
点击上方“Deephub Imba”,关注公众号,好文章不错过 !
机器人领域的专家轨迹、互联网上的文本图像视频,这些数据让生成模型在机器人操控、语言生成与规划、视觉理解等任务上取得了惊人效果。但问题来了:换到具体任务上这些模型往往不太行。这是因为LLM 需要微调才能遵守安全约束或符合人类偏好,机器人策略也得继续训练才能弥补演示数据的不足。
扩散模型和流模型已经成为生成任务的主流方法,强化学习则是任务层面追求最优性能的老路子。两者结合就有了 DDPO、DPPO、FPO、Flow-GRPO 这些工作。这类方法普遍在数十亿参数、图像文本这种高维环境下运行,所以我们换个思路:在一个二维简单环境里研究训练细节,只优化单条去噪轨迹。
这个环境训练不到一分钟,计算资源几乎可以忽略。状态空间和动作空间都简单到指标没什么意义,不过真正有意思的是不同微调策略下涌现出来的视觉行为。虽然这里聚焦于 DPPO 和扩散策略(把数据当作"动作"),但微调动态完全可以推广到其他基于 RL 的扩散应用场景。

定义一个"环形"高奖励区域,模型要学会把样本去噪到这个环的任意位置。观察点在于:模型会收敛到环上的某个模式,还是把样本均匀分布开?对环宽度的敏感程度如何?下面是一条去噪轨迹的例子:

期望行为:从随机初始化(噪声状态)走向高奖励区域,最后一步就是去噪完成的样本。
不过在开始之前我们先解释 DPPO 和相关术语,再尝试用这个算法优化扩散模型来生成高奖励样本。
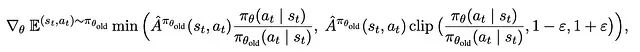
DPPO 是 PPO 的变体,属于 on-policy 方法。核心思路是更新扩散模型参数让生成样本获得更高奖励。它把扩散过程建模成 MDP:每个扩散时间步是一个状态,动作就是"去噪",奖励来自最终的去噪状态。奖励通过蒙特卡洛估计传播回有噪声的时间步——也就是对完整回合的折扣回报求平均来估计期望累积奖励。DPPO 论文里这张图讲得很清楚:

外循环先做回合采样,存下每个扩散时间步的动作对数似然,加上状态、动作、奖励这些标配。内循环跑 K 个 epoch,用 PPO 风格的目标更新扩散模型参数。PPO 的细节网上讲得很多,下面只展开相关部分。内循环结束后,用新策略再采样一批回合。损失包含信任域策略更新、价值函数损失和探索用的熵项。为简化起见,这里只看上图中的"t=0"这一步,对应单条扩散轨迹。

算法 1. DDPO + DDIM 实现的伪代码。第 5 行的"动作"就是去噪一个样本。
步骤 1:回合采样
state = env.reset()
# (aside: action variance is learned)
action_var = nn.Parameter(torch.full((2,), action_std_init * action_std_init))
current_pos = state[:2]
# in the rollout...
with torch.no_grad():
# conditional noise prediction
pred_noise = policy.actor(current_pos, t)
# the "T-1" prediction is the next position in the denoising trajectory
action_mean = policy.ddim_step(pred_noise, t, current_pos)
dist = Normal(action_mean, action_var.sqrt())
# sample from distribution with learned noise
action = dist.sample()
action_log_prob = dist.log_prob(action).sum(dim=-1)
next_state, reward, done = env.step(action)
# store in Buffer
buffer.states.append(state, action, action_log_prob, reward, done) 这段代码对应 DPPO 论文公式 4.3。目前微调整个 DDIM 轨迹,后面会比较只微调最后几步的效果:

