
信号与系统是研究信号在系统中传输与处理的基本理论,广泛应用于通信、控制、信号处理等领域。本章将介绍信号与系统的基本概念、分类、运算及系统特性分析。
连续信号:在连续时间范围内有定义的信号,通常用 x (t) 表示。
离散信号:仅在离散时间点上有定义的信号,通常用 x [n] 表示。
import numpy as np
import matplotlib.pyplot as plt
# 设置中文字体
plt.rcParams["font.family"] = ["SimHei"]
plt.rcParams["axes.unicode_minus"] = False # 解决负号显示问题
# 1. 绘制连续时间正弦信号
t = np.linspace(0, 2*np.pi, 1000) # 连续时间点
x_continuous = np.sin(t) # 连续正弦信号
plt.figure(figsize=(10, 4))
plt.subplot(1, 2, 1)
plt.plot(t, x_continuous)
plt.title("连续时间正弦信号")
plt.xlabel("时间 t")
plt.ylabel("幅度")
plt.grid(True)
# 2. 绘制离散时间正弦序列
n = np.arange(0, 20) # 离散时间点
x_discrete = np.sin(0.2 * np.pi * n) # 离散正弦序列
plt.subplot(1, 2, 2)
# 使用关键字参数设置样式
plt.stem(n, x_discrete, markerfmt='ro', linefmt='r-', basefmt='r--')
plt.title("离散时间正弦序列")
plt.xlabel("时间 n")
plt.ylabel("幅度")
plt.grid(True)
plt.tight_layout()
plt.show()
图 1:连续信号与离散信号示例
周期信号:满足 x (t+T) = x (t) 或 x [n+N] = x [n] 的信号,T 和 N 为周期。
非周期信号:不满足周期性的信号。
import matplotlib.pyplot as plt
import numpy as np
plt.rcParams['font.sans-serif'] = ['SimHei']
plt.rcParams['axes.unicode_minus'] = False
# 周期信号与非周期信号示例
t = np.linspace(0, 4*np.pi, 1000)
x_periodic = np.sin(t) + 0.5*np.sin(2*t) # 周期信号(基波周期2π)
# 非周期信号:指数衰减信号
x_aperiodic = np.exp(-0.5*t) * np.sin(t)
plt.figure(figsize=(12, 5))
plt.subplot(1, 2, 1)
plt.plot(t, x_periodic)
plt.title("周期信号(正弦叠加)")
plt.xlabel("时间 t")
plt.ylabel("幅度")
plt.grid(True)
plt.subplot(1, 2, 2)
plt.plot(t, x_aperiodic)
plt.title("非周期信号(指数衰减正弦)")
plt.xlabel("时间 t")
plt.ylabel("幅度")
plt.grid(True)
plt.tight_layout()
plt.show()
图 2:周期信号与非周期信号示例
实信号:幅度为实数的信号,如 x (t) ∈ ℝ。
复信号:幅度为复数的信号,通常表示为 x (t) = a (t) + jb (t),其中 j 为虚数单位。
import matplotlib.pyplot as plt
import numpy as np
plt.rcParams['font.sans-serif'] = ['SimHei']
plt.rcParams['axes.unicode_minus'] = False
# 复信号示例:复指数信号
t = np.linspace(0, 2*np.pi, 1000)
# 复指数信号:e^(jωt) = cos(ωt) + j*sin(ωt)
omega = 1 # 角频率
x_complex = np.exp(1j * omega * t) # 复指数信号
# 提取实部和虚部
real_part = np.real(x_complex)
imag_part = np.imag(x_complex)
plt.figure(figsize=(10, 6))
plt.plot(t, real_part, 'b-', label='实部 cos(ωt)')
plt.plot(t, imag_part, 'r--', label='虚部 sin(ωt)')
plt.title("复指数信号 e^(jωt) 的实部与虚部")
plt.xlabel("时间 t")
plt.ylabel("幅度")
plt.legend()
plt.grid(True)
plt.tight_layout()
plt.show()
图 3:复指数信号的实部与虚部

import matplotlib.pyplot as plt
import numpy as np
plt.rcParams['font.sans-serif'] = ['SimHei']
