我们一个个来,配上例子,保你秒懂。

比如:你爸是你父结点,你是你爸的子结点(之一)。 在文件系统中,
src/是main.c的父目录(即父结点)。
有同一个爸爸的结点互为兄弟。
比如:main.c 和 utils.c 都是 src/ 的孩子 → 它们是亲兄弟!
一个结点有多少个孩子,它的“度”就是多少。
项目/ 有 3 个孩子(src/、docs/、Makefile)→ 度 = 3main.c 没有孩子 → 度 = 0📝 树的度 = 所有结点中最大的度。比如上面例子中树的度是 3。
main.c、utils.c、README.md、Makefile 都是叶子项目/、src/、docs/ 是分支结点✅ 记忆技巧:叶子 = 最底层的文件;分支 = 中间的文件夹。
上例中:
项目/:第 1 层src/、docs/、Makefile:第 2 层main.c 等:第 3 层
→ 树的高度 = 3main.c 的祖先是:src/、项目/项目/ 的子孙是它下面所有文件和文件夹从结点 A 到结点 B,沿父子关系走的路线。
比如从 main.c 到 README.md 的路径是:
main.c ← src/ ← 项目/ → docs/ → README.md
(注意:必须经过共同祖先)
多棵树组成的集合。
比如你电脑里有:
D:\学习资料(一棵树)D:\游戏(另一棵树)合起来就是森林。
💡 小知识:把森林中每棵树的根连到一个虚拟根上,就变成一棵大树。这在某些算法中有用!

线性表可以用数组或链表,那树这么“分叉”的结构,怎么存?
但问题来了:每个结点的孩子数量不确定!有的 0 个,有的 6 个(就像 PDF 里的例子 A 有 6 个孩子)。
如果用“每个结点开 6 个指针”,那叶子结点就浪费了 6 个指针的空间。
于是,前辈们想出了一个聪明办法:
核心思想:把“多叉树”转成“二叉树”来存!
每个结点只存两个指针:
child:指向第一个孩子brother:指向右边的下一个兄弟struct TreeNode {
int data; // 数据域(比如文件名哈希值)
struct TreeNode* child; // 第一个孩子
struct TreeNode* brother; // 右边的兄弟
};原始树:

用孩子兄弟法变成:
A | B — C — D | E — F
child = B;B 的 brother = C;C 的 brother = Dchild = E;E 的 brother = F✅ 优点:
📌 这就是为什么我们重点学“二叉树” —— 它是树结构的“通用表示法”!
虽然文件系统是最直观的例子,但树的应用远不止于此:
XML / JSON 解析 | 层级嵌套天然对应树结构 |
编译器语法树(AST) | 把代码解析成语法树,便于分析和优化 |
数据库索引(B+树) | 快速查找、范围查询的底层结构 |
决策树(机器学习) | 通过树形规则做分类预测 |
红黑树(C++ map/set) | 保证插入、查找 O(log n) 的平衡树 |
🔍 踩坑经历: 我第一次写编译器实验,看到“抽象语法树”四个字直接懵了。 后来画了张图,发现就是“if-else”套“for”套“表达式”——不就是树嘛! 画图,是理解树结构最有效的武器!
树是递归结构 | 根 + 子树,子树也是树 |
非线性 = 分层分叉 | 不像数组那样“一条线” |
术语要结合例子记 | 别死背定义,用文件夹类比 |
孩子兄弟法很妙 | 把多叉转二叉,统一处理 |
树无处不在 | 从文件系统到 AI,都在用 |
C:\Users\你的名字 目录下的三层结构,标出根、叶子、兄弟。C:\Users\你的名字 目录下的三层结构,标出根、叶子、兄弟。
我们将深入:
更有向上调整 vs 向下调整的复杂度对决,带你理解为什么“建堆用向下调整更快”!
🌟 寄语: 数据结构不是魔法,而是对现实世界的建模。 你不是在学“树”,你是在学如何用代码表达层次与关系。 下次看到文件夹,别只想着找作业——想想它的“树形灵魂”吧!
欢迎在评论区留言你的思考题答案,或分享你生活中的“树结构”例子! 👉 点赞 + 收藏 + 关注,不迷路!
感谢,各位同学的观看