从今天开始,我们就要进入数据结构中最难的部分,之前我们的线性表一类的都属于线性结构,而二叉树属于树型结构(各位可以想象一下树的样子),二叉树,希望我能写的足够清楚,也请各位大佬指正。接触二叉树后,大家一定会对递归有一个更加“清晰”的认识!!! 下图就是我们学习的大体流程,加油吧。。。

树是一种非线性的数据结构,它是由n(n>=0)个有限结点组成一个具有层次关系的集合。把它叫做树是因为它看 起来像一棵倒挂的树,也就是说它是根朝上,而叶朝下的

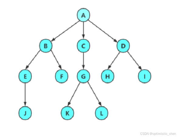
注意:树形结构中,子树之间不能有交集,否则就不是树形结构

特点:


必要概念 结点的度:一个结点含有子树的个数称为该结点的度; 如上图:A的度为6 树的度:一棵树中,所有结点度的最大值称为树的度; 如上图:树的度为6 叶子结点或终端结点:度为0的结点称为叶结点; 如上图:B、C、H、I…等节点为叶结点 双亲结点或父结点:若一个结点含有子结点,则这个结点称为其子结点的父结点; 如上图:A是B的父结点 孩子结点或子结点:一个结点含有的子树的根结点称为该结点的子结点; 如上图:B是A的孩子结点 根结点:一棵树中,没有双亲结点的结点;如上图:A 结点的层次:从根开始定义起,根为第1层,根的子结点为第2层,以此类推 树的高度或深度:树中结点的最大层次; 如上图:树的高度为4
非必要概念 非终端结点或分支结点:度不为0的结点; 如上图:D、E、F、G…等节点为分支结点 兄弟结点:具有相同父结点的结点互称为兄弟结点; 如上图:B、C是兄弟结点 堂兄弟结点: 双亲在同一层的结点互为堂兄弟;如上图:H、I互为兄弟结点 结点的祖先: 从根到该结点所经分支上的所有结点;如上图:A是所有结点的祖先 子孙: 以某结点为根的子树中任一结点都称为该结点的子孙。如上图:所有结点都是A的子孙 森林:由m(m>=0)棵互不相交的树组成的集合称为森林
实际中树有很多种表示方式,如:双亲表示法, 孩子表示法、孩子双亲表示法、孩子兄弟表示法等等。其中最常用的说孩子兄弟表示法。
class Node {
int value; // 树中存储的数据
Node firstChild; // 第一个孩子引用
Node nextBrother; // 下一个兄弟引用
}一棵二叉树是结点的一个有限集合
注意:
对于任意的二叉树都是由以下几种情况 复合而成的

一棵二叉树,如果每层的结点数都达到最大值,则这棵二叉树就是满二叉树。也就是说,如果一棵二叉树的层数为K,且结点总数是 2的k次方-1

完全二叉树是效率很高的数据结构,完全二叉树是由满二叉树而引出来的。对于深度为K的,有n个结点的二叉树,当且仅当其每一个结点都与深度为K的满二叉树中编号从0至n-1的结点一一对应时称之为完全二叉树。 要注意的是满二叉树是一种特殊的完全二叉树。

若规定根结点的层数为1,则一棵非空二叉树的第i层上最多有 (i>0)个结点
若规定只有根结点的二叉树的深度为1,则深度为K的二叉树的最大结点数是 2的k次方-1 (k>=0)

对任何一棵二叉树, 如果其叶结点个数为 n0, 度为2的非叶结点个数为 n2,则有n0=n2+1

具有n个结点的完全二叉树的深度k为log2(n+1) 向上取整

对于具有n个结点的完全二叉树,如果按照从上至下从左至右的顺序对所有节点从0开始编号,则对于序号为i的结点有: · 若i>0,双亲序号:(i-1)/2。如果i=0,i为根结点编号,无双亲结点
举例: i=5 i>0 双亲结点为(5-1)/ 2 = 2
· 若2i+1<n,左孩子序号:2i+1,否则无左孩子
i=1 , 2 * 1+1 < 9左孩子结点为2 * 1+1=3
· 若2i+2<n,右孩子序号:2i+2,否则无右孩子
i=1 , 2 * 1+2 < 9 右孩子结点为 2 * 1+2 = 4
先说链式存储,二叉树的链式存储是通过一个一个的节点引用起来的
//孩子表示法
class Node{
int val;//数据
Node left;//左孩子的引用,代表以左孩子为根的左子树
Node right;//右孩子的引用,代表以右孩子为根的右子树
}遍历(Traversal)是指沿着某条搜索路线,依次对树中每个结点均做一次且仅做一次访问。
一般情况下,我们通常根据遍历根节点的先后次序有以下遍历方式:

前序遍历(先序遍历)——访问根结点—>根的左子树—>根的右子树。
void preOrder(TreeNode root){
if(root==null)
return;
System.out.print(root.val+" ");;
preOrder(root.left);
preOrder(root.right);
}
中序遍历——根的左子树—>根节点—>根的右子树
void inOrder(TreeNode root){
if(root==null)
return;
inOrder(root.left);
System.out.print(root.val+" ");
inOrder(root.right);
}后序遍历——根的左子树—>根的右子树—>根节点
void postOrder(TreeNode root){
if(root==null)
return;
postOrder(root.left);
postOrder(root.right);
System.out.print(root.val+" ");
}
注意:每一种操作都需要我们投入时间与精力去理解,最高效的方法就是调试、画图
二叉树的结点个数
//枚举算法
public static int nodeSize=0;
public int size(TreeNode root){
if(root==null) return 0;
nodeSize++;
size(root.left);
size(root.right);
return nodeSize;
}
//子问题算法(递归)
public int size1(TreeNode root){
if(root==null) return 0;
return size1(root.right)+size1(root.left)+1;
}获取叶子结点个数
//枚举算法
public static int leafSize=0;
public void getLeafNodeCount(TreeNode root){
if(root==null) return;
if(root.left==null&&root.right==null){
leafSize++;
}
getLeafNodeCount1(root.left);
getLeafNodeCount1(root.right);
}
//递归算法
public int getLeafNodeCount1(TreeNode root){
if(root==null)return 0;
if(root.left==null&&root.right==null){
return 1;
}
return getLeafNodeCount1(root.left)+getLeafNodeCount1(root.right);
}第K层有多少个结点
public int getKLeveNodeCount(TreeNode root,int k){
if(root==null)
return 0;
if(k==1)
return 1;
return getKLeveNodeCount(root.left,k-1)+getKLeveNodeCount(root.right,k-1);
}获取树的高度
public int getHeight(TreeNode root){
//左树高度 和 右树高度最大值 +1
if(root==null)return 0;
int leftHeight=getHeight(root.left);
int rightHeight=getHeight(root.right);
return Math.max(leftHeight,rightHeight)+1;
}查找值为val的
ublic TreeNode findVal(TreeNode root,char val){
if(root==null)return null;
if(root.val==val){
return root;
}
TreeNode leftT=findVal(root.left,val);
if(leftT!=null){
return leftT;
}
TreeNode rightT=findVal(root.right,val);
if(rightT!=null){
return rightT;
}
return null;
}