代码里去噪过程的每一步都被当作动作,这是 DPPO 内部 MDP 的关键。动作方差设为可学习参数,因为 DDIM 本身是确定性的,需要加探索噪声(公式里的 sigma)。
DDIM 步骤方法如下,求解概率流 ODE 得到去噪过程的前一步(参考伪代码里的公式)。这个操作必须可微,梯度才能流过去噪过程:loss → logprobs → dist → action → ddim_step → pred_noise → actor weights。噪声调度参数是预设好的。
# DPPO differentiates through diffusion steps, so this needs to be differentiable
def ddim_step(self, model_output, timestep, sample):
# Handle t-1 (if t=0, prev=0, but alpha_prev=1.0)
prev_timestep = torch.clamp(timestep - 1, min=0)
alpha_prod_t_prev = alphas_cumprod[prev_timestep].view(-1, 1)
alpha_prod_t = alphas_cumprod[timestep].view(-1, 1)
beta_prod_t = 1 - alpha_prod_t
# DDIM Formula
pred_original_sample = (sample - torch.sqrt(beta_prod_t) * model_output) / torch.sqrt(alpha_prod_t)
pred_sample_direction = torch.sqrt(1 - alpha_prod_t_prev) * model_output
prev_sample = torch.sqrt(alpha_prod_t_prev) * pred_original_sample + pred_sample_direction
return prev_sample步骤 2:奖励缩放和 GAE
这部分基本是标准 PPO。跟踪运行统计量来归一化奖励,因为奖励方差太大会让价值函数训练不稳定。然后对缓冲区里所有状态跑一遍价值函数前向(不算梯度),用 GAE 从回报计算优势值,平衡偏差和方差。GAE 做的事情是给去噪过程中的"动作"分配功劳,价值函数则是为带噪声的状态建模这个功劳(注意输入里也带了扩散时间步)。
# get values from buffer
old_states = torch.cat(buffer.states, dim=0)
# scale rewards using running statistics
rewards_np = np.array(buffer.rewards)
rewards_norm = (rewards_np - reward_scaler.mean) / (np.sqrt(reward_scaler.var) + 1e-8)
# compute Values for GAE
with torch.no_grad():
x_t = old_states[:, :2]
t_long = old_states[:, 2].long()
# Get values from critic
values = policy.critic(x_t, t_long)
advantages = []
last_gae_lam = 0
# iterate backwards through the buffer
# buffer.is_terminals tells us if the episode ended at that step
for step in reversed(range(len(buffer.rewards))):
if step == len(buffer.rewards) - 1:
next_non_terminal = 1.0 - float(buffer.is_terminals[step])
next_val = next_value
else:
next_non_terminal = 1.0 - float(buffer.is_terminals[step])
next_val = values[step + 1].item()
# Delta = r + gamma * V(s') * mask - V(s)
delta = rewards_norm[step] + gamma * next_val * next_non_terminal - values[step]
# Advantage = Delta + gamma * lambda * Advantage_next * mask
last_gae_lam = delta + gamma * gae_lambda * next_non_terminal * last_gae_lam
advantages.insert(0, last_gae_lam)
# Compute Returns: Return = Advantage + Value
# This is the target for the Value Function
returns = advantages + values
# Normalize Advantages (Standard PPO trick)
advantages = (advantages - advantages.mean()) / (advantages.std() + 1e-8)步骤 3:PPO 更新
优化策略,降低低优势动作的概率,提高高优势动作的概率。这个过程跑多个 epoch 以充分利用缓冲区数据,不是更新一次就扔掉。每次迭代策略都在变,所以要在新策略下重新计算旧动作的对数概率,用新旧比率控制策略改进幅度。后面会实验不同的裁剪参数(eps clip)。
# next state (from previous cell)
state = next_state
old_actions = torch.cat(buffer.actions, dim=0)
old_logprobs = torch.cat(buffer.logprobs, dim=0)
# K epochs define how
for _ in range(K_epochs):
x_t = old_states[:, :2]
t_long = old_states[:, 2].long()
pred_noise = policy.actor(x_t, t_long)
mean_action = policy.ddim_step(pred_noise, t_long, x_t)
# learnable action variance (defined during rollout)
dist = Normal(mean_action, action_var.sqrt())
# recalculate log probs under new policy for policy ratio
logprobs = dist.log_prob(old_actions).sum(dim=-1)
ratios = torch.exp(logprobs - old_logprobs)
surr1 = ratios * advantages
surr2 = torch.clamp(ratios, 1-eps_clip, 1+eps_clip) * advantages
policy_loss = -torch.min(surr1, surr2)
# compute V(s) with gradients this time, to train value function
state_values = policy.critic(x_t, t_long)
value_loss = 0.5 * nn.MSELoss()(state_values, returns)
# there can also be an entropy term and KL term here, but omit for now
loss = policy_loss + value_lossDPPO 和 DDPO 的区别
网上几乎没有对比这两个名字容易混淆的方法:Denoising Diffusion Policy Optimization(DDPO)和 Diffusion Policy Policy Optimization(DPPO)。DDPO 针对文本生成图像,DPPO 针对扩散策略优化。动机差异之外,DDPO 用按 prompt 的奖励归一化,"类似于价值函数基线";DPPO 用更成熟的 GAE 加上显式学习的价值函数。概念上真的很难分清楚,不过这里的实现因为用了 GAE,技术上算 DPPO。
理论上跟 PPO 一样,给够回合数就能最大化奖励。但 RL 和实际训练里,样本效率才是命门。模拟环境确实降低了采样成本,可灵巧操控这种 sim2real 效果差的任务,还是得靠真实演示用尽量少的回合搞定。所以先试试只用 300 个回合从头训练,看看性能曲线。下图和后续图里,蓝点是去噪后的样本,训练过程中定期评估。

