我只能找到关于如何递归地和迭代地实现gcd函数的文章,但是我找不到这个。我确信它在Stackoverflow上,但是我找不到它,所以如果它是一个重复的帖子,我很抱歉。
我看过维基百科(这里)的分析,无法理解它们之间的重复关系。
考虑在C中递归实现的GCD函数的以下实现,它有一个先决条件,即这两个数字必须是正的,不管这两个数字与运行时无关。
int gcd( int const a, int const b ) {
// Checks pre conditions.
assert( a >= 0 );
assert( b >= 0 );
if ( a < b ) return gcd( b, a );
if ( b == 0 ) return a;
return gcd( b, a % b );
}通过对运行时间的分析,我们发现每个运算都是O(1),因此我们知道到目前为止的递归关系是: T(n) = O(1) +??现在要分析递归调用,我不知道如何将a (mod b)解释为我的递归调用,以正确地声明我的递归关系。
发布于 2013-08-08 22:28:34
在每个递归步骤中,gcd都会将其中一个参数减半(最多)。要看这个,请看这两个案例:
如果是b >= a/2,那么下一步将有a' = b和b' < a/2,因为%操作将从a中删除b或更多内容。
如果是b < a/2,那么下一步将有a' = b和b' < a/2,因为%操作最多只能返回b - 1。
因此,在每一个递归步骤中,gcd都会将其中一个参数减半(最多)。这是O(log(N))步骤,其中N是初始a和b的最大值。
发布于 2014-03-12 01:17:13
要分析欧几里德GCD,您应该使用Fibonacci对: gcd( Fibn,Fibn- 1) --最坏的情况。
如果您测试上面的欧几里德GCD,您将得到24个递归调用。
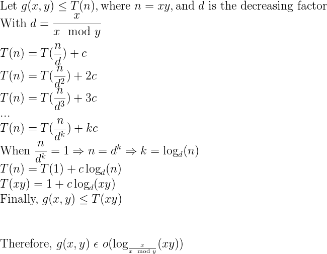
如果您习惯于解决重复关系,那么您可能感兴趣的有以下几点:

通过这项研究,我们无法推导出任何除数/除数对的确切迭代次数(因此是小的Oh表示法),但是它保证了这个上界是有效的。通常,下界是Omega(1) (例如,当除数为1时)。
https://stackoverflow.com/questions/18137019
复制相似问题