plt.rcParams['axes.unicode_minus'] = False
# 能量信号与功率信号示例
t = np.linspace(-5, 5, 1000)
# 能量信号:矩形脉冲
x_energy = np.zeros_like(t)
x_energy[(t >= -1) & (t <= 1)] = 1 # 宽度为2的矩形脉冲
# 功率信号:正弦波(周期信号)
x_power = np.sin(2*np.pi*t)
plt.figure(figsize=(12, 5))
plt.subplot(1, 2, 1)
plt.plot(t, x_energy)
plt.title("能量信号(矩形脉冲)")
plt.xlabel("时间 t")
plt.ylabel("幅度")
plt.grid(True)
plt.subplot(1, 2, 2)
plt.plot(t, x_power)
plt.title("功率信号(正弦波)")
plt.xlabel("时间 t")
plt.ylabel("幅度")
plt.grid(True)
plt.tight_layout()
plt.show()
# 计算能量与功率(近似)
def calculate_energy(x, dt):
"""计算信号能量"""
return np.sum(np.abs(x)**2) * dt
def calculate_power(x, dt, T):
"""计算信号功率(在时间区间[-T,T]内的平均功率)"""
return calculate_energy(x, dt) / (2*T)
dt = t[1] - t[0]
T = 5 # 计算功率的时间区间
energy_rect = calculate_energy(x_energy, dt)
power_sin = calculate_power(x_power, dt, T)
print(f"矩形脉冲能量:{energy_rect:.4f}")
print(f"正弦波功率:{power_sin:.4f}")
图 4:能量信号与功率信号示例 代码输出:矩形脉冲能量约为 2.0,正弦波功率约为 0.5(理论值)
信号加法:(x1 + x2)(t) = x1 (t) + x2 (t)
信号乘法:(x1・x2)(t) = x1 (t)・x2 (t)
import matplotlib.pyplot as plt
import numpy as np
plt.rcParams['font.sans-serif'] = ['SimHei']
plt.rcParams['axes.unicode_minus'] = False
t = np.linspace(0, 2*np.pi, 1000)
x1 = np.sin(t)
x2 = np.sin(2*t)
# 信号加法
x_sum = x1 + x2
# 信号乘法
x_product = x1 * x2
plt.figure(figsize=(12, 6))
plt.subplot(2, 2, 1)
plt.plot(t, x1, 'b-', label='x1(t)=sin(t)')
plt.title("信号x1(t)")
plt.xlabel("时间 t")
plt.legend()
plt.grid(True)
plt.subplot(2, 2, 2)
plt.plot(t, x2, 'r-', label='x2(t)=sin(2t)')
plt.title("信号x2(t)")
plt.xlabel("时间 t")
plt.legend()
plt.grid(True)
plt.subplot(2, 2, 3)
plt.plot(t, x_sum, 'g-', label='x1+x2')
plt.title("信号加法")
plt.xlabel("时间 t")
plt.legend()
plt.grid(True)
plt.subplot(2, 2, 4)
plt.plot(t, x_product, 'm-', label='x1·x2')
plt.title("信号乘法")
plt.xlabel("时间 t")
plt.legend()
plt.grid(True)
plt.tight_layout()
plt.show()
图 5:信号的加法与乘法运算
反转:x (-t) 或 x [-n],信号沿时间轴翻转。
平移:x (t-t0) 或 x [n-n0],信号沿时间轴平移 t0 或 n0。
import matplotlib.pyplot as plt
import numpy as np
plt.rcParams['font.sans-serif'] = ['SimHei']
plt.rcParams['axes.unicode_minus'] = False
t = np.linspace(-5, 5, 1000)
# 原始信号:高斯函数
x = np.exp(-0.5 * (t/2)**2)
# 反转信号
x_reversed = x[::-1]
# 平移信号(t0=2)
x_shifted = np.roll(x, int(2 / (t[1]-t[0]))) # 平移2个单位
plt.figure(figsize=(12, 5))
plt.subplot(1, 3, 1)
plt.plot(t, x)
plt.title("原始信号")
plt.xlabel("时间 t")
