

红黑树是一种自平衡的二叉搜索树,它通过一系列规则保证树的高度始终维持在 O (log n) 级别,从而确保插入、删除、查找等操作的时间复杂度均为 O (log n)。本文将详细解析红黑树的原理、操作及实现,附带完整可运行的 C++ 代码。

红黑树是满足以下5 个性质的二叉搜索树:
这些性质共同保证了红黑树的高度不会超过 2log (n+1),从而实现了自平衡。
黑
/ \
红 红
/ \ / \
黑 黑 黑 黑
/
红
/ \
黑 黑上图中,所有路径的黑节点数均为 2(不含叶节点),且无连续红节点,满足红黑树性质。

旋转是红黑树维持平衡的核心操作,分为左旋和右旋,其目的是改变树的结构而不破坏二叉搜索树的性质(即左子树节点值≤父节点值≤右子树节点值)。

#include <iostream>
using namespace std;
// 节点颜色定义
enum Color { RED, BLACK };
// 红黑树节点结构
struct Node {
int data; // 节点值
Color color; // 节点颜色
Node *left, *right, *parent; // 左子、右子、父节点
// 构造函数
Node(int val) : data(val), color(RED), left(nullptr), right(nullptr), parent(nullptr) {}
};
// 红黑树类
class RedBlackTree {
private:
Node* root;
Node* nil; // 哨兵节点(所有叶节点的替代,简化边界处理)
// 左旋操作(x为要旋转的节点)
void leftRotate(Node* x) {
Node* y = x->right; // y是x的右子节点
x->right = y->left; // 将y的左子树转为x的右子树
if (y->left != nil) {
y->left->parent = x; // 若y有左子,更新其父节点为x
}
y->parent = x->parent; // y的父节点更新为x的父节点
// 处理x的父节点指向
if (x->parent == nil) {
root = y; // 若x是根节点,则y成为新根
} else if (x == x->parent->left) {
x->parent->left = y; // 若x是左子,则y成为其父的左子
} else {
x->parent->right = y; // 若x是右子,则y成为其父的右子
}
y->left = x; // x成为y的左子节点
x->parent = y; // x的父节点更新为y
}
// 右旋操作(y为要旋转的节点)
void rightRotate(Node* y) {
Node* x = y->left; // x是y的左子节点
y->left = x->right; // 将x的右子树转为y的左子树
if (x->right != nil) {
x->right->parent = y; // 若x有右子,更新其父节点为y
}
x->parent = y->parent; // x的父节点更新为y的父节点
// 处理y的父节点指向
if (y->parent == nil) {
root = x; // 若y是根节点,则x成为新根
} else if (y == y->parent->right) {
y->parent->right = x; // 若y是右子,则x成为其父的右子
} else {
y->parent->left = x; // 若y是左子,则x成为其父的左子
}
x->right = y; // y成为x的右子节点
y->parent = x; // y的父节点更新为x
}
// 中序遍历(用于打印树结构)
void inorderTraversal(Node* node) {
if (node != nil) {
inorderTraversal(node->left);
cout << node->data << "(" << (node->color == RED ? "红" : "黑") << ") ";
inorderTraversal(node->right);
}
}
public:
// 构造函数初始化
RedBlackTree() {
nil = new Node(0);
nil->color = BLACK; // 哨兵节点为黑色
nil->left = nil; // 哨兵的子节点指向自己,避免空指针
nil->right = nil;
root = nil; // 初始根节点为哨兵
}
// 插入节点(简化版,仅用于测试旋转)
void insert(int val) {
Node* z = new Node(val);
Node* y = nil;
Node* x = root;
// 找到插入位置
while (x != nil) {
y = x;
if (z->data < x->data) {
x = x->left;
} else {
x = x->right;
}
}
z->parent = y;
if (y == nil) {
root = z;
} else if (z->data < y->data) {
y->left = z;
} else {
y->right = z;
}
z->left = nil;
z->right = nil;
z->color = RED; // 新节点初始为红色
}
// 公开接口:执行左旋
