
正交函数集是指一组函数,其中任意两个不同函数的内积为零,而每个函数与自身的内积不为零。在信号处理中,正交函数集常用于信号的表示和分解。
将信号分解为正交函数的线性组合,可以简化信号分析和处理。下面通过一个例子演示如何将方波信号分解为三角函数的线性组合:
import numpy as np
import matplotlib.pyplot as plt
plt.rcParams['font.sans-serif'] = ['SimHei']
plt.rcParams['axes.unicode_minus'] = False
# 生成方波信号
def square_wave(t, T):
"""生成周期为T的方波信号"""
return np.where(np.mod(t, T) < T/2, 1, -1)
# 方波的傅里叶级数展开
def fourier_series_square(t, T, n_terms):
"""使用n_terms项傅里叶级数逼近方波"""
result = 0
for n in range(1, n_terms+1, 2): # 只包含奇次谐波
result += (4/(n*np.pi)) * np.sin(2*np.pi*n*t/T)
return result
# 时间范围
t = np.linspace(-2, 2, 1000)
T = 1 # 周期
# 计算不同项数的傅里叶级数逼近
y1 = fourier_series_square(t, T, 1)
y3 = fourier_series_square(t, T, 3)
y5 = fourier_series_square(t, T, 5)
y50 = fourier_series_square(t, T, 50)
y_actual = square_wave(t, T)
# 绘制结果
plt.figure(figsize=(12, 10))
plt.subplot(3, 1, 1)
plt.plot(t, y_actual, 'k-', label='实际方波')
plt.plot(t, y1, 'r--', label='1项')
plt.legend()
plt.title('方波信号的傅里叶级数逼近 (1项)')
plt.xlabel('时间 (s)')
plt.ylabel('振幅')
plt.grid(True)
plt.subplot(3, 1, 2)
plt.plot(t, y_actual, 'k-', label='实际方波')
plt.plot(t, y3, 'g--', label='3项')
plt.legend()
plt.title('方波信号的傅里叶级数逼近 (3项)')
plt.xlabel('时间 (s)')
plt.ylabel('振幅')
plt.grid(True)
plt.subplot(3, 1, 3)
plt.plot(t, y_actual, 'k-', label='实际方波')
plt.plot(t, y50, 'b--', label='50项')
plt.legend()
plt.title('方波信号的傅里叶级数逼近 (50项)')
plt.xlabel('时间 (s)')
plt.ylabel('振幅')
plt.grid(True)
plt.tight_layout()
plt.show()
图 1:方波信号的傅里叶级数逼近
周期信号可以分解为一系列谐波分量的和,每个谐波分量的频率是基波频率的整数倍。傅里叶级数提供了将周期信号分解为正弦和余弦函数线性组合的数学工具。
偶函数的傅里叶级数只包含余弦项和直流分量
奇函数的傅里叶级数只包含正弦项
下面演示奇函数 (正弦波) 和偶函数 (余弦波) 的傅里叶级数特性:
import numpy as np
import matplotlib.pyplot as plt
plt.rcParams['font.sans-serif'] = ['SimHei']
plt.rcParams['axes.unicode_minus'] = False
# 生成时间序列
t = np.linspace(-np.pi, np.pi, 1000)
# 生成奇函数(正弦波)和偶函数(余弦波)
y_sin = np.sin(t) # 奇函数
y_cos = np.cos(t) # 偶函数
# 计算正弦波的傅里叶级数(只应包含正弦项)
def fourier_series_sin(t, n_terms):
result = 0
for n in range(1, n_terms+1):
# 对于sin(t),只有n=1时有系数,其他n的系数为0
if n == 1:
result += 2/np.pi * np.sin(n*t)
return result
# 计算余弦波的傅里叶级数(只应包含余弦项和直流分量)
def fourier_series_cos(t, n_terms):
result = 2/np.pi # 直流分量
for n in range(1, n_terms+1):
# 特殊处理n=1的情况,避免除以零
if n == 1:
# cos(t)的傅里叶级数中n=1的系数为 t*sin(t)/2,需要单独处理
result += 0.5 * t * np.sin(t)
else:
result += 4/(np.pi*(1 - n**2)) * np.cos(n*t)
return result
# 计算逼近结果
y_sin_approx = fourier_series_sin(t, 5)
y_cos_approx = fourier_series_cos(t, 5)
# 绘制结果
plt.figure(figsize=(12, 8))
plt.subplot(2, 2, 1)
plt.plot(t, y_sin, 'k-', label='sin(t)')
plt.plot(t, y_sin_approx, 'r--', label='傅里叶级数逼近')
plt.legend()
plt.title('奇函数(sin(t))及其傅里叶级数逼近')
plt.xlabel('时间 (rad)')
plt.ylabel('振幅')
plt.grid(True)
plt.subplot(2, 2, 2)
plt.plot(t, y_cos, 'k-', label='cos(t)')
plt.plot(t, y_cos_approx, 'b--', label='傅里叶级数逼近')
plt.legend()
plt.title('偶函数(cos(t))及其傅里叶级数逼近')
plt.xlabel('时间 (rad)')
plt.ylabel('振幅')
plt.grid(True)
# 验证奇偶性
plt.subplot(2, 2, 3)
plt.plot(t, y_sin, 'k-', label='sin(t)')
plt.plot(-t, -y_sin, 'r--', label='-sin(-t)')
plt.legend()
plt.title('奇函数验证: sin(-t) = -sin(t)')
plt.xlabel('时间 (rad)')
plt.ylabel('振幅')
plt.grid(True)
plt.subplot(2, 2, 4)
plt.plot(t, y_cos, 'k-', label='cos(t)')
plt.plot(-t, y_cos, 'b--', label='cos(-t)')
plt.legend()
plt.title('偶函数验证: cos(-t) = cos(t)')
plt.xlabel('时间 (rad)')
plt.ylabel('振幅')
plt.grid(True)
plt.tight_layout()
plt.show()
图 2:奇偶函数的傅里叶级数特性

下面是将三角形式傅里叶级数转换为指数形式的示例:
import numpy as np
import matplotlib.pyplot as plt
plt.rcParams['font.sans-serif'] = ['SimHei']
plt.rcParams['axes.unicode_minus'] = False
# 生成周期方波信号
def square_wave(t, T):
return np.where(np.mod(t, T) < T / 2, 1, -1)
# 计算指数形式傅里叶系数
def fourier_coeff_exp(f, T, n_terms):
"""计算指数形式傅里叶系数"""
t = np.linspace(-T / 2, T / 2, 1000) # 一个周期
f_t = f(t, T)
c_n = np.zeros(n_terms * 2 + 1, dtype=complex) # 存储系数
for n in range(-n_terms, n_terms + 1):
exponent = -1j * 2 * np.pi * n * t / T
integrand = f_t * np.exp(exponent)
# 使用np.trapezoid替代np.trapz
c_n[n + n_terms] = (1 / T) * np.trapezoid(integrand, t) # 数值积分
return c_n
# 从指数系数重建信号
def reconstruct_from_exp_coeffs(t, T, c_n, n_terms):
"""使用指数形式傅里叶系数重建信号"""
result = 0
for n in range(-n_terms, n_terms + 1):
exponent = 1j * 2 * np.pi * n * t / T
result += c_n[n + n_terms] * np.exp(exponent)
return np.real(result) # 取实部
# 时间范围
t = np.linspace(-2, 2, 1000)
T = 1 # 周期
n_terms = 10 # 傅里叶系数项数
# 计算指数形式傅里叶系数
c_n = fourier_coeff_exp(square_wave, T, n_terms)
