在我们介绍乙状结肠神经元(具有乙状结肠激活功能的神经元)之前,本网站给出了一些数学上的阐述,即关于感知器。http://neuralnetworksanddeeplearning.com/chap1.html
它从感知器开始,然后进入乙状结肠神经元。一切都很好,但我似乎无法证明第二个问题“西格莫德神经元模拟感知器,第二部分”在本章后面。我很难相信你可以用一个偏差和权重不变的乙状结肠神经元网络取代一个感知器网络(这里可以很容易地构造一个反例:取第三层的权重17,-6,-3,其中b= -3,w= {17,-6}在w.x +b >= 0中,对于{1,0,0}(包括偏置x_0),感知器网络可以给出0,而乙状结肠网络可以给出1)。
有人能帮我说出我错过了什么或者我哪里出错了吗?谢谢。
发布于 2014-12-03 16:37:01
不,你不能,重量不变的时候不行。但是sigmoids是二元阈值单元的连续逼近,应该是相似的。这一页上写着:
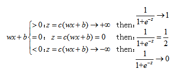
现在,用乙状结肠神经元替换网络中的所有感知器,并将权重和偏差乘以一个正常数c>0。结果表明,在c-→∞极限条件下,乙状结肠神经元网络的行为与感知网络完全相同。
这是真的。当你把所有的权重乘以大的值时,乙状结肠单位和阈值单位之间的微小差别就会越来越小。对乙状结肠的大量输入总是产生0或1。
发布于 2016-10-16 11:15:07
感知器的输出只能为1或0,而当wx+c=0为1/2时,当其中一个感知器的wx+c=0为1/2时,则会失败。

https://stackoverflow.com/questions/27189467
复制相似问题