
文章开始之前,推荐一下别人写的佳作,大家感兴趣的也可以去读一下。
推荐文章:SpringbBoot如何实现Tomcat集群的会话管理-腾讯云开发者社区-腾讯云
这篇文章介绍了在使用 Tomcat 集群时,由于每个 Tomcat 实例的 Session 存储是独立的,导致无法实现 Session 的共享,这可能影响到用户跨节点的访问。为了实现跨 Tomcat 实例共享 Session,可以使用 Spring Session 配合 Redis 进行集中式会话管理。整体内容全面,步骤清晰,非常适合读者学习和参考。
摘要
结构化学习是一类能够处理复杂输出空间问题的机器学习方法,被广泛应用于自然语言处理、图像分析等领域。本文将从三个经典模型——结构化感知器、隐马尔可夫模型 (HMM) 和条件随机场 (CRF) 入手,详细解析其理论基础、算法实现及应用案例,并对比它们的适用场景和性能表现。通过深入的剖析与代码示例,帮助读者理解结构化学习在解决序列标注和结构预测问题中的核心价值。
一、结构化感知器
1.1 什么是结构化感知器?
结构化感知器是一种用于预测复杂结构输出(如序列、树或图)的扩展感知器模型,最初由 Collins 提出。它是标准感知器的推广,能够直接优化全局目标函数,而不是局部解。
主要特点:
能处理结构化数据的标注问题,如 POS(词性标注)和 NER(命名实体识别)。
基于“预测-更新”的迭代优化策略,简单高效。
1.2 算法推导
给定训练数据集 (x(i),y(i)),其中 x(i)是输入,y(i)是其对应的全局结构化输出。
损失函数
模型学习目标是找到权重向量 w,使得 〈w,ϕ(x,y)〉的值最大,其中 ϕ(x,y)表示特征向量。
核心思想是通过寻找损失最大的错误输出 y′:

若 y′≠y(i),更新权重:

结构化感知器常用于序列标注任务。以下是 Python 示例代码:
class StructuredPerceptron:
def __init__(self, feature_extractor, labels):
self.feature_extractor = feature_extractor
self.labels = labels
self.weights = {}
def predict(self, x):
scores = {label: sum(self.weights.get(feat, 0) for feat in self.feature_extractor(x, label)) for label in self.labels}
return max(scores, key=scores.get)
def train(self, training_data, epochs=10):
for _ in range(epochs):
for x, y_true in training_data:
y_pred = self.predict(x)
if y_true != y_pred:
for feat in self.feature_extractor(x, y_true):
self.weights[feat] = self.weights.get(feat, 0) + 1
for feat in self.feature_extractor(x, y_pred):
self.weights[feat] = self.weights.get(feat, 0) - 1二、隐马尔可夫模型 (HMM)
2.1 隐马尔可夫模型简介
隐马尔可夫模型是一种生成式概率模型,用于建模具有隐状态的时间序列问题。HMM 通过定义状态转移概率和观测概率来建模序列数据。
2.2 模型定义
HMM 包括以下参数:
状态集合:S={s1,s2,…,sN}。
观测集合:O={o1,o2,…,oM}。
初始状态分布:πi=P(s1=si)。
状态转移概率:aij=P(st=sj∣st−1=si)。
观测概率分布:bi(o)=P(ot=o∣st=si)。
任务目标
HMM 的主要任务包括:
评估问题:计算观测序列的概率 P(O∣λ)。
解码问题:找到最可能的状态序列。
学习问题:估计模型参数。
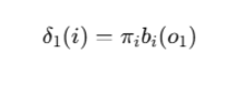
2.3 维特比算法
解码问题通常使用动态规划算法——维特比算法解决,具体步骤包括:
初始化:

递推:

回溯得到最优路径。
2.4 应用案例
HMM 在语音识别、词性标注等任务中表现出色。
三、条件随机场 (CRF)
3.1 CRF 简介
CRF 是一种判别式模型,克服了 HMM 的独立假设局限,直接建模条件概率 P(Y∣X),能够灵活地引入特征。
3.2 CRF 的核心思想
CRF 基于图模型,定义为:

其中:
最大化对数似然:

使用梯度下降或 L-BFGS 方法优化。
解码任务通常使用维特比算法扩展形式。
CRF 在序列标注任务(如命名实体识别、语义标注)中广泛应用。以下是使用 sklearn-crfsuite 的 Python 示例:
from sklearn_crfsuite import CRF
crf = CRF(
algorithm='lbfgs',
c1=0.1, c2=0.1,
max_iterations=100,
all_possible_transitions=True
)
crf.fit(X_train, y_train)
y_pred = crf.predict(X_test)模型 | 方法类型 | 优势 | 劣势 | 应用场景 |
|---|---|---|---|---|
结构化感知器 | 判别式 | 简单高效,不依赖概率假设 | 性能依赖特征设计 | 词性标注、实体识别 |
HMM | 生成式 | 理论成熟,易于实现 | 假设强独立性,灵活性有限 | 序列预测、语音识别 |
CRF | 判别式 | 无独立性假设,特征灵活强大 | 训练复杂,计算量较大 | 命名实体识别、语义标注 |
这三种模型分别代表了生成式和判别式方法的经典实践,在结构化学习任务中各有千秋。通过深入理解它们的理论和实现,你将能够根据任务需求选择合适的工具,解决复杂的结构化问题。
原创声明:本文系作者授权腾讯云开发者社区发表,未经许可,不得转载。
如有侵权,请联系 cloudcommunity@tencent.com 删除。
原创声明:本文系作者授权腾讯云开发者社区发表,未经许可,不得转载。
如有侵权,请联系 cloudcommunity@tencent.com 删除。