树(Tree)是n(n≥0)个结点的有限集.n=0时称为空树. 在任意一颗非空树中:

,其中每一个集合本身又是一颗树,并且称为根的子树(SubTree),如下图:

有关树的定义我们还需强调两点:



线性结构
树结构
这里我们给出了一些树的基本常用操作:
ADT 树(tree)
Data
树是由一个根结点和若干棵子树构成。树中结点具有相同数据类型及层次关系。
Operation
InitTree(*T):构造空树T。
DestroyTree(*T):销毁树T。
CreateTree(*T,definition):按definition中给出树的定义来构造树。
ClearTree(*T):若树T存在,则将树T清为空树。
TreeEmpty(*T):若树T为空树,返回true,否则返回false。
TreeDepth(*T):返回树T的深度。
Root(T):返回T的根结点。
Value(T,cur_e):cur_e是树T中一个结点,返回此结点的值。
Assign(T,cur_e,value):给树T的结点cur_e赋值为value。
Parent(T,cur_e):若cur_e是树T中的非根结点,则返回它的双亲,否则返回空。
LeftChild(T,cur_e):若cur_e是树T的非叶结点,则返回它的最左孩子,否则返回空。
RightSibling(T,cur_e):若cur_e有右兄弟,则返回它的右兄弟,否则返回空。
InsertChild(*T,*p,i,c):其中p指向树T的某个结点,i为所指结点p的度加上1,
非空树c与T不相交,操作结果为插入c为树T中p指结点的第i棵子树。
DeleteChild(*T,*p,i): 其中p指向树T的某个结点, i为所指结点p的度,操作
结果为删除T中p所指结点的第i棵子树。
endADT对于树的存储结构,我们这里介绍三种不同的表示法:双亲表示法、孩子表示法、孩子兄弟表示法。
在链表中,我们设置的结点结构是由一个数据域和一个指针域构成的,如下图:

而到了树结构中,由于树中包含了诸多重要的要素,我们的结点构成就非常的灵活了,以双亲表示法为例,我们在每个结点中,附设一个指示器指示其双亲结点在数组的位置.也就是说,每个节点除了知道自己是谁外,还知道它的双亲在哪里.它的结点结构如下图所示:

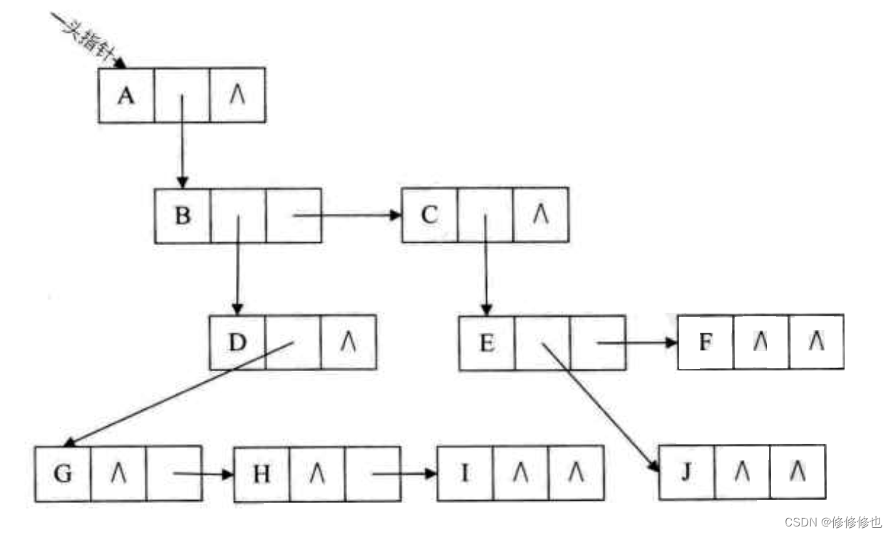
孩子表示法的思路是: 把每个结点放到一个顺序存储结构的数组里,再对每个结点的孩子建立一个单链表体现它们的关系.
具体办法是: 把每个结点的孩子结点排列起来,以单链表作存储结构,则n个结点有n个孩子链表,如果是叶子结点则此单链表为空.然后n个头指针又组成一个线性表,采用顺序存储结构,放进一个一维数组中,如下图所示:

任意一棵树,它的结点的第一个孩子如果存在就是唯一的,它的右兄弟如果存在也是唯一的.因此,我们设置两个指针,分别指向该结点的第一个孩子和此节点的右兄弟.
结点示意图:

该方法实现的树如下图所示:
