嗨,下面我有一个解决非线性耦合PDE问题的代码,但是我需要实现周期性边界条件。周期性边界条件困扰着我,我应该在我的代码中添加什么来执行周期性边界条件?根据下面的模块算法建议进行更新。
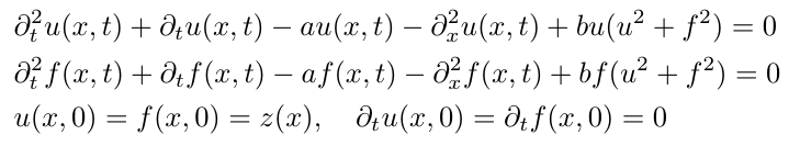
注意,t>=0和x位于0,1之间。

其中a,b> 0。
这些是初始条件,但现在我需要施加周期性的边界条件。这些可以数学地写成u(0,t)=u(1,t)和du(0,t)/dx=du(1,t)/dx,f(x,t)同样成立。关于边界条件的du/dx,实际上是偏导数。
我的代码在下面
program coupledPDE 
integer, parameter :: n = 10, A = 20 
real, parameter :: h = 0.1, k = 0.05 
real, dimension(0:n-1) :: u,v,w,f,g,d 
integer:: i,m 
real:: t, R, x,c1,c2,c3,aa,b 
R=(k/h)**2.
aa=2.0
b=1.0
c1=(2.+aa*k**2.-2.0*R)/(1+k/2.)
c2=R/(1.+k/2.)
c3=(1.0-k/2.)/(1.0+k/2.)
c4=b*k**2./(1+k/2.)
do i = 0,n-1 !loop over all space points except 0 and n
  x = real(i)*h    
  w(i) = z(x)  !u(x,0)
  d(i) = z(x)  !f(x,0)
end do
do i=0,n-1
  ip=mod(i+1,n)
  il=modulo(i-1,n)
  v(i) = (c1/(1.+c3))*w(i) + (c2/(1.+c3))*(w(ip)+w(il)) -(c4/(1.+c3))*w(i)*((w(i))**2.+(d(i))**2.)    !\partial_t u(x,0)=0
  g(i) = (c1/(1.+c3))*d(i) + (c2/(1.+c3))*(d(ip)+d(il)) -(c4/(1.+c3))*d(i)*((w(i))**2.+(d(i))**2.)    !\partial_t f(x,0)=0
end do
do m=1,A 
   do i=0,n-1
       ip=mod(i+1,n)
       il=modulo(i-1,n)
       u(i)=c1*v(i)+c2*(v(ip)+v(il))-c3*w(i)-c4*v(i)*((v(i))**2.+(g(i))**2.) 
       f(i)=c1*g(i)+c2*(g(ip)+g(il))-c3*d(i)-c4*g(i)*((v(i))**2.+(g(i))**2.) 
   end do 
     print*, "the values of u(x,t+k) for all m=",m
   print "(//3x,i5,//(3(3x,e22.14)))",m,u   
  do i=0,n-1
   w(i)=v(i)
   v(i)=u(i)
   d(i)=g(i)
   t=real(m)*k
   x=real(i)*k
  end do
end do
end program coupledPDE
function z(x)
real, intent(in) :: x
real :: pi
pi=4.0*atan(1.0)
z = sin(pi*x)
end function z谢谢你的阅读,如果我应该以更恰当的方式重新编排我的问题,请告诉我。
发布于 2016-03-10 10:43:54
PDE离散化中边界条件的一个选择是使用鬼(晕)单元(网格点)。对于周期BC,它可能不是最聪明的,但它可以用于所有其他边界条件类型。
因此,您将数组声明为
real, dimension(-1:n) :: u,v,w,f,g,d但是你只在点0..n-1 (点n和0点相同)中求解PDE。您还可以从1.n中进行操作,并从0..n+1中声明数组。
然后你设置
 u(-1) = u(n-1)和
 u(n) = u(0)所有其他数组也是如此。
在每一时间步骤中,您都会再次为u和f或在解决方案期间修改的所有其他字段设置这个值:
do m=1,A 
   u(-1) = u(n-1)
   u(n) = u(0)
   f(-1) = f(n-1)
   f(n) = f(0)
   do i=0,n-1 !Discretization equation for all times after the 1st step
       u(i)=...
       f(i)=...
   end do 
end do所有这些假设都是显式时间离散化和有限差分空间离散化,并且假设x(0) = 0和x(n) = 1是你的边界点。
https://stackoverflow.com/questions/35903982
复制相似问题