哈喽大家好,我是野生的编程萌新,首先感谢大家的观看。数据结构的学习者大多有这样的想法:数据结构很重要,一定要学好,但数据结构比较抽象,有些算法理解起来很困难,学的很累。我想让大家知道的是:数据结构非常有趣,很多算法是智慧的结晶,我希望大家在学习数据结构的过程是一种愉悦的心情感受。因此我开创了《数据结构》专栏,在这里我将把数据结构内容以有趣易懂的方式展现给大家。
之前我们一直谈的都是一对一的线性结构,可现实中,还是有很多一对多的情况需要处理,所以我们需要研究这种一对多的数据结构—“树”,考虑它的各种特性,来解决我们在编程中遇到的相关问题。树是一种非线性的数据结构,它是由n(n>=0)个节点组成的一个具有层次关系的集合,把它叫做树是因为它看起来像是一棵倒挂的树,也就是说它根是向上的,叶子是向下的。如下图:

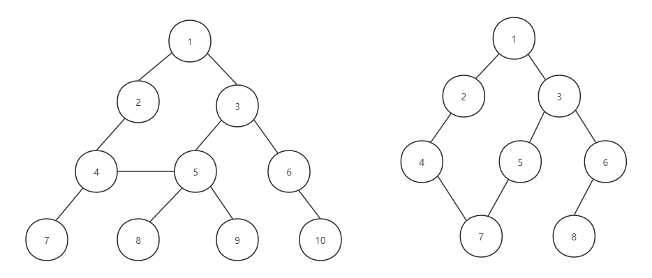
n=0时被称为空树,在任意一棵非空树中:1.有且仅有一个特定的根节点 2.当n>1时,其余节点可以分为m个互不相交的有限集,其中每一个集合本身又都是一个树,被称为子树。如下图:

上面就是两个子树的简单例子,4、5组成的树是以2为根节点的子树,6、7组成的树是以3为结点的子树,对于树的定义还需要强调两点:

我们一会就用下面这张图来展开介绍树的相关概念。

说到存储结构,我们就会想到之前提到的顺序存储结构和链式存储结构,之前我们都是一对一的结构,现在变成树这样一对多的结构该怎么办呢?在这里我们要充分利用顺序存储和链式存储的特点,来实现对树的存储结构的表示。我们这里要介绍三种不同的表示方法:双亲表示法、孩子表示法、孩子兄弟表示法。
我们有的人可能因为种种原因没有孩子,但无论谁都不可能是从石头缝里蹦出来的。树这种结构也不例外,除了根节点之外,其余每个节点,不一定有子节点,但一定有且仅有一个双亲结点。我们假设以一组连续的空间存储树的节点,同时每个节点中,还要设置一个指针指向双亲结点的位置。也就是说,每个节点除了要知道自己是谁之外,还要知道双亲在哪里,它的结构如下:

其中,data是数据域,存放节点的数据信息,parent是指针域,存储该节点对应的双亲在数组中的下标 。以下是双亲表示法的节点结构的定义代码:
#define MAX_TREE_SIZE 100
typedef int TNDataType //树结点的数据类型,暂定为整型
typedef struct TreeNode
{
TNDataType data;
int parent;
}TNode;
typedef struct Tree
{
TNode nodes[MAX_TREE_SIZE]; //节点数组
int r,n; //根节点的位置和节点数
}Tree;有了上面的结构定义我们就可以来实现双亲表示法了。由于根节点是没有双亲的,所以我们约定根节点的位置域为-1,这就意味着,我们所有的节点都存在它的双亲的位置。下面图中的树结构可以用双亲表示法来表示:

因为按照数组那种连续存储结构画出来的话,图片横向太长不方便看,所以这里我用一个表格来表示方便观看,又简单明了:
下标 | data | parent |
|---|---|---|
0 | A | -1 |
1 | B | 0 |
2 | C | 0 |
3 | D | 0 |
4 | E | 1 |
5 | F | 2 |
6 | G | 2 |
7 | H | 3 |
8 | I | 5 |
9 | J | 5 |
10 | K | 5 |
这样的存储结构,我们可以根据节点的parent指针很容易的找到它的双亲结点,所用的时间复杂度为O(1),直到parent为-1时,表示找到了树结点的根。可如果我们要知道节点的孩子是什么的话,需要遍历整个数组才行,那我们能否改进一下呢?why not?我们增加一个指针域存放第一个孩子(一般取最左边的子节点)在数组中的下标,这样就很容易得到节点的孩子,如果没有子节点的话,我们就把这个指针域设为-1。如下表表示:
下标 | data | parent | firstchild |
|---|---|---|---|
0 | A | -1 | 1 |
1 | B | 0 | 4 |
2 | C | 0 | 5 |
3 | D | 0 | 7 |
4 | E | 1 | -1 |
5 | F | 2 | 8 |
6 | G | 2 | -1 |
7 | H | 3 | -1 |
8 | I | 5 | -1 |
9 | J | 5 | -1 |
10 | K | 5 | -1 |
这样对于有0或1个子节点的的双亲结点来说,这样的结构是为了解决要找子节点的问题,甚至是有多个子节点也能解决,知道了第一个子节点是谁,剩下的子节点也就一目了然了。就像上面表格中A的第一个子节点下标是1,即B节点的位置,而B第一个子节点的下标为4,所以在[1,4)区间中的所有整数在数组中所对应的下标元素就是A的子节点。
这时候又有一个新问题了,我们很关注兄节点之间的关系,双亲表示法无法体验出这种关系,那我们该怎么办呢?这时候我们只需要在双亲表示法的基础上增加一个指针用来指向子结点中最右侧的节点,即右兄弟节点,也就是说每一个节点如果它存在右兄弟,就存放右兄弟的下标,如果右兄弟不在就存放-1,如下表表示:
下标 | data | parent | rightbrother |
|---|---|---|---|
0 | A | -1 | -1 |
1 | B | 0 | 2 |
2 | C | 0 | 3 |
3 | D | 0 | -1 |
4 | E | 1 | -1 |
5 | F | 2 | 6 |
6 | G | 2 | -1 |
7 | H | 3 | -1 |
8 | I | 5 | 9 |
9 | J | 5 | 10 |
10 | K | 5 | -1 |
存储结构的设计是一个非常灵活的过程,一个存储结构设计的是否合理,取决于基于该存储结构的运算是否合适、是否方便,时间复杂度好不好等。不是越多越好,有需要时再设计相应的结构,复杂的结构意味着更多的时间和空间的开销,简单的设计对应着快速的查找与删除,我们要根据实际情况进行取舍。
我们换一种思路:由于树中每个节点可能有多个子树,可以考虑使用多重链表,即每个节点有多个指针域,其中每个指针域指向一棵子树的根节点,我们把这种方法叫做多重链表表示法。不过树的每个节点度都是不一样的,所以可以设计两种解决方案。
一种方案就是指针域的个数等于树的度,前面我们提到了,树的度是各个节点度的最大值。其结构如下表示:

其中,data就是数据域,child1~childn是指针域,用来指向该节点的孩子节点。在双亲表示法我们提到的那个树用这种方法实现如下图:

这种方法对于树中各个节点的度相差很大,显然是浪费空间的,因为有很多节点,它的指针域是空的。如果树的各个节点的度相差很小的话,那就意味着开辟的空间被充分利用了,这是存储结构的缺点反而成了优点。既然很多指针域为空,为什么不按需求分配空间呢?于是我们有了第二种方案。
第二种方案每个结点的指针域等于该节点的度,我们专门取一个位置来存储节点指针域的个数,其结构如下:

其中,data为数据域,degree为节点的度,也就是存储该节点的子节点的个数,child1~childn为指针域,指向该节点的各个子结点。这种方法实现如下图:

这种方法克服了浪费空间的缺点,对空间的利用率很高了,但是由于各个节点的链表是不相同的结构,加上要维护节点的度的数值,在运算上就会带来时间上的损耗,能否有更好的方法,既可以减少空指针的浪费又能使结点的结构相同。仔细观察,我们为了要遍历整棵树,把每个节点放在一个顺序存储结构的数组中是合理的,但每个结点的孩子有多少是不确定的,所以我们在对每个结点的孩子建立一个单链表体现他们的关系。
这就是我们要讲的孩子表示法。具体办法是:把每个节点的子节点排列起来,以单链表作为存储结构,则n个节点有n个子链表,如果是叶子节点则此单链表为空,然后n个头指针又组成一个线性表,采用顺序存储结构,存放在一个一维数组中。如下图:

为此我们设计两个节点结构,一个是子链表的子节点,如下表表示:

其中,child是数据域,用于存储某个节点在表头数组中的下标;next是指针域,用来存储指向某节点的下一个子节点的指针。另一个是表头数组的表头结点,如下表表示:

其中,data是数据域,存储某节点的数据信息;firstchild是头指针域,存放该节点的子链表的头指针。以下是我们的孩子表示法的结构定义代码:
#define MAX_TREE_SIZE 100
typedef int TNDatatype
typedef struct ChildNode
{
int child;
struct ChildNode* next;
}CNode;
typedef struct TreeNode
{
TNDataType data;
CNode* firstchild;
}TNode;
typedef struct Tree
{
TNode nodes[MAX_TREE_SIZE];
int r,n;
}Tree;这样的结构对于我们要查找某个节点的某个孩子,或者某个节点的兄弟,只需要查找这个节点的子链表即可。对于遍历整棵树也是非常方便的,对头结点的数组循环即可。
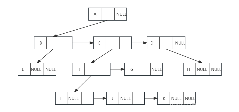
刚才我们分别从双亲的角度和孩子的角度研究树的存储结构,如果我们从树节点的兄弟角度考虑会如何呢?当然对于树这样的层级结构来说,之研究节点的兄弟是不行的,我们观察后发现:任何一颗树,他的结点的的第一个孩子如果i存在就是唯一的,同理它的右兄弟如果存在也是唯一的。因此,我们设置两个指针,分别指向该节点的第一个孩子和它的右兄弟。这个方法我们成为左孩子右兄弟表示法。这个表示法在我们学习二叉树时常用到,是一个非常重要的知识点。节点结构如下:

其中,data是数据域,firstchild为指针域,存放该节点的第子节点的存储地址,rightbrother也是指针域,存储该节点的右兄弟节点的存储地址,结构定义代码如下:
typedef struct TreeNode
{
TNDataType data;
struct TreeNode* firstchild;
struct TreeNode* rightbrother;
}TNode;对于上面的树来说,这种实现方法示意图如下:

这种表示法,给查找某个节点的某个孩子带来了方便,只需要通过firstchild找到此节点的第一个孩子,然后再通过第一个子节点的rightbrother找到他的兄弟,按照这样一直下去,直到找到具体的孩子。其实这个表示法的最大好处就是把他从一棵复杂的树变成了一棵二叉树。在下一篇再详细介绍二叉树。