
前面几期我们对链表都进行了很详细的讲解,这期我们来给链表最后上点强度,打造出链表的ProMax版:带头双向循环链表
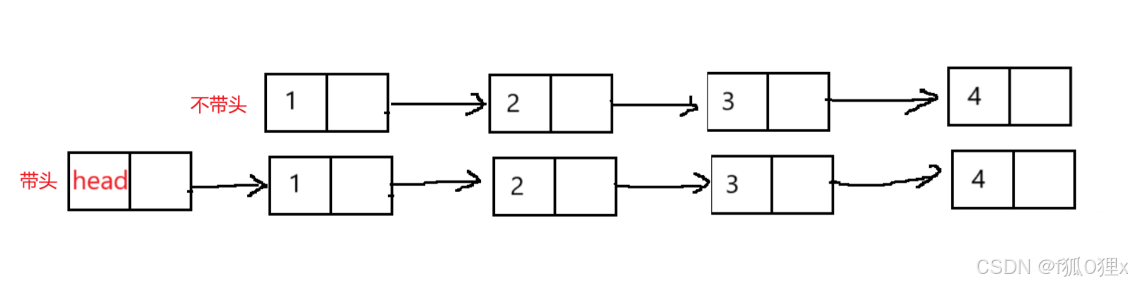
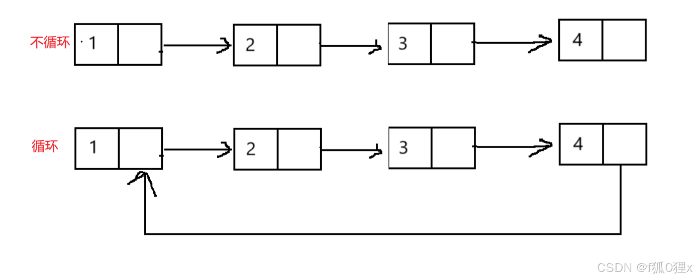
前面几期中介绍过,链表的种类一共有三种,单向和双向的,带头和不带头的,循环和不循环的,这三种组合起来一共就有2 * 2 * 2 = 8种链表



这里我们实现最难的也是最常用的链表:带头双向循环链表

其实他只是看着结构复杂,用起来很方便的,和纸老虎一样
于单链表不同,带头双向循环链需要先初始化一下
typedef int ListDataAType;
typedef struct ListNode
{
ListDataAType Data;
struct ListNode* next;
struct ListNode* prev;
}ListNode;
ListNode* InitList()
{
ListNode* head = (ListNode*)malloc(sizeof(ListNode));
if (head == NULL)
{
perror("InitList::malloc");
return NULL;
}
head->next = head;
head->prev = head;
return head;
}有了这个结构以后,哨兵为的前一个就是尾节点,因此找尾很方便,操作也很简单
//尾插
void PushBack(ListNode* phead, int x)
{
assert(phead);
//找尾
ListNode* tail = phead->prev;
//尾插
ListNode* NewNode = BuyListNode(x);
tail->next = NewNode;
NewNode->prev = tail;
NewNode->next = phead;
phead->prev = NewNode;
}
//尾删
void PopBack(ListNode* phead)
{
assert(phead);
assert(phead->next != phead);
//找尾
ListNode* tail = phead->prev;
//尾删
ListNode* prev = tail->prev;
prev->next = phead;
phead->prev = prev;
free(tail);
tail = NULL;
}//头插
void PushFront(ListNode* phead, int x)
{
assert(phead);
ListNode* NewNode = BuyListNode(x);
NewNode->next = phead->next;
phead->next->prev = NewNode;
NewNode->prev = phead;
phead->next = NewNode;
}
//头删
void PopFront(ListNode* phead)
{
assert(phead);
assert(phead->next != phead);
ListNode* del = phead->next;
phead->next = del->next;
del->next->prev = phead;
free(del);
del = NULL;
}//任意位置插入
void ListInsert(ListNode* pos, int x)
{
assert(pos);
ListNode* prev = pos->prev;
ListNode* NewNode = BuyListNode(x);
NewNode->next = pos;
pos->prev = NewNode;
NewNode->prev = prev;
prev->next = NewNode;
}
//任意位置删除
void ListEarse(ListNode* pos)
{
assert(pos);
assert(pos->next != pos);
ListNode* prev = pos->prev;
prev->next = pos->next;
pos->next->prev = prev;
}这样我们就可以把前面的头插、头删、尾插、尾删改为:
//尾插
void PushBack(ListNode* phead, int x)
{
assert(phead);
ListInsert(phead, x);
}
//尾删
void PopBack(ListNode* phead)
{
assert(phead);
assert(phead->next != phead);
ListEarse(phead->prev);
}
//头插
void PushFront(ListNode* phead, int x)
{
assert(phead);
ListInsert(phead->next, x);
}
//头删
void PopFront(ListNode* phead)
{
assert(phead);
assert(phead->next != phead);
ListEarse(phead->next);
}养成好习惯,有借有还,再借不难
//销毁链表
ListNode* DestoryList(ListNode* phead)
{
ListNode* cur = phead->next;
while (cur != phead)
{
ListNode* next = cur->next;
free(cur);
cur = next;
}
free(phead);
}以上就是带头双向循环链表的全部实现,接下来我们再来几个和链表有关的题来练习一下
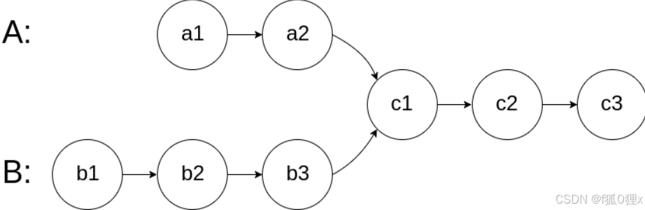
力扣链接:相交链表
给你两个单链表的头节点 headA 和 headB ,请你找出并返回两个单链表相交的起始节点。如果两个链表不存在相交节点,返回 null 。

