

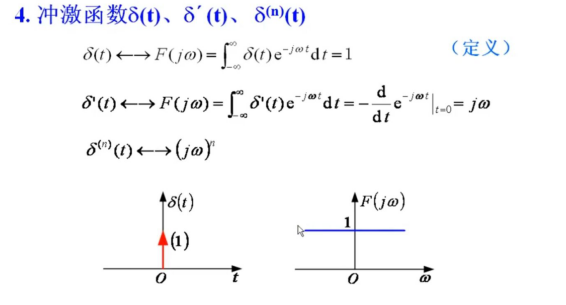
f(t)=f(t)*\delta(t)=\int_{-\infty}^{\infty}f(\tau)\delta(t-\tau)d\tau
基本信号求出基本响应。任意信号可以分解为基本信号的线性组合(求和式):连续->卷积积分,所以知道分解就可以求出复杂输入信号的响应。

时域分析的要点:以冲激函数为基本信号,任意输入信号可分解为一系列冲击函数;而

系统分析的独立变量是频率,分析是在频率空间进行的,故称为频率域分析,简称频域分析(傅里叶分析)。

频域分析法要点以正弦信号和虚指数信号为基本信号,将任意输入信号分解为一系列不同频率的正弦信号或虚指数信号之和,再利用LTI性质求出系统的响应。

信号怎样分解最有效? 信号分解为正交函数
信号 -> 矢量

-> 推广到n维空间

思路:将矢量空间正交分解的概念推广到信号空间——在信号空间找到若干个相互正交的信号作为基本信号,使得信号空间中任意信号均可表示成它们的线性组合。
信号空间里怎样构建信号分解?







例子:f(t)是电压,f(t)加载在1\Omega的电阻上产生的瞬时功率的f^{2}(t):求积分 -> 能量 = 分量和(能量守恒)


f(t)信号
\varphi_{i}完备正交函数集
推广具体,令\varphi_{i}为三角函数集




间断点为第一类间断点:一个信号在这点间断,但左右导数存在


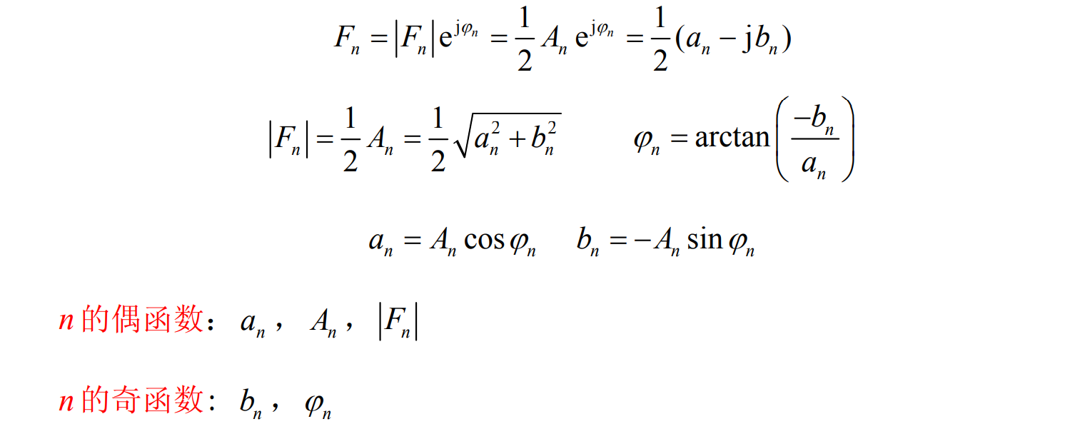
如果f(t)是奇函数,a_{n}=0









因为n=0时,为\frac{A_{0}}{2};n为(-\infty,-1)和(1,+\infty)正好构成(-\infty,+\infty),所以可以合在一起





$$ 2|F_{n}|=A_{n} $$










$$ \textcolor{red}{因为Sa(x)=\frac{sinx}{x},所以F_{n}=\frac{\tau}{T}Sa(\frac{n\Omega\tau}{2})} $$




当T不变,\tau变小时,周期不变,脉冲宽度变窄。幅度\frac{\tau}{T}下降;\Omega不变;\frac{2m\pi}{\tau}零点增大导致零点间远移,\frac{T}{\tau}两零点间谱线数增多。