void performLeftRotate(int val) {
Node* x = root;
// 查找要旋转的节点
while (x != nil && x->data != val) {
if (val < x->data) {
x = x->left;
} else {
x = x->right;
}
}
if (x != nil) {
leftRotate(x);
cout << "对 " << val << " 执行左旋后: ";
printTree();
} else {
cout << "未找到值为 " << val << " 的节点,无法左旋" << endl;
}
}
// 公开接口:执行右旋
void performRightRotate(int val) {
Node* y = root;
// 查找要旋转的节点
while (y != nil && y->data != val) {
if (val < y->data) {
y = y->left;
} else {
y = y->right;
}
}
if (y != nil) {
rightRotate(y);
cout << "对 " << val << " 执行右旋后: ";
printTree();
} else {
cout << "未找到值为 " << val << " 的节点,无法右旋" << endl;
}
}
// 打印树结构
void printTree() {
inorderTraversal(root);
cout << endl;
}
};
// 主函数:测试旋转功能
int main() {
RedBlackTree tree;
// 插入测试数据
tree.insert(10);
tree.insert(20);
tree.insert(30);
tree.insert(15);
cout << "初始树结构: ";
tree.printTree();
// 测试左旋
tree.performLeftRotate(10); // 对10执行左旋
// 测试右旋
tree.performRightRotate(30); // 对30执行右旋
return 0; // 程序入口必须有返回值
}
左旋和右旋是对称操作,时间复杂度均为 O (1),仅改变指针指向而不修改节点值。
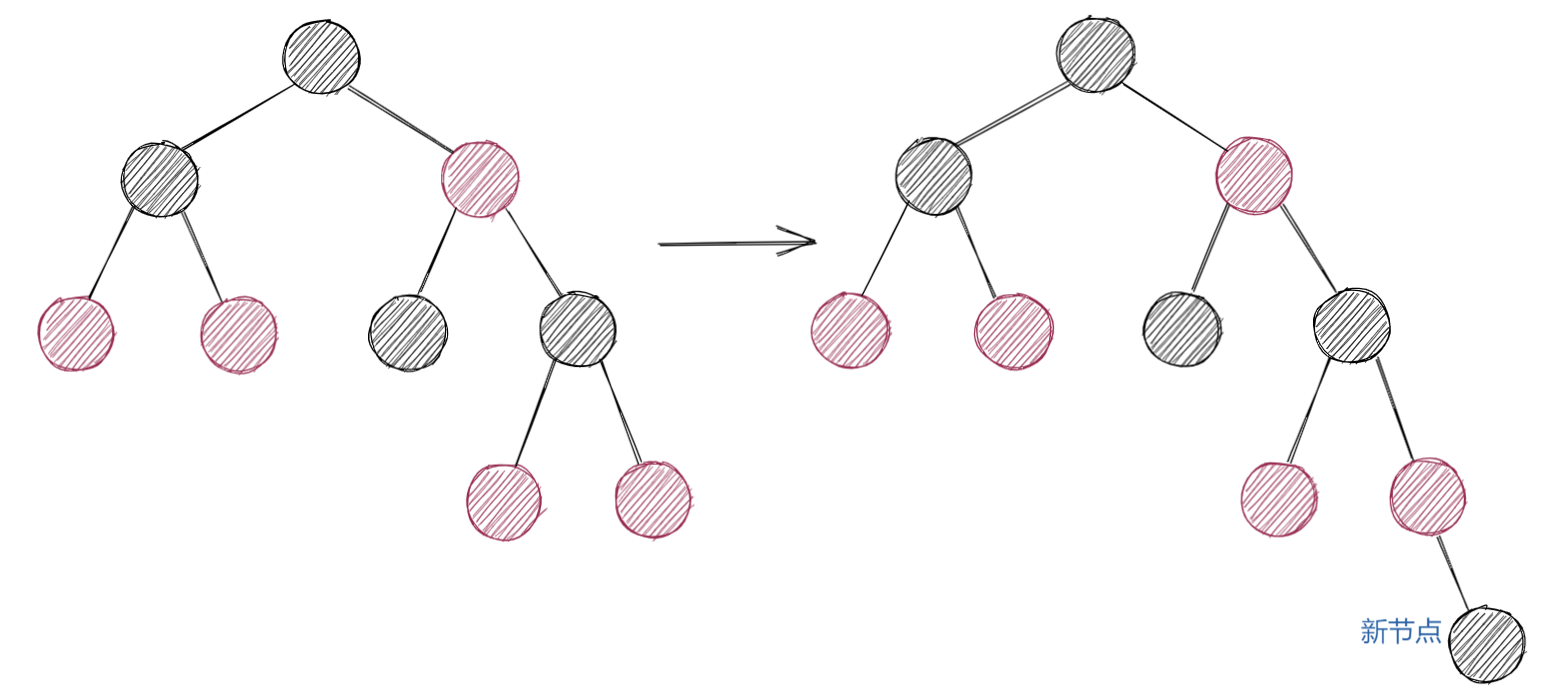
红黑树的插入流程分为两步:二叉搜索树插入和修复红黑树性质。

#include <iostream>
using namespace std;
// 节点颜色定义
enum Color { RED, BLACK };
// 红黑树节点结构
struct Node {
int data; // 节点值
Color color; // 节点颜色
Node *left, *right, *parent; // 左子、右子、父节点
// 构造函数
Node(int val) : data(val), color(RED), left(nullptr), right(nullptr), parent(nullptr) {}
};
// 红黑树类
class RedBlackTree {
private:
Node* root;
Node* nil; // 哨兵节点(所有叶节点的替代,简化边界处理)
// 左旋操作(x为要旋转的节点)
void leftRotate(Node* x) {
Node* y = x->right; // y是x的右子节点
x->right = y->left; // 将y的左子树转为x的右子树
if (y->left != nil) {
y->left->parent = x; // 若y有左子,更新其父节点为x
}
y->parent = x->parent; // y的父节点更新为x的父节点
// 处理x的父节点指向
if (x->parent == nil) {
root = y; // 若x是根节点,则y成为新根
} else if (x == x->parent->left) {
x->parent->left = y; // 若x是左子,则y成为其父的左子
} else {
x->parent->right = y; // 若x是右子,则y成为其父的右子
}
y->left = x; // x成为y的左子节点
x->parent = y; // x的父节点更新为y
}
// 右旋操作(y为要旋转的节点)
void rightRotate(Node* y) {
Node* x = y->left; // x是y的左子节点
y->left = x->right; // 将x的右子树转为y的左子树
if (x->right != nil) {
x->right->parent = y; // 若x有右子,更新其父节点为y
}
x->parent = y->parent; // x的父节点更新为y的父节点
// 处理y的父节点指向
if (y->parent == nil) {
root = x; // 若y是根节点,则x成为新根
} else if (y == y->parent->right) {
y->parent->right = x; // 若y是右子,则x成为其父的右子
} else {
y->parent->left = x; // 若y是左子,则x成为其父的左子
}
x->right = y; // y成为x的右子节点
y->parent = x; // y的父节点更新为x
}
// 插入后修复红黑树性质
void insertFixup(Node* z) {
// 当父节点为红色时(违反性质4:红色节点的子节点必须是黑色)
while (z->parent->color == RED) {
// 父节点是祖父节点的左子节点
if (z->parent == z->parent->parent->left) {
Node* y = z->parent->parent->right; // 叔节点(祖父的右子)
// 情形1:叔节点为红色
if (y->color == RED) {
z->parent->color = BLACK; // 父节点染黑
y->color = BLACK; // 叔节点染黑
z->parent->parent->color = RED; // 祖父节点染红
z = z->parent->parent; // 以祖父为新节点继续检查
}
// 叔节点为黑色
else {
// 情形2:叔节点为黑,且z是右子(三角结构)
if (z == z->parent->right) {
z = z->parent; // 以父节点为基准
leftRotate(z); // 左旋转为直线结构,转为情形3
}
// 情形3:叔节点为黑,且z是左子(直线结构)
z->parent->color = BLACK; // 父节点染黑
z->parent->parent->color = RED; // 祖父节点染红
rightRotate(z->parent->parent); // 右旋祖父节点
}
}
// 父节点是祖父节点的右子节点(对称逻辑)
else {
Node* y = z->parent->parent->left; // 叔节点(祖父的左子)
// 情形1:叔节点为红色
if (y->color == RED) {
z->parent->color = BLACK;
y->color = BLACK;
z->parent->parent->color = RED;
z = z->parent->parent;
}
// 叔节点为黑色
else {
// 情形2:叔节点为黑,且z是左子(三角结构)
if (z == z->parent->left) {
z = z->parent;
rightRotate(z); // 右旋转为直线结构,转为情形3
}
// 情形3:叔节点为黑,且z是右子(直线结构)
z->parent->color = BLACK;
z->parent->parent->color = RED;
leftRotate(z->parent->parent);
}
}
}
root->color = BLACK; // 确保根节点为黑色(修复可能被破坏的性质2)
}
// 中序遍历(用于打印树结构,按值升序输出)
void inorderTraversal(Node* node) {
if (node != nil) {
inorderTraversal(node->left);
cout << node->data << "(" << (node->color == RED ? "红" : "黑") << ") ";
inorderTraversal(node->right);
}
}
public:
// 构造函数初始化
RedBlackTree() {
nil = new Node(0);
nil->color = BLACK; // 哨兵节点为黑色
nil->left = nil; // 哨兵的子节点指向自己,避免空指针
nil->right = nil;
root = nil; // 初始根节点为哨兵
}
// 插入节点
void insert(int val) {
Node* z = new Node(val);
Node* y = nil; // y记录x的父节点
Node* x = root;
// 找到插入位置(类似二叉搜索树)
while (x != nil) {
y = x;
if (z->data < x->data) {
x = x->left;
} else {
x = x->right;
}
}
z->parent = y; // z的父节点设为y
if (y == nil) {
root = z; // 树为空,z成为根节点
} else if (z->data < y->data) {
y->left = z; // z成为y的左子
} else {
y->right = z; // z成为y的右子
}
z->left = nil; // 左右子节点设为哨兵
z->right = nil;
z->color = RED; // 新节点初始为红色(减少对黑高的影响)
insertFixup(z); // 修复红黑树性质
}
// 打印树结构
void printTree() {
inorderTraversal(root);
cout << endl;
}
};
// 测试红黑树插入功能
int main() {
RedBlackTree tree;
// 插入测试数据
int values[] = {10, 20, 5, 15, 30, 25, 35};
int n = sizeof(values) / sizeof(values[0]);
for (int i = 0; i < n; i++) {
tree.insert(values[i]);
cout << "插入 " << values[i] << " 后,树结构为: ";
tree.printTree();
}
return 0;
}

红黑树的删除是最复杂的操作,流程如下:
删除黑色节点后,其位置会产生 "双黑" 标记(可理解为需要额外的黑色补偿)。修复函数通过以下方式处理:
#include <iostream>
using namespace std;
// 节点颜色定义
enum Color { RED, BLACK };
// 红黑树节点结构
struct Node {
int data; // 节点值
Color color; // 节点颜色
Node *left, *right, *parent; // 左子、右子、父节点
// 构造函数
Node(int val) : data(val), color(RED), left(nullptr), right(nullptr), parent(nullptr) {}
};
// 红黑树类
class RedBlackTree {
private:
Node* root;
Node* nil; // 哨兵节点(所有叶节点的替代,简化边界处理)
// 左旋操作
void leftRotate(Node* x) {
Node* y = x->right; // y是x的右子节点
x->right = y->left; // 将y的左子树转为x的右子树
if (y->left != nil) {
y->left->parent = x; // 若y有左子,更新其父节点为x
}
y->parent = x->parent; // y的父节点更新为x的父节点
// 处理x的父节点指向
if (x->parent == nil) {
root = y; // 若x是根节点,则y成为新根
} else if (x == x->parent->left) {
x->parent->left = y; // 若x是左子,则y成为其父的左子
} else {
x->parent->right = y; // 若x是右子,则y成为其父的右子
}
y->left = x; // x成为y的左子节点
x->parent = y; // x的父节点更新为y
}
// 右旋操作
void rightRotate(Node* y) {
Node* x = y->left; // x是y的左子节点
y->left = x->right; // 将x的右子树转为y的左子树
if (x->right != nil) {
x->right->parent = y; // 若x有右子,更新其父节点为y
}
x->parent = y->parent; // x的父节点更新为y的父节点
// 处理y的父节点指向
if (y->parent == nil) {
root = x; // 若y是根节点,则x成为新根
} else if (y == y->parent->right) {
y->parent->right = x; // 若y是右子,则x成为其父的右子
} else {
y->parent->left = x; // 若y是左子,则x成为其父的左子
}
x->right = y; // y成为x的右子节点
y->parent = x; // y的父节点更新为x
}
// 插入后修复红黑树性质(完整实现才能正常测试删除)
void insertFixup(Node* z) {
while (z->parent->color == RED) {
if (z->parent == z->parent->parent->left) {
Node* y = z->parent->parent->right;
if (y->color == RED) {
z->parent->color = BLACK;
y->color = BLACK;
z->parent->parent->color = RED;
z = z->parent->parent;
} else {
if (z == z->parent->right) {
z = z->parent;
leftRotate(z);
}
z->parent->color = BLACK;
z->parent->parent->color = RED;
rightRotate(z->parent->parent);
}
} else {
Node* y = z->parent->parent->left;
if (y->color == RED) {
z->parent->color = BLACK;
y->color = BLACK;
z->parent->parent->color = RED;
z = z->parent->parent;
} else {
if (z == z->parent->left) {
z = z->parent;
rightRotate(z);
}
z->parent->color = BLACK;
z->parent->parent->color = RED;
leftRotate(z->parent->parent);
}
}
}
root->color = BLACK;
}
// 移植节点(辅助删除操作)
void transplant(Node* u, Node* v) {
if (u->parent == nil) {
root = v;
} else if (u == u->parent->left) {
u->parent->left = v;
} else {
u->parent->right = v;
}
v->parent = u->parent;
}
// 查找最小节点(用于找后继)
Node* minimum(Node* x) {
while (x->left != nil) {
x = x->left;