# 重建信号
y_reconstructed = reconstruct_from_exp_coeffs(t, T, c_n, n_terms)
y_actual = square_wave(t, T)
# 绘制结果
plt.figure(figsize=(12, 8))
plt.subplot(2, 1, 1)
plt.plot(t, y_actual, 'k-', label='实际方波')
plt.plot(t, y_reconstructed, 'r--', label='指数形式傅里叶级数重建')
plt.legend()
plt.title('使用指数形式傅里叶级数重建方波信号')
plt.xlabel('时间 (s)')
plt.ylabel('振幅')
plt.grid(True)
# 绘制傅里叶系数的幅度谱
n_values = np.arange(-n_terms, n_terms + 1)
# 修正plt.stem的参数,只传递必要的参数
plt.subplot(2, 1, 2)
plt.stem(n_values, np.abs(c_n), linefmt='r-', markerfmt='ro', basefmt='r-')
plt.title('指数形式傅里叶系数的幅度谱')
plt.xlabel('谐波次数 n')
plt.ylabel('|c_n|')
plt.grid(True)
plt.tight_layout()
plt.show()
图 3:指数形式傅里叶级数及其系数谱
周期信号的频谱是离散的,由一系列位于基波频率整数倍位置的谱线组成。频谱包含幅度谱和相位谱,分别表示各次谐波的幅度和相位信息。
周期矩形脉冲是一种常见的周期信号,其频谱具有以下特点:
下面是周期矩形脉冲及其频谱的示例:
import numpy as np
import matplotlib.pyplot as plt
plt.rcParams['font.sans-serif'] = ['SimHei']
plt.rcParams['axes.unicode_minus'] = False
# 生成周期矩形脉冲信号
def periodic_rect_pulse(t, T, tau):
"""
生成周期矩形脉冲信号
t: 时间数组
T: 周期
tau: 脉冲宽度
"""
return np.where(np.mod(t, T) < tau / 2, 1, 0)
# 计算周期信号的傅里叶系数(三角形式)
def fourier_coeff_trig(f, T, tau, n_terms):
"""计算三角形式傅里叶系数"""
t = np.linspace(-T / 2, T / 2, 1000) # 一个周期
f_t = f(t, T, tau)
# 直流分量 a0 - 使用 np.trapezoid 替代 np.trapz
a0 = (2 / T) * np.trapezoid(f_t, t)
a_n = np.zeros(n_terms + 1) # 余弦项系数
b_n = np.zeros(n_terms + 1) # 正弦项系数
for n in range(1, n_terms + 1):
w0 = 2 * np.pi / T
exponent_cos = n * w0 * t
exponent_sin = n * w0 * t
integrand_cos = f_t * np.cos(exponent_cos)
integrand_sin = f_t * np.sin(exponent_sin)
# 使用 np.trapezoid 替代 np.trapz
a_n[n] = (2 / T) * np.trapezoid(integrand_cos, t)
b_n[n] = (2 / T) * np.trapezoid(integrand_sin, t)
return a0, a_n, b_n
# 时间范围
t = np.linspace(-5, 5, 1000)
T = 2 # 周期
tau = 0.5 # 脉冲宽度
n_terms = 20 # 傅里叶系数项数
# 生成周期矩形脉冲
y_rect = periodic_rect_pulse(t, T, tau)
# 计算傅里叶系数
a0, a_n, b_n = fourier_coeff_trig(periodic_rect_pulse, T, tau, n_terms)
# 重建信号
w0 = 2 * np.pi / T
t_reconstruct = np.linspace(-5, 5, 1000)
y_reconstructed = a0 / 2 # 直流分量
for n in range(1, n_terms + 1):
y_reconstructed += a_n[n] * np.cos(n * w0 * t_reconstruct) + b_n[n] * np.sin(n * w0 * t_reconstruct)
# 计算幅度谱
amplitude_spectrum = np.sqrt(a_n ** 2 + b_n ** 2)