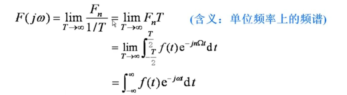
傅里叶级数向傅里叶变换的节点,非周期信号周期为1,下一周期在无穷远处。



表明:对于周期信号,在时域中求得的信号功率与在频域中求得的信号功率相等。


例题



注意:虽然各频率分量的幅度趋近于无穷小,但无穷小量之间仍有相对大小差别,故引入频谱密度函数。
























意义:傅里叶变换具有唯一性。傅里叶变换的性质揭示了信号的时域特性和频域特性之间的内在联系。讨论傅里叶变换的性质,目的在于:了解时-频域特性的内在联系;利用性质方便求解F(j\omega);了解在通信系统领域中的应用。
说明:( 1)这些性质是建立在变化对的基础上;( 2)常见变换+性质可以解决较复杂的问题。















0<a<1,脉冲持续时间增加a倍,变化慢了,信号在频域的频带压缩a倍。高频分量减少,幅度上升a倍。

a>1,脉冲持续持续时间短,变化快了。信号在频域高频分量增加,频带展宽,各分量的幅度下降a倍。
原函数延迟一个量或超前一个量的变换。非常重要!线代通信理论的基础。




通信原理中,调制解调的基础。信号为什么能发出去?频谱搬移



说的一句话信号为f(t),信号直接乘cos\omega_{0}t就相当于把它的频谱搬到f(t)cos(\omega_{0}t)上,双边谱调制发出去。
cos\omega_{0}t为载波信号,相当于汽车,将f(t)载着运到一个地方去,已调信号发射出去(发到收音机)。
收音机收到后,要将信号解出来就需要解调。再乘cos\omega_{0}t得到音频信号。
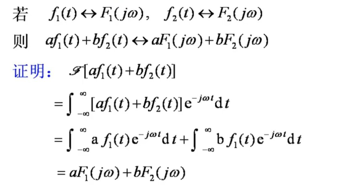
1.线性:若f_{1}(t)\leftrightarrow F_{2}(j\omega),f_{2}(t)\leftrightarrow F_{2}(j\omega),则af_{1}(t)+bf_{2}(t)\leftrightarrow aF_{1}(j\omega)+bF_{2}(j\omega)
2.奇偶性:若f(t)\leftrightarrow F(j\omega),则f(-t)\leftrightarrow F(-j\omega)
3.对称性:若f(t)\leftrightarrow F(j\omega),则F(jt)\leftrightarrow 2\pi f(-\omega)
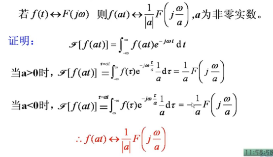
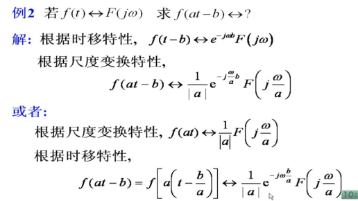
4.尺度变换特征:若f(t)\leftrightarrow F(\omega),则f(at)\leftrightarrow \frac{1}{|a|}F(j\frac{\omega}{a}),a为非零实数
5.时移特性:若f(t)\leftrightarrow F(j\omega),则f(t\pm t_{0})\leftrightarrow e^{\pm ja\omega_{0}}F(j\omega),t_{0}为实常数。\若F(j\omega)=|F(j\omega)|e^{j\varphi(\omega)},则f(t\pm t_{0})\leftrightarrow|F(j\omega)|·e^{j[\varphi(\omega)\pm\omega t_{0}]}
6.频移特性:若f(t)\leftrightarrow F(j\omega),则e^{\textcolor{red}{\mp }j\omega_{0}t}f(t)\leftrightarrow F[j(\omega\textcolor{red}{\pm }\omega_{0})],\omega_{0}为实常数。



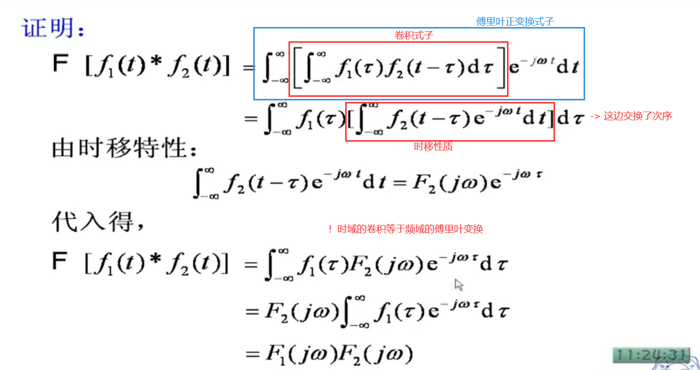
没听懂调频……4.22卷积定理
调频比调幅好,失真小。调频:频率随着要传出的信息变化。同步解调




