首页
学习
活动
专区
圈层
工具
发布
社区首页 >专栏 >北交&字节最新开源ThinkGen:首次显式利用多模态CoT处理生成任务,多项任务性能SOTA

北交&字节最新开源ThinkGen:首次显式利用多模态CoT处理生成任务,多项任务性能SOTA

作者头像
AI生成未来
发布2025-12-31 19:05:17
发布2025-12-31 19:05:17
2330
举报

作者:Siyu Jiao等

解读:AI生成未来

论文链接:https://arxiv.org/pdf/2512.23568 项目链接:https://github.com/jiaosiyuu/ThinkGen HF 链接:https://huggingface.co/JSYuuu/ThinkGen

亮点直击

  • 首次提出思考驱动的视觉生成框架: ThinkGen 是第一个显式利用 MLLM 的思维链(CoT)推理来处理各种生成场景的思考驱动视觉生成框架。这解决了现有方法在泛化性和适应性方面的局限性,因为它们通常针对特定场景设计 CoT 机制。
  • 解耦架构: ThinkGen 采用解耦架构,将预训练的 MLLM 和 Diffusion Transformer (DiT) 分开。其中,MLLM 负责根据用户意图生成定制指令,DiT 则根据这些指令生成高质量图像。这种设计克服了现有框架缺乏高级推理能力的问题。
  • 视觉生成指令提炼 (VGI-refine) 模块: 为了解决 CoT 推理过程中冗余信息的问题,提出了 VGI-refine 模块。该模块从 MLLM 的推理链中提取简洁的指令信息,并将其与可学习的 Prepadding States 连接起来,从而实现 MLLM 表示分布的自适应调整,更好地与 DiT 的要求对齐。
  • 可分离 GRPO-based 训练范式 (SepGRPO): 提出了一种名为 SepGRPO 的可分离强化学习训练范式,它在 MLLM 和 DiT 模块之间交替进行强化学习。这种灵活的设计支持在不同数据集上进行联合训练,从而促进了在广泛生成场景中有效的 CoT 推理。
  • 在多生成场景中实现 SOTA 性能: 广泛的实验证明,ThinkGen 在多个生成基准测试中实现了稳健的、最先进的性能,尤其是在推理密集型任务中表现出色。

总结速览

解决的问题

  • 现有的多模态大语言模型(MLLMs)在理解任务中展现了思维链(CoT)推理的有效性,但其在生成任务中的扩展仍然处于初级阶段。
  • 现有针对生成任务的 CoT 机制通常是针对特定场景定制的,这限制了其泛化能力和适应性,导致在更广泛的任务中性能下降,并且通常需要手动干预来激活不同生成任务的 CoT 推理。
  • 当前框架普遍缺乏高级推理能力。

提出的方案

  • 本文提出了 ThinkGen,这是一个通用且思考驱动的视觉生成框架,旨在显式地利用 MLLM 的 CoT 推理能力,以解决各种生成场景中的复杂任务。
  • 通过解耦 MLLM 和 Diffusion Transformer (DiT) 的架构,实现了在生成之前制定高质量计划的能力。

应用的技术

  • 解耦架构: 框架包含一个预训练的 MLLM(用于生成定制指令)和一个 Diffusion Transformer (DiT)(用于生成高质量图像)。
  • 思维链(CoT)推理: 显式地利用 MLLM 的 CoT 推理能力,通过生成明确的中间步骤来系统地解决复杂任务。
  • 视觉生成指令提炼 (VGI-refine): 引入 VGI-refine 模块,从 MLLM 的自回归 CoT 输出中筛选掉冗余信息,并结合可学习的 Prepadding States 进行对齐。
  • 可分离 GRPO-based 训练范式 (SepGRPO): 一种交替在 MLLM 和 DiT 模块之间进行强化学习的训练策略,旨在鼓励 MLLM 生成与 DiT 偏好对齐的指令,并使 DiT 基于这些指令生成高质量图像。

