
相关教程:
给定一个已排序的单链表的头节点 head,要求去除链表中所有重复的元素,重复元素一个不留,并返回新的头节点。
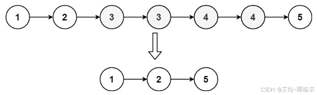
图一:

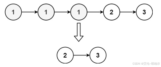
图二:

输入输出示例:
示例 1:
输入:head = [1,2,3,3,4,4,5]
输出:[1,2,5]
示例 2:
输入:head = [1,1,1,2,3]
输出:[2,3]由于链表已排序,重复元素必然相邻。 我们可以使用一个预先指针 prev 指向 potentially 要保留的节点的前一个节点,curr 指针遍历链表。
如果 curr 与 curr.next 值相同,则移动 curr 直到找到最后一个重复元素,然后将 prev.next 指向 curr.next (即跳过所有重复元素)。 否则,移动 prev 和 curr。
使用哑节点可以简化边界条件的处理。
public class RemoveDuplicatesFromSortedListII {
// 定义链表节点
static class ListNode {
int val;
ListNode next;
ListNode(int val) {
this.val = val;
}
}
public static ListNode deleteDuplicates(ListNode head) {
// 创建哑节点
ListNode dummy = new ListNode(-1);
dummy.next = head;
// 初始化 prev 和 curr 指针
ListNode prev = dummy;
ListNode curr = head;
while (curr != null) {
// 判断是否有重复元素
while (curr.next != null && curr.val == curr.next.val) {
curr = curr.next; // 移动 curr 到最后一个重复元素
}
if (prev.next == curr) { // 没有重复元素
prev = curr; // 移动 prev
} else { // 有重复元素
prev.next = curr.next; // 跳过所有重复元素
}
curr = curr.next; // 移动 curr 到下一个 potentially 要保留的节点
}
return dummy.next; // 返回新的头节点
}
// 测试代码
public static void main(String[] args) {
// 示例 1
ListNode head1 = buildLinkedList(new int[]{1, 2, 3, 3, 4, 4, 5});
ListNode result1 = deleteDuplicates(head1);
printLinkedList(result1); // 输出:1 2 5
// 示例 2
ListNode head2 = buildLinkedList(new int[]{1, 1, 1, 2, 3});
ListNode result2 = deleteDuplicates(head2);
printLinkedList(result2); // 输出:2 3
// 示例 3:空链表
ListNode head3 = buildLinkedList(new int[]{});
ListNode result3 = deleteDuplicates(head3);
printLinkedList(result3); // 输出:
// 示例 4:单节点链表
ListNode head4 = buildLinkedList(new int[]{1});
ListNode result4 = deleteDuplicates(head4);
printLinkedList(result4); // 输出: 1
}
// 辅助函数:构建链表
private static ListNode buildLinkedList(int[] values) {
ListNode dummy = new ListNode(-1);
ListNode curr = dummy;
for (int val : values) {
curr.next = new ListNode(val);
curr = curr.next;
}
return dummy.next;
}
// 打印链表
private static void printLinkedList(ListNode head) {
ListNode curr = head;
while (curr != null) {
System.out.print(curr.val + " ");
curr = curr.next;
}
System.out.println();
}
}思路分析:
递归函数负责返回:从当前节点(我)开始,完成去重的链表
//伪代码分析
deleteDuplicates(ListNode p = 1) {
// 找下个不重复的
deleteDuplicates(ListNode p = 1) {
deleteDuplicates(ListNode p = 1) {
deleteDuplicates(ListNode p = 2) {
2.next=deleteDuplicates(ListNode p = 3) {
// 只剩一个节点,返回
return 3
}
return 2
}
}
}
}代码实现:
public ListNode deleteDuplicates(ListNode p) {
if (p == null || p.next == null) {
return p;
}
if (p.val == p.next.val) {
ListNode x = p.next.next;
while (x != null && x.val == p.val) {
x = x.next;
}
return deleteDuplicates(x);
} else {
p.next = deleteDuplicates(p.next);
return p;
}
}思路分析:
p1 是待删除的上一个节点,每次循环对比 p2、p3 的值
s为哨兵节点
-------------------------step1----------------------------
p1 p2 p3
| | |
s, 1, 1, 1, 2, 3, null
-------------------------step2----------------------------
p1 p2 p3
| | |
s, 1, 1, 1, 2, 3, null
-------------------------step3----------------------------
p1 p2 p3
| | |
s, 1, 1, 1, 2, 3, null
-------------------------step4----------------------------
p1 p3
| |
s, 2, 3, null
-------------------------step5----------------------------
p1 p2 p3
| | |
s, 2, 3, null
-------------------------step6----------------------------
p1 p2 p3
| | |
s, 2, 3, null代码实现:
public ListNode deleteDuplicates(ListNode head) {
if (head == null || head.next == null) {
return head;
}
ListNode s = new ListNode(-1, head);
ListNode p1 = s;
ListNode p2;
ListNode p3;
while ((p2 = p1.next) != null && (p3 = p2.next) != null) {
if (p2.val == p3.val) {
while ((p3 = p3.next) != null
&& p3.val == p2.val) {
}
p1.next = p3;
} else {
p1 = p1.next;
}
}
return s.next;
}本文详细讲解了如何去除有序单链表中的所有重复元素(重复元素不保留),并提供了 Java 代码实现和详细的解释。希望本文能帮助各位看官更好地理解和掌握这个算法。下期见,谢谢~