frequency = np.arange(0, n_terms + 1) * w0 / (2 * np.pi) # 转换为Hz
# 绘制结果
plt.figure(figsize=(12, 10))
plt.subplot(2, 1, 1)
plt.plot(t, y_rect, 'k-', label=f'周期矩形脉冲 (T={T}, τ={tau})')
plt.plot(t_reconstruct, y_reconstructed, 'r--', label='傅里叶级数重建')
plt.legend()
plt.title('周期矩形脉冲信号及其傅里叶级数重建')
plt.xlabel('时间 (s)')
plt.ylabel('振幅')
plt.grid(True)
plt.subplot(2, 1, 2)
# 修正 plt.stem 的参数,使用关键字参数
plt.stem(frequency, amplitude_spectrum, linefmt='b-', markerfmt='bo', basefmt='b-')
plt.title('周期矩形脉冲的幅度谱')
plt.xlabel('频率 (Hz)')
plt.ylabel('幅度')
plt.grid(True)
plt.tight_layout()
plt.show()
图 4:周期矩形脉冲信号及其频谱
非周期信号的傅里叶变换定义为:

非周期信号的频谱是连续的,反映了信号在频域的分布特性。
常见奇异函数的傅里叶变换:

下面是单位冲激函数和矩形脉冲信号的傅里叶变换示例:
import numpy as np
import matplotlib.pyplot as plt
plt.rcParams['font.sans-serif'] = ['SimHei']
plt.rcParams['axes.unicode_minus'] = False
# 定义单位冲激函数(近似)
def delta_function(t, epsilon=1e-3):
"""近似单位冲激函数"""
return np.where(np.abs(t) < epsilon/2, 1/epsilon, 0)
# 定义矩形脉冲函数
def rect_pulse(t, tau):
"""矩形脉冲函数"""
return np.where(np.abs(t) < tau/2, 1, 0)
# 计算傅里叶变换(数值方法)
def fourier_transform(f, t):
"""数值计算傅里叶变换"""
N = len(t)
dt = t[1] - t[0]
w = np.fft.fftfreq(N, d=dt) * 2 * np.pi # 角频率
F = np.fft.fft(f) * dt # 傅里叶变换
return w, F
# 时间范围
t = np.linspace(-10, 10, 1000)
dt = t[1] - t[0]
# 计算单位冲激函数的傅里叶变换
delta = delta_function(t)
w_delta, F_delta = fourier_transform(delta, t)
# 计算矩形脉冲的傅里叶变换
tau = 2
rect = rect_pulse(t, tau)
w_rect, F_rect = fourier_transform(rect, t)
# 绘制结果
plt.figure(figsize=(12, 10))
plt.subplot(2, 2, 1)
plt.plot(t, delta, 'k-')
plt.title('单位冲激函数(近似)')
plt.xlabel('时间 (s)')
plt.ylabel('振幅')
plt.grid(True)
plt.subplot(2, 2, 2)
plt.plot(w_delta, np.abs(F_delta), 'r-')
plt.title('单位冲激函数的傅里叶变换(幅度谱)')
plt.xlabel('角频率 (rad/s)')
plt.ylabel('|F(jω)|')
plt.grid(True)
plt.subplot(2, 2, 3)
plt.plot(t, rect, 'k-')
plt.title(f'矩形脉冲 (τ={tau}s)')
plt.xlabel('时间 (s)')
plt.ylabel('振幅')
plt.grid(True)
plt.subplot(2, 2, 4)
plt.plot(w_rect, np.abs(F_rect), 'b-')
plt.title('矩形脉冲的傅里叶变换(幅度谱)')
plt.xlabel('角频率 (rad/s)')
plt.ylabel('|F(jω)|')
plt.grid(True)
plt.tight_layout()
plt.show()
图 5:奇异函数的傅里叶变换
import numpy as np
import matplotlib.pyplot as plt
plt.rcParams['font.sans-serif'] = ['SimHei']