}
return x;
}
// 删除后修复红黑树性质
void deleteFixup(Node* x) {
// 当x不是根节点且为黑色时需要修复(双黑问题)
while (x != root && x->color == BLACK) {
// x是左子节点的情况
if (x == x->parent->left) {
Node* w = x->parent->right; // 兄弟节点
// 情形1:兄弟节点为红色
if (w->color == RED) {
w->color = BLACK; // 兄弟染黑
x->parent->color = RED; // 父节点染红
leftRotate(x->parent); // 左旋父节点
w = x->parent->right; // 更新兄弟节点
}
// 情形2:兄弟节点的两个子节点均为黑色
if (w->left->color == BLACK && w->right->color == BLACK) {
w->color = RED; // 兄弟染红
x = x->parent; // 向上传递双黑标记
} else {
// 情形3:兄弟左子为红,右子为黑
if (w->right->color == BLACK) {
w->left->color = BLACK; // 兄弟左子染黑
w->color = RED; // 兄弟染红
rightRotate(w); // 右旋兄弟
w = x->parent->right; // 更新兄弟节点
}
// 情形4:兄弟右子为红
w->color = x->parent->color; // 兄弟继承父节点颜色
x->parent->color = BLACK; // 父节点染黑
w->right->color = BLACK; // 兄弟右子染黑
leftRotate(x->parent); // 左旋父节点
x = root; // 退出循环
}
} else { // x是右子节点的情况(对称逻辑)
Node* w = x->parent->left; // 兄弟节点
// 情形1:兄弟节点为红色
if (w->color == RED) {
w->color = BLACK;
x->parent->color = RED;
rightRotate(x->parent);
w = x->parent->left;
}
// 情形2:兄弟节点的两个子节点均为黑色
if (w->right->color == BLACK && w->left->color == BLACK) {
w->color = RED;
x = x->parent;
} else {
// 情形3:兄弟右子为红,左子为黑
if (w->left->color == BLACK) {
w->right->color = BLACK;
w->color = RED;
leftRotate(w);
w = x->parent->left;
}
// 情形4:兄弟左子为红
w->color = x->parent->color;
x->parent->color = BLACK;
w->left->color = BLACK;
rightRotate(x->parent);
x = root; // 退出循环
}
}
}
x->color = BLACK; // 确保x为黑色,解决双黑问题
}
// 中序遍历(用于打印树结构)
void inorderTraversal(Node* node) {
if (node != nil) {
inorderTraversal(node->left);
cout << node->data << "(" << (node->color == RED ? "红" : "黑") << ") ";
inorderTraversal(node->right);
}
}
public:
// 构造函数初始化
RedBlackTree() {
nil = new Node(0);
nil->color = BLACK; // 哨兵节点为黑色
nil->left = nil; // 哨兵的子节点指向自己,避免空指针
nil->right = nil;
root = nil; // 初始根节点为哨兵
}
// 插入节点(用于构建测试树)
void insert(int val) {
Node* z = new Node(val);
Node* y = nil;
Node* x = root;
while (x != nil) {
y = x;
if (z->data < x->data) {
x = x->left;
} else {
x = x->right;
}
}
z->parent = y;
if (y == nil) {
root = z;
} else if (z->data < y->data) {
y->left = z;
} else {
y->right = z;
}
z->left = nil;
z->right = nil;
z->color = RED;
insertFixup(z);
}
// 删除节点
void deleteNode(int val) {
Node* z = root;
Node* y = nil;
Node* x = nil;
// 查找值为val的节点
while (z != nil && z->data != val) {
if (val < z->data) {
z = z->left;
} else {
z = z->right;
}
}