达到的效果

  • 在多个生成基准测试中实现了稳健的、最先进的性能。
  • ThinkGen 在采用 CoT 推理时,在广泛的生成场景中取得了卓越的性能(如下图1所示)。
  • 实现了在多种生成场景下的有效 CoT 推理,从而增强了泛化能力。

架构方法

ThinkGen 采用解耦架构,包含一个预训练的 MLLM 和一个 Diffusion Transformer (DiT)。MLLM 负责根据用户意图生成定制指令,而 DiT 则根据这些指令生成高质量图像。这种解耦设计确保了每个组件的最佳性能,同时保持了系统的可扩展性和模块化,如下图3所示。

多模态大型语言模型 (MLLM)

ThinkGen 利用 MLLM 处理视觉和文本输入,并通过自回归生成进行 CoT 推理。MLLM 使用 Qwen3-VL-8B-Think 初始化。对于图像生成任务,本文设计了一个专门的系统提示([SYS])来促使 MLLM 理解用户意图并提供适当的重写指令。随后,从 </think> 标记之后生成的隐藏状态的最后两层被提取出来,作为 DiT 的条件输入。经验结果表明,使用最后两层隐藏状态对视觉生成有显著益处。

Diffusion Transformer (DiT)

ThinkGen 采用标准的 DiT 架构,并使用 OmniGen2-DiT-4B初始化。MLLM 的输出作为 DiT 的条件文本输入。在图像编辑任务中,额外的参考图像通过 VAE处理并作为条件视觉输入。视觉和文本输入与噪声潜在特征连接,实现跨模态的联合注意力。本文采用一个简单的线性层作为连接器,以对齐来自多个条件输入的特征。

VGI-refine

为了解决 MLLM 自回归思维链(CoT)输出中存在的冗余信息,本文引入了视觉生成指令提炼(VGI-refine)模块,包含两个步骤。首先,从 MLLM 生成的文本标记中提取 </think> 特殊标记之后的指令标记,从而分离出用于下游图像生成的必要 CoT 结果。其次,将 K 个可学习的 Prepadding States 连接到提取的指令标记上。这种连接调节了输出隐藏状态的数据分布,尤其对于短指令(例如,“生成一只狗”或“移除猫”)特别有益。最终得到的精炼指令状态作为条件输入提供给 DiT。

训练策略

ThinkGen 的训练分为五个不同的阶段,如下图4所示。首先,对 DiT 进行监督预训练(阶段 1-3)以确保高质量的图像生成。随后,引入了一种称为 SepGRPO 的可分离 MLLM 和 DiT 强化学习方法(阶段 4-5)。通过 SepGRPO 训练,MLLM 学习生成与 DiT 偏好最佳对齐的描述或编辑指令,而 DiT 则在此基础上进一步优化以生成更优质的图像。

监督预训练

监督预训练阶段(阶段 1-3)旨在将 DiT 与 MLLM 对齐,同时提高图像生成质量。本文采用 Rectified Flow训练范式,通过最小化 Flow Matching 目标直接回归速度场 。

其中 表示目标速度场。

  • 输入格式: 在预训练阶段,为了避免昂贵的重写每个标题或编辑指令的成本,本文构建了伪 CoT 模板来模拟 MLLM 的 CoT 过程。具体来说,<think> </think> 内的内容留空,并简单地重复原始标题或编辑指令作为答案。
  • 阶段1 对齐: 在此阶段,本文引入 K 个可学习的预填充状态,并通过仅训练线性连接器来将 DiT 与 MLLM 对齐,同时保持 MLLM 和 DiT 冻结。
  • 阶段2 预训练: 在此阶段,所有 DiT 参数都是可训练的。训练语料库包含 60M 图像样本,包括文本到图像、图像编辑、文本渲染和上下文生成数据。
  • 阶段3 高质量微调: 在监督微调阶段,本文构建了一个 0.7M 的高质量子集,以增强 DiT 的指令遵循能力和图像美学。