plt.rcParams['axes.unicode_minus'] = False
# 定义矩形脉冲函数(偶函数)
def rect_pulse(t, tau):
"""矩形脉冲函数"""
return np.where(np.abs(t) < tau/2, 1, 0)
# 定义符号函数(奇函数)
def sign_function(t):
"""符号函数"""
return np.where(t > 0, 1, np.where(t < 0, -1, 0))
# 计算傅里叶变换
def fourier_transform(f, t):
"""数值计算傅里叶变换"""
N = len(t)
dt = t[1] - t[0]
w = np.fft.fftfreq(N, d=dt) * 2 * np.pi # 角频率
F = np.fft.fft(f) * dt # 傅里叶变换
return w, F
# 时间范围
t = np.linspace(-10, 10, 1000)
dt = t[1] - t[0]
# 矩形脉冲(偶函数)
tau = 2
rect = rect_pulse(t, tau)
w_rect, F_rect = fourier_transform(rect, t)
# 符号函数(奇函数)
sign = sign_function(t)
w_sign, F_sign = fourier_transform(sign, t)
# 绘制结果
plt.figure(figsize=(12, 10))
# 矩形脉冲及其傅里叶变换
plt.subplot(2, 2, 1)
plt.plot(t, rect, 'k-')
plt.title('矩形脉冲(偶函数)')
plt.xlabel('时间 (s)')
plt.ylabel('振幅')
plt.grid(True)
plt.subplot(2, 2, 2)
plt.plot(w_rect, np.real(F_rect), 'b-', label='实部')
plt.plot(w_rect, np.imag(F_rect), 'r--', label='虚部')
plt.title('矩形脉冲的傅里叶变换')
plt.xlabel('角频率 (rad/s)')
plt.ylabel('F(jω)')
plt.legend()
plt.grid(True)
# 符号函数及其傅里叶变换
plt.subplot(2, 2, 3)
plt.plot(t, sign, 'k-')
plt.title('符号函数(奇函数)')
plt.xlabel('时间 (s)')
plt.ylabel('振幅')
plt.grid(True)
plt.subplot(2, 2, 4)
plt.plot(w_sign, np.real(F_sign), 'b-', label='实部')
plt.plot(w_sign, np.imag(F_sign), 'r--', label='虚部')
plt.title('符号函数的傅里叶变换')
plt.xlabel('角频率 (rad/s)')
plt.ylabel('F(jω)')
plt.legend()
plt.grid(True)
plt.tight_layout()
plt.show()
图 6:信号奇偶性与傅里叶变换的关系


下面通过示例演示傅里叶变换的尺度变换和时移特性:
import numpy as np
import matplotlib.pyplot as plt
plt.rcParams['font.sans-serif'] = ['SimHei']
plt.rcParams['axes.unicode_minus'] = False
# 定义高斯函数
def gaussian(t, sigma):
"""高斯函数"""
return np.exp(-(t**2)/(2*sigma**2))
# 计算傅里叶变换
def fourier_transform(f, t):
"""数值计算傅里叶变换"""
N = len(t)
dt = t[1] - t[0]
w = np.fft.fftfreq(N, d=dt) * 2 * np.pi # 角频率
F = np.fft.fft(f) * dt # 傅里叶变换
return w, F
# 时间范围
t = np.linspace(-10, 10, 1000)
dt = t[1] - t[0]
# 高斯函数(σ=1)
sigma1 = 1
g1 = gaussian(t, sigma1)
w1, F1 = fourier_transform(g1, t)
# 尺度变换(σ=2,时域扩展)
sigma2 = 2
g2 = gaussian(t, sigma2)
w2, F2 = fourier_transform(g2, t)
# 时移特性(σ=1,t0=2)
t0 = 2
g_shift = gaussian(t-t0, sigma1)
w_shift, F_shift = fourier_transform(g_shift, t)
# 绘制结果
plt.figure(figsize=(12, 10))