if (z == nil) {
cout << "值 " << val << " 不在树中,无法删除" << endl;
return;
}
y = z;
Color yOriginalColor = y->color; // 记录被删除节点的原始颜色
// 处理子节点情况
if (z->left == nil) {
// 左子为空,用右子替换
x = z->right;
transplant(z, z->right);
} else if (z->right == nil) {
// 右子为空,用左子替换
x = z->left;
transplant(z, z->left);
} else {
// 两个子节点都存在,找后继节点
y = minimum(z->right);
yOriginalColor = y->color;
x = y->right;
if (y->parent == z) {
x->parent = y;
} else {
transplant(y, y->right);
y->right = z->right;
y->right->parent = y;
}
transplant(z, y);
y->left = z->left;
y->left->parent = y;
y->color = z->color;
}
delete z; // 释放被删除节点内存
// 若删除的是黑色节点,可能破坏红黑树性质,需要修复
if (yOriginalColor == BLACK) {
deleteFixup(x);
}
}
// 查找节点(用于验证)
bool search(int val) {
Node* x = root;
while (x != nil) {
if (x->data == val) {
return true;
} else if (val < x->data) {
x = x->left;
} else {
x = x->right;
}
}
return false;
}
// 打印树结构
void printTree() {
inorderTraversal(root);
cout << endl;
}
};
// 测试红黑树删除功能
int main() {
RedBlackTree tree;
// 插入测试数据
int values[] = {10, 20, 5, 15, 30, 25, 35};
int n = sizeof(values) / sizeof(values[0]);
cout << "=== 插入节点过程 ===" << endl;
for (int i = 0; i < n; i++) {
tree.insert(values[i]);
cout << "插入 " << values[i] << " 后: ";
tree.printTree();
}
// 测试删除操作
cout << "\n=== 删除节点过程 ===" << endl;
int deleteValues[] = {20, 10, 30};
for (int val : deleteValues) {
if (tree.search(val)) {
tree.deleteNode(val);
cout << "删除 " << val << " 后: ";
tree.printTree();
} else {
cout << "删除 " << val << " 失败:节点不存在" << endl;
}
}
// 测试删除不存在的节点
tree.deleteNode(100);
return 0;
}
以下是一个完整的红黑树应用案例,实现了有序映射的插入、删除、查找和遍历功能:
#include <iostream>
using namespace std;
// 节点颜色定义
enum Color { RED, BLACK };
// 红黑树节点结构
struct Node {
int data; // 节点值
Color color; // 节点颜色
Node *left, *right, *parent; // 左子、右子、父节点
// 构造函数
Node(int val) : data(val), color(RED), left(nullptr), right(nullptr), parent(nullptr) {}
};
// 红黑树类
class RedBlackTree {
private:
Node* root;
Node* nil; // 哨兵节点(简化边界处理)
// 左旋操作
void leftRotate(Node* x) {
Node* y = x->right;
x->right = y->left;
if (y->left != nil) {
y->left->parent = x;
}
y->parent = x->parent;
if (x->parent == nil) {
root = y;
} else if (x == x->parent->left) {
x->parent->left = y;
} else {
x->parent->right = y;
}
y->left = x;
x->parent = y;
}
// 右旋操作
void rightRotate(Node* y) {
Node* x = y->left;
y->left = x->right;
if (x->right != nil) {
x->right->parent = y;
}
x->parent = y->parent;
if (y->parent == nil) {