plt.grid(True)
plt.subplot(1, 3, 2)
plt.plot(t, x_reversed)
plt.title("反转信号 x(-t)")
plt.xlabel("时间 t")
plt.grid(True)
plt.subplot(1, 3, 3)
plt.plot(t, x_shifted)
plt.title(f"平移信号 x(t-{2})")
plt.xlabel("时间 t")
plt.grid(True)
plt.tight_layout()
plt.show()
图 6:信号的反转与平移运算
尺度变换:x (at),a>1 时信号压缩,0<a<1 时信号扩展。
import matplotlib.pyplot as plt
import numpy as np
plt.rcParams['font.sans-serif'] = ['SimHei']
plt.rcParams['axes.unicode_minus'] = False
t = np.linspace(-5, 5, 1000)
x = np.exp(-0.5 * t**2) # 高斯函数
# 尺度变换:a=2(压缩)和 a=0.5(扩展)
x_compressed = x[::2] # 压缩,a=2
t_compressed = t[::2]
x_expanded = np.interp(np.linspace(-5, 5, 2000), t, x) # 扩展,a=0.5
t_expanded = np.linspace(-5, 5, 2000)
plt.figure(figsize=(12, 5))
plt.subplot(1, 3, 1)
plt.plot(t, x)
plt.title("原始信号 x(t)")
plt.xlabel("时间 t")
plt.grid(True)
plt.subplot(1, 3, 2)
plt.plot(t_compressed, x_compressed)
plt.title("压缩信号 x(2t)")
plt.xlabel("时间 t")
plt.grid(True)
plt.subplot(1, 3, 3)
plt.plot(t_expanded, x_expanded)
plt.title("扩展信号 x(0.5t)")
plt.xlabel("时间 t")
plt.grid(True)
plt.tight_layout()
plt.show()
图 7:信号的尺度变换运算

import matplotlib.pyplot as plt
import numpy as np
plt.rcParams['font.sans-serif'] = ['SimHei']
plt.rcParams['axes.unicode_minus'] = False
t = np.linspace(-5, 5, 1000)
dt = t[1] - t[0]
# 单位阶跃函数(使用numpy的heaviside函数)
u = np.heaviside(t, 0.5) # t=0时定义为0.5
# 单位冲激函数(近似为窄脉冲)
delta = np.zeros_like(t)
delta[np.abs(t) < 0.01] = 1/(0.02) # 宽度0.02,面积为1
plt.figure(figsize=(12, 5))
plt.subplot(1, 2, 1)
plt.plot(t, u)
plt.step(t, u, where='post', color='b', alpha=0.7)
plt.title("单位阶跃函数 u(t)")
plt.xlabel("时间 t")
plt.ylabel("幅度")
plt.grid(True)
plt.subplot(1, 2, 2)
plt.plot(t, delta)
plt.title("单位冲激函数 δ(t)(近似)")
plt.xlabel("时间 t")
plt.ylabel("幅度")
plt.grid(True)
plt.tight_layout()
plt.show()
图 8:单位阶跃函数与单位冲激函数



import matplotlib.pyplot as plt
import numpy as np
plt.rcParams['font.sans-serif'] = ['SimHei']
plt.rcParams['axes.unicode_minus'] = False
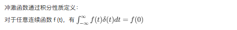
# 冲激函数筛选性质示例
t = np.linspace(-5, 5, 1000)
dt = t[1] - t[0]
# 任意连续函数 f(t) = t^2 * exp(-0.5t^2)
f = t**2 * np.exp(-0.5 * t**2)
# 冲激函数 δ(t-1)(近似)
delta = np.zeros_like(t)
delta[np.abs(t-1) < 0.01] = 1/(0.02) # 在t=1处的冲激
# 计算 f(t)δ(t-1) 的积分(筛选性质)
integral = np.sum(f * delta) * dt
理论值 = (1)**2 * np.exp(-0.5 * (1)** 2) # f(1)
plt.figure(figsize=(10, 6))
