
图1. 以天空可见因子参数(阴影部分)为例,在(a)STSRE_ALL试验、(b)STSRE_TP试验及(c)STSRE_YHRB试验中次网格地形太阳辐射效应开关设置的范围。
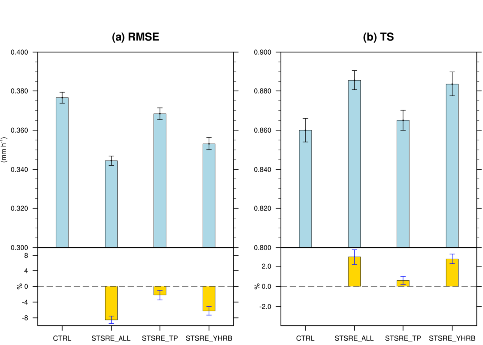
研究发现,与青藏高原地区次网格地形太阳辐射效应的远距离影响相比,江淮局地的次网格地形太阳辐射效应对梅雨降水预报的改进更为关键,能够使得均方根误差降低6.24%,泰勒评分提高2.76%(图2)。物理过程分析表明,青藏高原地区的次网格地形辐射效应主要影响了高原及周边地区对流层高层温度和环流结构:减弱了高原热源,导致南亚高压减弱西移,进而抑制高层大气的辐散和上升运动(图3f-g),减弱原本模式对梅雨降水预报的高估。而江淮地区的次网格地形辐射效应则主导了局地对流层低层的热力场和环流场变化:通过减少地表入射太阳辐射减弱地表加热(图3a-b),在局地低层大气形成冷差异中心以及反气旋式环流差异。这种反气旋环流差异直接削弱了西南水汽输送(图3c和e),从而减少了模式对梅雨降水预报的高估。本研究强调,在3-4天短期天气预报的时间尺度内,江淮局地(而非青藏高原)的次网格地形太阳辐射效应对梅雨降水预报的改进更为重要(图4)。
该研究以“Impacts of Local and Remote Sub-grid Terrain Solar Radiative Effect on the Meiyu rainfall Forecast in the Yangtze-Huaihe River Basin, China”为题,于2025年11月发表于“JGR-Atmospheres”期刊。浙江省气象服务中心蔡舒心博士为论文的第一作者,南京气象科技创新研究院朱科锋副研究员、南京大学大气科学学院黄安宁教授为论文的通讯作者,合作者还包括南京大学大气科学学院博士后顾春雷、南京气象科技创新研究院吴阳副研究员、生态环境部南京环境科学研究所朱新胜高工和赵卫副研究员。
原文链接:Cai, S., Zhu, K., Huang, A., Gu, C., Wu, Y., Zhu, X., & Zhao, W. (2025). Impacts of local and remote sub‐grid terrain solar radiative effect on the Meiyu rainfall forecast in the Yangtze‐Huaihe River Basin, China. Journal of Geophysical Research: Atmospheres, 130, e2025JD044324. https://doi.org/10.1029/ 2025JD044324
相关论文:
Cai, S., Huang, A., Zhu, K., Guo, W., Wu, Y., & Gu, C. (2023). The forecast skill of the summer precipitation over Tibetan plateau improved by the adoption of a 3D sub‐grid terrain solar radiative effect scheme in a convection‐permitting model. Journal of Geophysical Research: Atmospheres, 128(11), e2022JD038105. https://doi.org/10.1029/2022JD038105
Huang, A., Gu, C., Zhang, Y., Li, W., Zhang, L., Wu, Y., et al. (2022). Development of a clear‐sky 3D sub‐grid terrain solar radiative effect parameterization scheme based on the mountain radiation theory. Journal of Geophysical Research: Atmospheres, 127(13), e2022JD036449. https://doi.org/10.1029/2022JD036449

图2.与观测相比,控制试验、STSRE_ALL、STSRE_TP和STSRE_YHRB试验中江淮地区区域平均降水预报的(a)均方根误差和(b)泰勒评分(每个子图中的上图);与控制试验相比,STSRE_ALL、STSRE_TP和STSRE_YHRB试验对降水预报改进的百分比(每个子图的下图)。

图3. 2020 年 6 月的三个梅雨降水过程中(a)STSRE_TP与控制试验之间地表向下太阳辐射的差异,(b)STSRE_YHRB与控制试验之间地表向下太阳辐射的差异;(c)STSRE_ALL与 CTRL试验之间的地表温度(填色)和 850 hPa风场(矢量)的差异,(d)STSRE_TP与控制试验的差异,以及(e)STSRE_YHRB 试验与控制试验的差异;(f)STSRE_ALL与控制试验之间200 hPa气温(填色)和风场(矢量)的差异,(g)STSRE_TP与控制试验的差异,(h)以及 STSRE_YHRB 与控制试验之间的差异。灰色实线(浅棕色实线)分别表示青藏高原区域(长江和黄河)。黑色矩形表示江淮流域。图(c)-(e)中的白色等值线表示三个试验与控制试验之间地面气压差异(>0,等值线之间距离为 1 hPa)。

图4. 青藏高原地区和江淮平原地区的次网格地形太阳辐射效应在梅雨降水预报中的作用。
END
声明:欢迎转载、转发。气象学家公众号转载信息旨在传播交流,其内容由作者负责,不代表本号观点。文中部分图片来源于网络,如涉及内容、版权和其他问题,请联系小编处理。