root = x;
} else if (y == y->parent->right) {
y->parent->right = x;
} else {
y->parent->left = x;
}
x->right = y;
y->parent = x;
}
// 插入修复
void insertFixup(Node* z) {
while (z->parent->color == RED) {
if (z->parent == z->parent->parent->left) {
Node* y = z->parent->parent->right;
if (y->color == RED) {
z->parent->color = BLACK;
y->color = BLACK;
z->parent->parent->color = RED;
z = z->parent->parent;
} else {
if (z == z->parent->right) {
z = z->parent;
leftRotate(z);
}
z->parent->color = BLACK;
z->parent->parent->color = RED;
rightRotate(z->parent->parent);
}
} else {
Node* y = z->parent->parent->left;
if (y->color == RED) {
z->parent->color = BLACK;
y->color = BLACK;
z->parent->parent->color = RED;
z = z->parent->parent;
} else {
if (z == z->parent->left) {
z = z->parent;
rightRotate(z);
}
z->parent->color = BLACK;
z->parent->parent->color = RED;
leftRotate(z->parent->parent);
}
}
}
root->color = BLACK;
}
// 移植节点(辅助删除)
void transplant(Node* u, Node* v) {
if (u->parent == nil) {
root = v;
} else if (u == u->parent->left) {
u->parent->left = v;
} else {
u->parent->right = v;
}
v->parent = u->parent;
}
// 查找最小节点(找后继)
Node* minimum(Node* x) {
while (x->left != nil) {
x = x->left;
}
return x;
}
// 删除修复
void deleteFixup(Node* x) {
while (x != root && x->color == BLACK) {
if (x == x->parent->left) {
Node* w = x->parent->right;
if (w->color == RED) {
w->color = BLACK;
x->parent->color = RED;
leftRotate(x->parent);
w = x->parent->right;
}
if (w->left->color == BLACK && w->right->color == BLACK) {
w->color = RED;
x = x->parent;
} else {
if (w->right->color == BLACK) {
w->left->color = BLACK;
w->color = RED;
rightRotate(w);
w = x->parent->right;
}
w->color = x->parent->color;
x->parent->color = BLACK;
w->right->color = BLACK;
leftRotate(x->parent);
x = root;
}
} else {
Node* w = x->parent->left;
if (w->color == RED) {
w->color = BLACK;
x->parent->color = RED;
rightRotate(x->parent);
w = x->parent->left;
}
if (w->right->color == BLACK && w->left->color == BLACK) {
w->color = RED;
x = x->parent;
} else {
if (w->left->color == BLACK) {
w->right->color = BLACK;
w->color = RED;
leftRotate(w);
w = x->parent->left;
}
w->color = x->parent->color;
x->parent->color = BLACK;
w->left->color = BLACK;
rightRotate(x->parent);
x = root;
}
}
}
x->color = BLACK;
}
// 中序遍历(内部实现)
void inorderTraversal(Node* x) {
if (x != nil) {
inorderTraversal(x->left);