SepGRPO

SepGRPO,一种强化学习训练策略,旨在鼓励 MLLM 生成与 DiT 偏好最佳对齐的标题/编辑指令,同时使 DiT 能够根据这些指令生成更高质量的图像。SepGRPO 解耦了文本和视觉的展开过程:首先,固定 DiT,通过联合多任务训练将 GRPO 应用于 MLLM;然后,固定 MLLM,将 GRPO 应用于 DiT。

  • 输入格式: 在策略训练期间,本文设计了一个专门的 [SYS] 来促进冷启动,允许 MLLM 探索 DiT 偏好的文本条件。具体来说,本文将 [SYS]、输入样本 [C] 和特殊 <think> 标记连接起来作为 MLLM 的输入。
  • 阶段4 MLLM-GRPO: 在此阶段,将 GRPO 应用于 MLLM,以鼓励生成与 DiT 偏好对齐的重写文本。本文在多个场景下优化 MLLM,以增强 CoT 推理的泛化能力。本文选择了五个代表性生成场景:语义组合、推理生成、文本渲染、图像编辑和反射。如下表1所示,针对每个场景,本文收集并整理了专用数据集,并设计了相应的规则模型来指导优化。

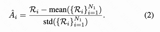
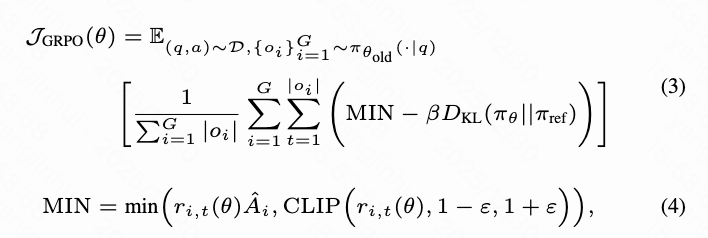
对于 MLLM 的每个输入,本文从策略 执行 次 rollout 以生成轨迹 ,然后 DiT 使用这些轨迹生成相应的图像。规则模型用于计算每个轨迹的奖励 。随后,以组相对的方式计算第 个轨迹的优势 :

然后通过优化 GRPO 目标来更新策略 ,该目标是带有 KL 散度正则化的裁剪替代函数:

其中 表示 和 输出当前 token 的概率比。在此过程中,DiT 和规则模型共同充当奖励模型。

  • 阶段5 DiT-GRPO: 在此阶段,本文应用 FlowGRPO来增强 DiT 的指令遵循能力。本文利用来自 Simple Scene 和 Text Rendering 场景的数据,以及它们相应的奖励计算方法。

实验结果总结

ThinkGen 在多种生成场景下进行了评估,并与现有方法进行了比较。结果表明,ThinkGen 在推理生成、推理编辑、文本到图像生成和图像编辑方面都取得了显著的性能提升。

推理生成

如下表2所示,在 WISEBench 基准测试中,ThinkGen 表现出优于直接生成方法的显著优势。通过利用 CoT 推理,ThinkGen 实现了 +21% (0.55 → 0.76) 的显著改进,并在 WISEBench 上建立了新的最先进性能。

推理编辑

如下表3所示,在 RISEBench 上,ThinkGen 的 CoT 推理能力显著超越了开源模型(3.6 → 13.0),并取得了与闭源模型 Gemini-2.0 相当的结果。

文本到图像生成

如下表4所示,ThinkGen 在 GenEval、DPG-Bench 和 CVTG 基准测试中,通过 CoT 推理,始终在所有场景中表现出改进,并在许多知名模型中取得了最佳结果。这些结果表明 ThinkGen 具有强大的指令遵循和文本渲染能力。