300 个回合后 DPPO 完全没收敛,样本压根没往高奖励区域靠。扩散模型本身就需要大量样本,再叠上 RL 臭名昭著的样本低效,失败并不意外。就算加到 5000 个回合,超参不仔细调也收敛不了。
现实场景里不可能有无限回合,所以专家演示通常够引导奖励最大化。要模拟"专家演示",需要一个分布:接近高奖励区域的多个模式,大体形状像那么回事,但又留有 RL 优化空间。于是选了一个半径 1.0 的圆形分布,用监督学习训练扩散模型去噪到这个区域——可以类比从演示学习或在互联网数据上预训练。30k epoch 后几百个样本的可视化效果如下:

微调前的预训练动作分布(去噪轨迹未画出)。
加载预训练 checkpoint 再跑 DPPO,性能提升明显行为也符合预期:大约 150 个回合后粒子开始收敛到高奖励区域。不过通常是找到第一个被探索到的高奖励模式,而不是均匀分布在 radius=1.5 的环上。

DPPO 微调把动作从 radius=1 的预训练分布引导到 radius=1.5 的高奖励区域,比从头训效果好太多
添加 KL 约束
Flow-GRPO 等工作在 PPO 目标之外加了 KL 约束。对 LLM 和图像生成模型(Flow-GRPO 的主要场景),偏向有效文本和语义正确的图像是有道理的。机器人领域不太在意行为克隆的真实分布,只是借它引导通常稀疏且初次难以成功的高奖励区域(比如到底拿没拿起咖啡杯)。但如果用的是可能被"利用"的密集奖励,KL 约束就有用了——比如"杯子举多高"这种奖励,很容易被往上抛的动作钻空子。
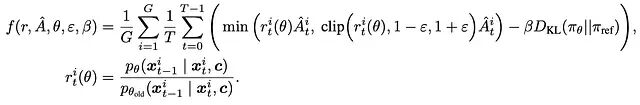
DPPO 和 Flow-GRPO 目标对比如下:

DPPO 目标

Flow-GRPO 目标
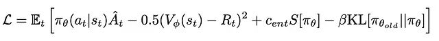
Flow-GRPO 的组大小 G 可以替代 GAE 做优势估计。KL 约束确保新策略不会偏离原策略太多,能防止收敛时的发散行为。策略比率则保证更新幅度不要太大。加上 KL 后损失变成:

带 KL 约束的新 DPPO 目标

观察到的现象是:动作没有像之前那样收敛到一两个模式,而是保留了更多圆形分布的形状,分散在多个奖励模式周围。总奖励偏低,但这在预期之内。Flow-GRPO 论文也有类似发现:
…我们发现省略 KL 会导致视觉多样性崩溃,这是一种奖励利用的形式…(第 5.2 节)
分布在多个高奖励模式上,对应现实中完成任务有多种方式的情况(可以抓杯身也可以抓杯把)。KL 约束还能增加泛化性,防止只收敛到单一高奖励模式。比如普通 DPPO 可能只学会抓杯身,碰到杯子烫得不行的分布外场景就傻了;加了 KL 约束的 DPPO 还知道可以抓杯把。
即便抓杯把本来不在演示分布里,这个好处也可能成立。值得后续研究的问题是:PPO 更新中的 KL 约束到底保持的是预训练分布的形状,还是分布本身?在这个玩具环境里,如果带 KL 的 DPPO 最优策略确实收敛到均匀分布在 radius=1.5 圆上,就可以定性地说形状被保留了,只是低奖励特性被替换。如果 KL 只是把动作值锁在 radius=1.0,那就不成立了。
微调跑通之后,就可以看看 PPO 各组件对性能的影响。
DPPO 论文建议提高效率的做法是:预训练后复制两份模型,一份冻结用于去噪前面的时间步,另一份微调用于去噪最后几步(附录 C.2 建议 10% 来平衡效率)。但在这个环境里,30% 到 50% 似乎更合适(总共 50 个去噪步骤)。

只微调最后 10%、30%、50% 的步骤(从左到右)。30% 到 50% 之间效果明显更好
这个环境还可以对比不同设置下的扩散轨迹,训练结束后可视化 20 个样本:

只微调最后 10%、30%、50% 步骤的采样轨迹(从左到右)
放大 10% 微调步骤产生的轨迹(最左边),可以看到样本越过预训练流形后有个向高奖励区域的急剧"转向"。转向后面的去噪步骤就是被微调的模型。有意思的是,微调步骤越多,这个转向越平滑,但预期还是会在某个地方出现——最左边轨迹在第 90 百分位步骤能看到,中间轨迹偶尔在第 70 百分位出现,最右边第 50 百分位已经是平滑过渡了。如果转向的急剧程度和微调效果差相关(急剧可能意味着最后几步过度补偿),那可以考虑用轨迹急剧程度作为拟合质量的指标,尤其是高维场景下不容易定位问题的时候。
跟微调整个轨迹的结果对比:

线条颜色更深,说明显著地把样本推向了高奖励区域,初始扩散步骤的重要性可见一斑。
直觉上这两个东西作用类似。策略比率控制策略变化速度,actor 学习率也决定这一点。

低/高 clip 与学习率的对比(clip = 0.1/0.4,lr = 1e-4, 5e-3)。高 clip 意味着允许更大的策略偏移
学习率的影响压过了策略裁剪,这说得通——参数空间偏移太大的话,策略比率会变得巨大。跑了几个实验后结论很清楚:学习率最需要调,策略裁剪挡不住过激更新(哪怕 clip 设到 0.01 配上高学习率也没用)。有意思的是,低学习率似乎有助于保留奖励区域的多个模式。
完全去掉策略比率,min() 两边都设成优势值乘对数概率(注意如果只用 A 不带 log prob,梯度就断了)。动作收敛到比不加 KL 项更紧密的分布(跟上一节高 clip 结果很像),不过奖励依然挺高。这也暴露了环境复杂度的局限——没有性能掉下去就回不来的区域,而策略比率本来就是为防这个设计的。不过有趣的是,这又是一个能防止奖励模式崩溃的因素。另一个有趣现象是训练久了会在多个奖励模式之间跳——像是高学习率行为的稍微稳定版。


优化 epoch 数确实和 eps clip 成反比,两个超参都在权衡每次更新的策略改进幅度。
DPPO 更新间隔的时间步数和学习率成反比,两者都在权衡策略改进的速度。
这篇文章解释了如何为单步环境中的扩散模型实现 DPPO,希望能提供一个比典型机器人环境更容易理解训练动态的平台。跑了只微调最后几个去噪步骤、调各种 PPO 超参的实验。大家可以自己从这些结果里得出结论,也可以动手改改环境,看能不能提升样本效率——这仍然是 PPO 的关键瓶颈。
代码在这里:https://gist.github.com/nsortur/ec9660a0026598e54f1e4fb583e077ed
作者: Neel
喜欢就关注一下吧:
点个 在看 你最好看!
本文分享自 DeepHub IMBA 微信公众号,前往查看
如有侵权,请联系 cloudcommunity@tencent.com 删除。
本文参与 腾讯云自媒体同步曝光计划 ,欢迎热爱写作的你一起参与!