# 尺度变换
plt.subplot(2, 2, 1)
plt.plot(t, g1, 'b-', label='σ=1')
plt.plot(t, g2, 'r-', label='σ=2')
plt.legend()
plt.title('高斯函数的尺度变换')
plt.xlabel('时间 (s)')
plt.ylabel('振幅')
plt.grid(True)
plt.subplot(2, 2, 2)
plt.plot(w1, np.abs(F1), 'b-', label='σ=1')
plt.plot(w2, np.abs(F2), 'r-', label='σ=2')
plt.legend()
plt.title('高斯函数傅里叶变换的尺度特性')
plt.xlabel('角频率 (rad/s)')
plt.ylabel('|F(jω)|')
plt.grid(True)
# 时移特性
plt.subplot(2, 2, 3)
plt.plot(t, g1, 'b-', label='原信号')
plt.plot(t, g_shift, 'r-', label=f'时移t0={t0}s')
plt.legend()
plt.title('高斯函数的时移')
plt.xlabel('时间 (s)')
plt.ylabel('振幅')
plt.grid(True)
plt.subplot(2, 2, 4)
plt.plot(w1, np.abs(F1), 'b-', label='原信号幅度谱')
plt.plot(w_shift, np.abs(F_shift), 'r-', label='时移信号幅度谱')
plt.legend()
plt.title('高斯函数时移后的幅度谱')
plt.xlabel('角频率 (rad/s)')
plt.ylabel('|F(jω)|')
plt.grid(True)
plt.tight_layout()
plt.show()
图 7:傅里叶变换的尺度变换和时移特性


下面是计算矩形脉冲信号能量谱的示例:
import numpy as np
import matplotlib.pyplot as plt
plt.rcParams['font.sans-serif'] = ['SimHei']
plt.rcParams['axes.unicode_minus'] = False
# 定义矩形脉冲函数
def rect_pulse(t, tau):
"""矩形脉冲函数"""
return np.where(np.abs(t) < tau/2, 1, 0)
# 计算傅里叶变换
def fourier_transform(f, t):
"""数值计算傅里叶变换"""
N = len(t)
dt = t[1] - t[0]
w = np.fft.fftfreq(N, d=dt) * 2 * np.pi # 角频率
F = np.fft.fft(f) * dt # 傅里叶变换
return w, F
# 时间范围
t = np.linspace(-10, 10, 1000)
dt = t[1] - t[0]
# 不同宽度的矩形脉冲
tau1 = 1
tau2 = 2
tau3 = 4
rect1 = rect_pulse(t, tau1)
rect2 = rect_pulse(t, tau2)
rect3 = rect_pulse(t, tau3)
# 计算傅里叶变换
w1, F1 = fourier_transform(rect1, t)
w2, F2 = fourier_transform(rect2, t)
w3, F3 = fourier_transform(rect3, t)
# 计算能量谱密度
ESD1 = np.abs(F1)**2
ESD2 = np.abs(F2)** 2
ESD3 = np.abs(F3)**2
# 计算信号总能量(时域和频域)
energy_time1 = np.sum(rect1**2) * dt
energy_freq1 = np.sum(ESD1) * (w1[1] - w1[0]) / (2*np.pi)
energy_time2 = np.sum(rect2**2) * dt
energy_freq2 = np.sum(ESD2) * (w2[1] - w2[0]) / (2*np.pi)
energy_time3 = np.sum(rect3**2) * dt
energy_freq3 = np.sum(ESD3) * (w3[1] - w3[0]) / (2*np.pi)
print(f"τ={tau1}s 时,时域能量 = {energy_time1:.6f}, 频域能量 = {energy_freq1:.6f}")
print(f"τ={tau2}s 时,时域能量 = {energy_time2:.6f}, 频域能量 = {energy_freq2:.6f}")
print(f"τ={tau3}s 时,时域能量 = {energy_time3:.6f}, 频域能量 = {energy_freq3:.6f}")
