我刚刚发现了Betareg包的Beta回归,我希望看到一个完整的简单示例,它使用Prater()并绘制拟合的回归曲线,如图2,第9页中的betareg vignette文档(使用Prater的汽油产量数据)。作者的例子(以下)只给出了回归的总结。http://cran.r-project.org/web/packages/betareg/vignettes/betareg.pdf。
data("GasolineYield", package = "betareg")
gy_logit <- betareg(yield ~ batch + temp, data = GasolineYield)
summary(gy_logit)
...发布于 2014-11-07 18:44:58
一种用ggplot2实现的方法
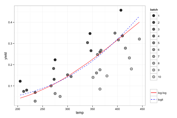
首先,对batch == 6中的数据进行模型拟合
library(betareg)
data("GasolineYield", package = "betareg")
gy_logit <- betareg(yield ~ temp, data = GasolineYield, subset = batch == 6)
gy_loglog <- betareg(yield ~ temp, data = GasolineYield, subset = batch == 6,
link = "loglog")第二,绘制数据:
library(ggplot2)
ggplot(GasolineYield, aes(x = temp, y = yield)) +
geom_point(size = 4, aes(fill = batch), shape = 21) +
scale_fill_grey() +
geom_line(aes(y = predict(gy_loglog, GasolineYield),
colour = "log-log", linetype = "log-log")) +
geom_line(aes(y = predict(gy_logit, GasolineYield),
colour = "logit", linetype = "logit")) +
scale_colour_manual("", values = c("red", "blue")) +
scale_linetype_manual("", values = c("solid", "dashed")) +
theme_bw()

发布于 2014-11-08 08:29:58
可以很容易地从R中查询betareg vignette中图形的确切代码:
edit(vignette("betareg", package = "betareg"))汽油的例子是块3-5.或者,您也可以查看package https://R-Forge.R-project.org/scm/viewvc.php/pkg/vignettes/?root=betareg上的包的源代码,或者使用Gregor所指向的Github上的副本。
如果你想要一个ggplot2版本,你可以在原则上使用斯文的答案。但是,通常情况下,只在子集(批== "6")上拟合模型并不是一个好主意。在这个特定的数据集中,估计的模型非常类似于完整数据集上的模型,但是对于其他数据集,它可能导致劣质的参数估计。相反,估计完整的样本,然后通过保持一些变量的固定和其他变量的变化来预测效果。这也是效果包所做的(但不幸的是,我们还没有为betareg和效果设置插件)。
https://stackoverflow.com/questions/26807261
复制相似问题