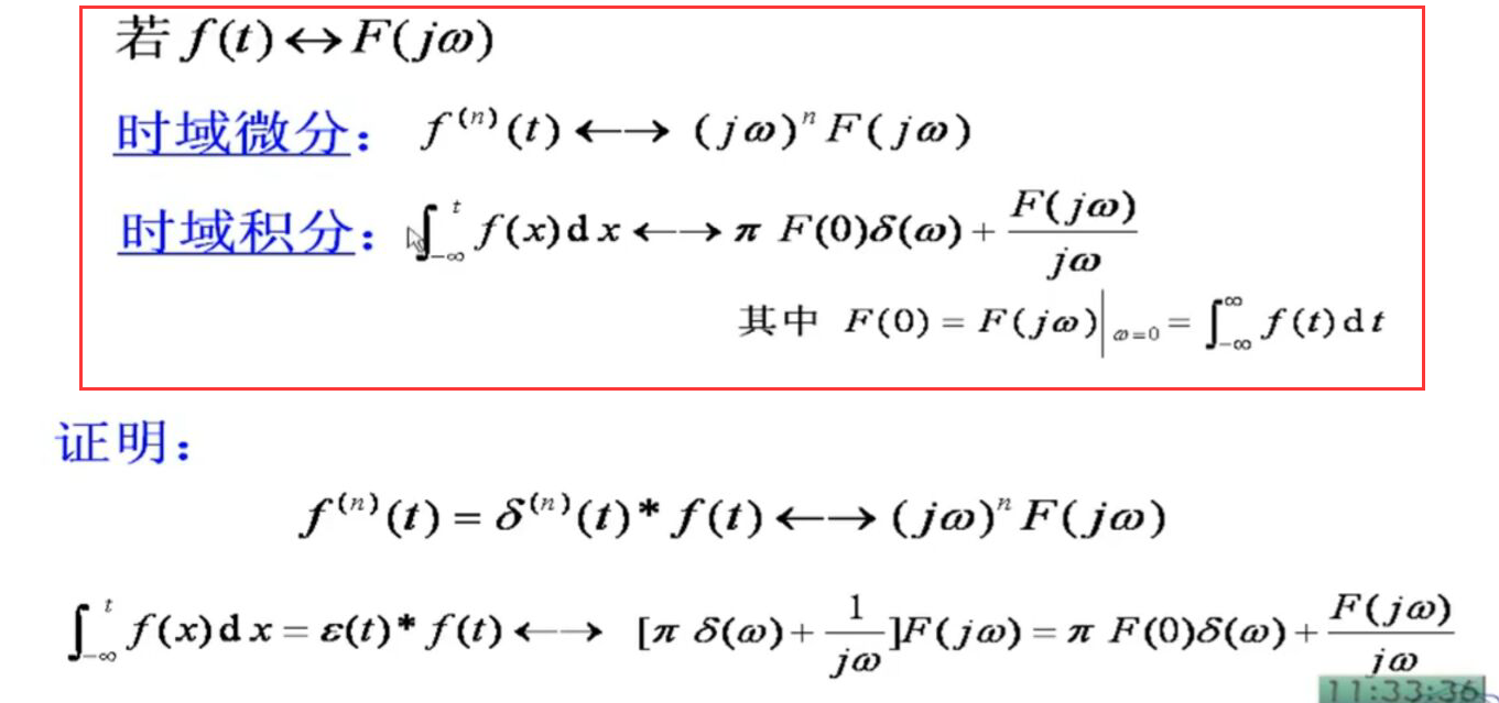
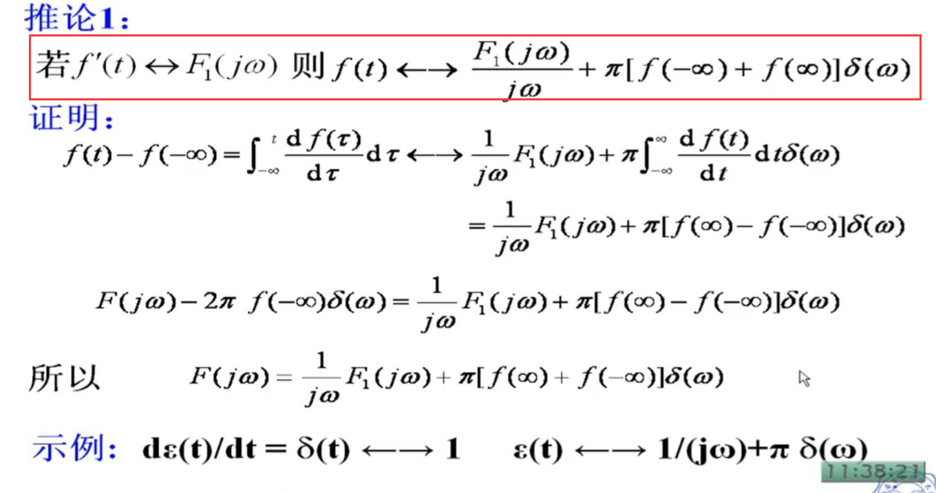
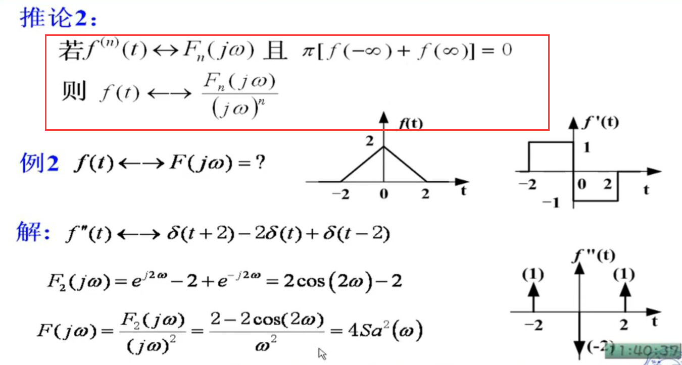
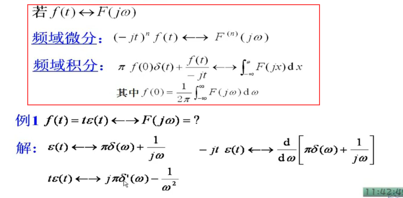
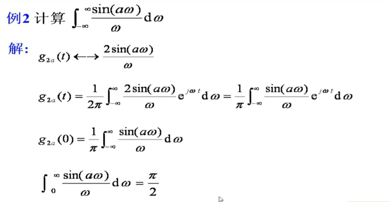
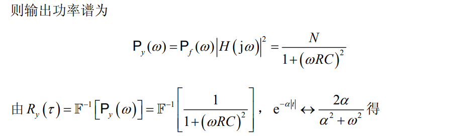
解决频域求得n阶导数对应时间函数和原函数关系问题


