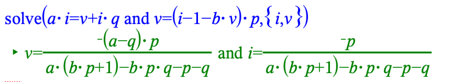
我在为解线性方程而挣扎。我想要解二元方程组(i,v)。下面是两个方程。
ai=v+iq
v=(i-1-bv)p
当我使用ti-nspire cas函数‘求解’回答i=时,v=仍然包含i和v,但我只想用未知常数(a,b,p,q)来表示它们。我该怎么做??
我试着用其他方式表达出来,但不管用。
有些时候,方程组的答案包含类似于‘x=c5’的表达式。我想知道c5是什么意思。
谢谢。
发布于 2021-04-14 21:03:42
记住要使用显式乘法:

]
https://stackoverflow.com/questions/67097132
复制相似问题