plt.plot(t, f, 'b-', label='f(t)')
plt.plot(t, delta*5, 'r-', label='δ(t-1)(缩放5倍显示)')
plt.plot(t, f*delta*5, 'g-', label='f(t)δ(t-1)(缩放5倍显示)')
plt.title(f"冲激函数筛选性质:∫f(t)δ(t-1)dt = {integral:.4f} ≈ f(1)={理论值:.4f}")
plt.xlabel("时间 t")
plt.ylabel("幅度")
plt.legend()
plt.grid(True)
plt.tight_layout()
plt.show()
图 9:冲激函数的筛选性质示例

系统框图由基本单元(加法器、乘法器、积分器 / 延迟器)组成。

图 10:RC 低通滤波器的框图表示
线性系统满足叠加性和齐次性:
import matplotlib.pyplot as plt
import numpy as np
plt.rcParams['font.sans-serif'] = ['SimHei']
plt.rcParams['axes.unicode_minus'] = False
# 线性系统验证示例:系统y(t) = 2x(t) + 1(非线性)与 y(t)=3x(t)(线性)
def system1(x):
"""非线性系统:y=2x+1"""
return 2*x + 1
def system2(x):
"""线性系统:y=3x"""
return 3*x
t = np.linspace(0, 5, 100)
x1 = np.sin(t)
x2 = np.cos(t)
# 验证叠加性
y1 = system1(x1)
y2 = system1(x2)
y_sum = system1(x1 + x2)
y1_plus_y2 = y1 + y2
# 验证齐次性
k = 2
y_scaled = system1(k*x1)
k_times_y1 = k*y1
plt.figure(figsize=(12, 8))
plt.subplot(2, 2, 1)
plt.plot(t, y_sum, 'r-', label='y(x1+x2)')
plt.plot(t, y1_plus_y2, 'b--', label='y(x1)+y(x2)')
plt.title("非线性系统叠加性验证")
plt.xlabel("时间 t")
plt.legend()
plt.grid(True)
plt.subplot(2, 2, 2)
plt.plot(t, y_scaled, 'r-', label='y(kx1)')
plt.plot(t, k_times_y1, 'b--', label='k*y(x1)')
plt.title(f"非线性系统齐次性验证 (k={k})")
plt.xlabel("时间 t")
plt.legend()
plt.grid(True)
# 线性系统验证
y1_l = system2(x1)
y2_l = system2(x2)
y_sum_l = system2(x1 + x2)
y1_plus_y2_l = y1_l + y2_l
y_scaled_l = system2(k*x1)
k_times_y1_l = k*y1_l
plt.subplot(2, 2, 3)
plt.plot(t, y_sum_l, 'r-', label='y(x1+x2)')
plt.plot(t, y1_plus_y2_l, 'b--', label='y(x1)+y(x2)')
plt.title("线性系统叠加性验证")
plt.xlabel("时间 t")
plt.legend()
plt.grid(True)
plt.subplot(2, 2, 4)
plt.plot(t, y_scaled_l, 'r-', label='y(kx1)')
plt.plot(t, k_times_y1_l, 'b--', label='k*y(x1)')
plt.title(f"线性系统齐次性验证 (k={k})")
plt.xlabel("时间 t")
plt.legend()
plt.grid(True)
plt.tight_layout()
plt.show()
# 输出验证结果
print("非线性系统叠加性误差:", np.mean(np.abs(y_sum - y1_plus_y2)))
print("非线性系统齐次性误差:", np.mean(np.abs(y_scaled - k_times_y1)))
print("线性系统叠加性误差:", np.mean(np.abs(y_sum_l - y1_plus_y2_l)))
print("线性系统齐次性误差:", np.mean(np.abs(y_scaled_l - k_times_y1_l)))图 11:线性系统与非线性系统的特性验证
时不变系统:输入延迟 t0,输出也延迟 t0,即 T (x (t-t0)) = y (t-t0)。
因果系统:输出仅取决于当前及过去的输入,与未来输入无关。
稳定系统:有界输入产生有界输出(BIBO 稳定)。
LTI 系统(线性时不变系统)是信号与系统分析的核心,主要分析方法:

图 12:LTI 系统分析方法思维导图
通过本章学习,我们掌握了信号与系统的基本概念、信号分类、运算方法,以及系统的描述和特性分析,这些内容是后续深入学习信号处理的重要基础。