1.互相关函数\rightarrow f_{1}和f_{2}不相同
时域相关运算:R_{12}(\tau)=\int_{-\infty}^{+\infty}f_{1}(\tau)f_{2}(t-\tau)dt=f_{1}(t)*f_{2}(-\tau)\qquad时域的卷积=频域的乘法运算
若f_{1}(t)\leftrightarrow F_{1}(j\omega),f_{2}(t)\leftrightarrow F_{2}(j\omega)
则F[R_{12}(\tau)]\leftrightarrow F_{1}(j\omega)F_{2}^{}(j\omega),F[R_{21}(\tau)]\leftrightarrow F_{1}^{}(j\omega)F_{2}(j\omega)

所以R_{12}(\tau)\leftarrow F_{1}(j\omega)F_{2}^{*}(j\omega)
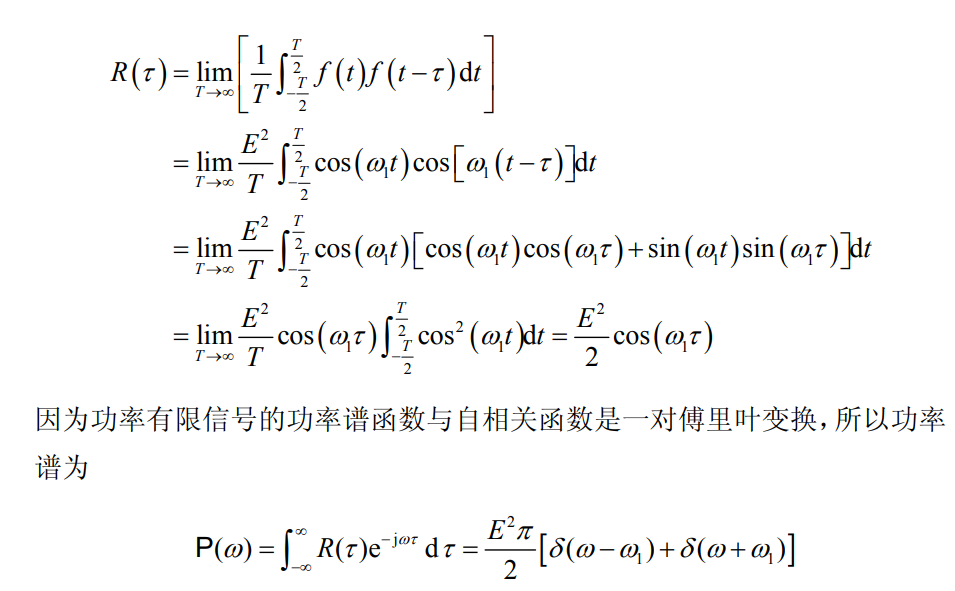
2.自相关函数\rightarrow f_{1}和f_{2}为相同的f
\Delta 在随机信号分析中很重要!