cout << x->data << "(" << (x->color == RED ? "红" : "黑") << ") ";
inorderTraversal(x->right);
}
}
public:
// 构造函数
RedBlackTree() {
nil = new Node(0);
nil->color = BLACK;
nil->left = nil;
nil->right = nil;
root = nil;
}
// 插入节点
void insert(int val) {
Node* z = new Node(val);
Node* y = nil;
Node* x = root;
while (x != nil) {
y = x;
if (z->data < x->data) {
x = x->left;
} else {
x = x->right;
}
}
z->parent = y;
if (y == nil) {
root = z;
} else if (z->data < y->data) {
y->left = z;
} else {
y->right = z;
}
z->left = nil;
z->right = nil;
z->color = RED;
insertFixup(z);
}
// 删除节点
void deleteNode(int val) {
Node* z = root;
while (z != nil && z->data != val) {
if (val < z->data) {
z = z->left;
} else {
z = z->right;
}
}
if (z == nil) {
cout << "值 " << val << " 不在树中,无法删除" << endl;
return;
}
Node* y = z;
Color yOriginalColor = y->color;
Node* x = nil;
if (z->left == nil) {
x = z->right;
transplant(z, z->right);
} else if (z->right == nil) {
x = z->left;
transplant(z, z->left);
} else {
y = minimum(z->right);
yOriginalColor = y->color;
x = y->right;
if (y->parent == z) {
x->parent = y;
} else {
transplant(y, y->right);
y->right = z->right;
y->right->parent = y;
}
transplant(z, y);
y->left = z->left;
y->left->parent = y;
y->color = z->color;
}
delete z;
if (yOriginalColor == BLACK) {
deleteFixup(x);
}
}
// 查找节点
bool search(int val) {
Node* x = root;
while (x != nil) {
if (x->data == val) {
return true; // 找到节点
} else if (val < x->data) {
x = x->left; // 向左子树查找
} else {
x = x->right; // 向右子树查找
}
}
return false; // 未找到节点
}
// 公开接口:打印树
void printTree() {
cout << "中序遍历(值+颜色):";
inorderTraversal(root);
cout << endl;
}
};
// 测试代码
int main() {
RedBlackTree tree;
// 插入测试
int nums[] = {10, 20, 5, 15, 30, 25};
for (int num : nums) {
tree.insert(num);
cout << "插入 " << num << " 后:";
tree.printTree();
}
// 查找测试
int targets[] = {15, 22, 5, 30};
for (int target : targets) {
cout << "查找 " << target << ":" << (tree.search(target) ? "存在" : "不存在") << endl;
}
// 删除测试
tree.deleteNode(20);
cout << "删除 20 后:";
tree.printTree();
tree.deleteNode(10);
cout << "删除 10 后:";
tree.printTree();
// 验证删除后的查找结果
cout << "删除后查找 10:" << (tree.search(10) ? "存在" : "不存在") << endl;
cout << "删除后查找 20:" << (tree.search(20) ? "存在" : "不存在") << endl;
return 0;
}

std::map和std::set、Java 的TreeMap、Linux 内核的进程调度、nginx 的定时器等均采用红黑树实现。
本文提供的红黑树代码已包含所有核心功能(插入、删除、查找、遍历),可直接编译运行。代码采用哨兵节点简化逻辑,所有操作均保证红黑树性质不被破坏,时间复杂度为 O (log n)。实际使用时可根据需求扩展(如泛型支持、自定义比较器等)。