这个题可以先让A链表和B链表全部走完一遍,分别记录他们的长度len1和len2,再让长的链表的头结点先走| len1 - len2 |步,在和len1 一起走,这样当他俩相等的时候,就是第一个交点

struct ListNode *getIntersectionNode(struct ListNode *headA, struct ListNode *headB) {
int len1 = 0;
int len2 = 0;
struct ListNode * cur1 = headA;
struct ListNode * cur2 = headB;
while(cur1)
{
cur1 = cur1->next;
len1++;
}
while(cur2)
{
cur2 = cur2->next;
len2++;
}
cur1 = headA;
cur2 = headB;
int k = len1 - len2;
while(k)
{
if(k > 0)
{
cur1 = cur1->next;
k--;
}
else
{
cur2 = cur2->next;
k++;
}
}
while(cur1 && cur2)
{
if(cur1 == cur2)
{
return cur1;
}
else
{
cur1 = cur1->next;
cur2 = cur2->next;
}
}
return NULL;
}力扣链接:环形链表
给你一个链表的头节点 head ,判断链表中是否有环。如果链表中存在环 ,则返回 true 。 否则,返回 false 。
用快慢指针,快指针一次走两步,慢指针一次走一步,这样如果链表有环的话,快指针一定可以遇到慢指针,如果没有环,那么快指针一定会变成空(走到链表尾部了)

bool hasCycle(struct ListNode *head) {
struct ListNode* slow = head;
struct ListNode* fast = head;
while(fast && fast->next)
{
slow = slow->next;
fast = fast->next->next;
if(slow == fast)
{
return true;
}
}
return false;
}这题难的是如何证明快指针一定能遇到慢指针,如下图,假设慢指针到节点的时候,快指针距离慢指针还有x步

快指针一次走两步,慢指针一次走一步,因此他两每走一次,他们的距离都回缩小x,这样当他面走了x次以后,他们的距离将会变为0,也就是快指针遇到了慢指针

跟紧步伐,我们再来一个更难的题
力扣链接:环形链表||
给定一个链表的头节点 head ,返回链表开始入环的第一个节点。 如果链表无环,则返回 null
假设慢指针走了 l + x步到后快指针遇到慢指针,环有c个节点,快指针就走了 l + n * c + c - x(因为不知道慢指针进来前,快指针已经转了多少圈,所以用n来表示)

于是就有了这样的表达式:

通过上图分析,我们发现:l = n * c - x ,他意味着一个指针从相遇点出发,一个指针从头节点出发,当他两相等时,刚好就是进入环的第一个节点!!!

struct ListNode *detectCycle(struct ListNode *head) {
struct ListNode * fast = head;
struct ListNode * slow = head;
struct ListNode * cur1 = head;
struct ListNode * cur2 = NULL;
while(fast && fast->next)
{
fast = fast->next->next;
slow = slow->next;
if(fast == slow)
{
cur2 = fast;
break;
}
}
while(cur1 && cur2)
{
if(cur1 == cur2)
{
return cur1;
}
cur1 = cur1->next;
cur2 = cur2->next;
}
return NULL;
}如果看官老爷觉得这题太过于复杂,当然也可以试试其他方法,您的电子谋士还有一种方法,将相遇点断开,此时就是两个相遇链表求交点的问题

最后的最后,还请各为看管老爷给你的电子谋士一个三连,你的三连就是给我的最大支持!!!
明天就是计算机挑战赛啦!祝愿各位取得一个好成绩
我是狐狸🦊,我们下期再见