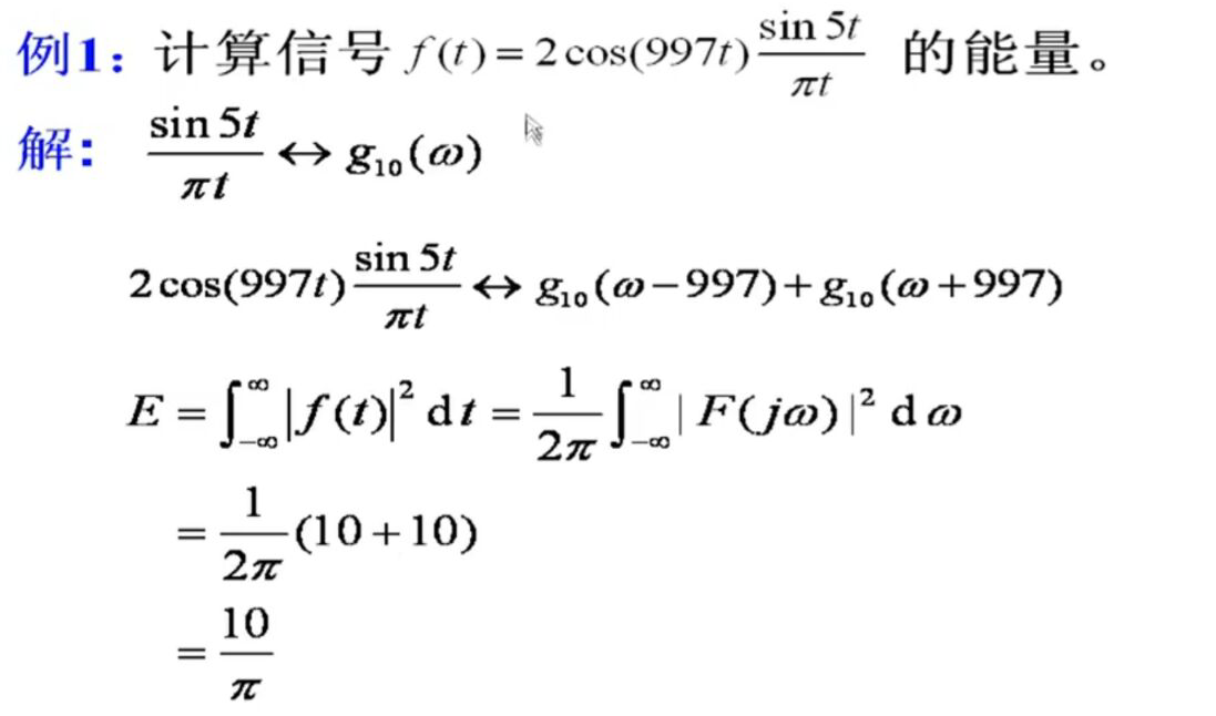
$$ 总结:\\ &E=\int^{+\infty}_{-\infty}|f(t)|^{2}dt = \int^{+\infty}_{-\infty}|F(j\omega)|^{2}d\omega\qquad时域不好求可以通过频域求能量\\ &R(\tau)\leftrightarrow|F(j\omega)|^{2}=E(\omega) $$
























结论:1.周期信号可以求出傅里叶变换,2.是\delta函数:冲激序列




结论:\delta序列出来的还是一个\delta序列