图像编辑

如下表5所示,在 ImgEdit 上,ThinkGen 与一系列开源模型相比,显示出显著优越的指标,取得了与 GPT-4o 相当的性能。

消融研究

  • 训练阶段消融: 如下表6所示,逐步应用每个训练阶段对 ThinkGen 的性能都有贡献。
    • 仅训练连接器(Stage1)导致文本渲染性能不佳(CVTG: 0.28),表明 MLLM 和 DiT 之间缺乏足够的细粒度对齐。
    • 大规模预训练(Stage2)显著改善了图像质量,GenEval 增加了 10%,WISE 增加了 9%,CVTG 增加了 35%。
    • 高质量微调(Stage3)进一步增强了图像细节,CVTG 提高了 +12.0%。
    • 将 GRPO 应用于 MLLM(Stage4)略微影响了 GenEval (-0.01) 和 WISE (-0.01) 上的图像生成,但结合 CoT 显著提升了推理和生成能力(WISE: 0.55 → 0.76)。
    • DiT-GRPO(Stage5)进一步提高了图像生成质量,尤其是在细粒度文本渲染任务中(CVTG: 0.79 → 0.84)。
  • Prepadding States: 如下表7所示,预填充状态显著改善了短提示基准测试的性能(GenEval: 0.64→0.78,WISEBench: 0.37→0.46,CVTG: 0.24→0.28,ImgEdit: 3.46→3.93)。
  • 训练策略: 如表8所示,直接将 SFT 应用于具有推理数据的 DiT 并未改善推理基准测试的性能。然而,使用 MLLM-GRPO 训练 MLLM 极大地增强了 ThinkGen 的推理能力(WISE: 0.55 → 0.74)。
  • VGI-refine 中的提取策略: 如下表13所示,仅使用 </think> 标记后面的隐藏状态(CUT)比使用所有隐藏状态(ALL)在所有基准测试中都产生了持续的改进,尤其是在短提示生成任务中。这表明截断 pre-</think> 隐藏状态可以有效消除冗余信息,从而提高图像生成质量。
  • 连接器设计: 如下表12所示,线性层连接器优于 MLP 或 Transformer 连接器。

SepGRPO 过程分析

如图5所示,通过可视化 SepGRPO 的中间过程,观察到以下关键现象:

  • CoT 长度增加: 平均 CoT 长度逐渐增长,表明模型在训练期间发展出更复杂的推理能力。
  • 统一奖励增长: 随着训练的进行,多任务奖励稳步增加,表明 ThinkGen 学习在不同场景中自适应地思考。
  • 图像质量改进: 50、300 和 700 步的图像可视化显示出图像生成质量的明显提升趋势,生成的图像展现出更丰富的细节和更高的保真度。

结论

ThinkGen,一个新颖的思考驱动框架,能够自动地将思维链(CoT)推理应用于多样化的生成任务。本文的方法采用解耦的 MLLM-DiT 架构,并通过 SepGRPO 进行训练,使其能够在生成之前制定高质量的计划。广泛的实验证明,ThinkGen 在推理密集型任务上取得了显著的改进。本工作代表着构建更智能、更通用、无缝整合推理与创造的生成模型迈出了关键一步。

参考文献

[1] ThinkGen: Generalized Thinking for Visual Generation

本文参与 腾讯云自媒体同步曝光计划,分享自微信公众号。
原始发表:2025-12-31,如有侵权请联系 cloudcommunity@tencent.com 删除

本文分享自 AI生成未来 微信公众号,前往查看

如有侵权,请联系 cloudcommunity@tencent.com 删除。

本文参与 腾讯云自媒体同步曝光计划  ,欢迎热爱写作的你一起参与!

评论
登录后参与评论
0 条评论
热度
最新
推荐阅读
目录
  • 亮点直击
  • 总结速览
    • 解决的问题
    • 提出的方案
    • 应用的技术
    • 达到的效果
  • 架构方法
    • 多模态大型语言模型 (MLLM)
    • Diffusion Transformer (DiT)
    • VGI-refine
  • 训练策略
    • 监督预训练
    • SepGRPO
  • 实验结果总结
  • 结论
  • 参考文献
领券
问题归档专栏文章快讯文章归档关键词归档开发者手册归档开发者手册 Section 归档