# 绘制能量谱
plt.figure(figsize=(10, 6))
plt.plot(w1, ESD1, 'b-', label=f'τ={tau1}s')
plt.plot(w2, ESD2, 'g-', label=f'τ={tau2}s')
plt.plot(w3, ESD3, 'r-', label=f'τ={tau3}s')
plt.title('矩形脉冲信号的能量谱密度(ESD)')
plt.xlabel('角频率 (rad/s)')
plt.ylabel('能量谱密度 |F(jω)|^2')
plt.legend()
plt.grid(True)
plt.tight_layout()
plt.show()
图 8:矩形脉冲信号的能量谱密度
正余弦信号的傅里叶变换包含冲激函数:

周期函数的傅里叶变换由一系列冲激函数组成,位于基波频率的整数倍位置,冲激强度与傅里叶系数相关:

周期函数的傅里叶系数与傅里叶变换的关系为:

下面是正弦信号傅里叶变换的示例:
import numpy as np
import matplotlib.pyplot as plt
plt.rcParams['font.sans-serif'] = ['SimHei']
plt.rcParams['axes.unicode_minus'] = False
# 定义正弦信号
def sine_signal(t, f0):
"""正弦信号"""
return np.sin(2 * np.pi * f0 * t)
# 计算傅里叶变换(使用FFT近似)
def fourier_transform(f, t):
"""数值计算傅里叶变换"""
N = len(t)
dt = t[1] - t[0]
f_fft = np.fft.fft(f)
f_fft_shifted = np.fft.fftshift(f_fft)
freq = np.fft.fftfreq(N, d=dt)
freq_shifted = np.fft.fftshift(freq)
return freq_shifted, f_fft_shifted * dt
# 时间范围
t = np.linspace(-5, 5, 10000)
dt = t[1] - t[0]
# 正弦信号(f0=1Hz)
f0 = 1
sine = sine_signal(t, f0)
# 计算傅里叶变换
freq, f_fft = fourier_transform(sine, t)
# 绘制结果
plt.figure(figsize=(12, 8))
plt.subplot(2, 1, 1)
plt.plot(t, sine, 'k-')
plt.title(f'正弦信号 sin(2π*{f0}t)')
plt.xlabel('时间 (s)')
plt.ylabel('振幅')
plt.grid(True)
plt.subplot(2, 1, 2)
plt.plot(freq, np.abs(f_fft), 'r-')
plt.title('正弦信号的傅里叶变换(幅度谱)')
plt.xlabel('频率 (Hz)')
plt.ylabel('|F(jω)|')
plt.grid(True)
# 标记理论上的冲激位置
plt.axvline(x=-f0, color='g', linestyle='--', label=f'理论冲激位置: ±{f0}Hz')
plt.axvline(x=f0, color='g', linestyle='--')
plt.legend()
plt.tight_layout()
plt.show()
图 9:正弦信号的傅里叶变换
LTI 系统的频率响应定义为系统对复指数信号的稳态响应:

通过频率响应分析 LTI 系统的步骤:
系统无失真传输的条件是:

理想低通滤波器的频率响应:

下面是理想低通滤波器对阶跃信号的响应示例:
import numpy as np
import matplotlib.pyplot as plt
plt.rcParams['font.sans-serif'] = ['SimHei']
plt.rcParams['axes.unicode_minus'] = False
# 定义阶跃信号
def step_signal(t):
"""单位阶跃信号"""
return np.where(t >= 0, 1, 0)
# 设计理想低通滤波器
def ideal_lowpass_filter(w, w_c):
"""理想低通滤波器频率响应"""
return np.where(np.abs(w) < w_c, 1, 0)
# 计算傅里叶变换
def fourier_transform(f, t):
"""数值计算傅里叶变换"""
N = len(t)
dt = t[1] - t[0]
w = np.fft.fftfreq(N, d=dt) * 2 * np.pi # 角频率
F = np.fft.fft(f) * dt # 傅里叶变换
return w, F
# 计算逆傅里叶变换
def inverse_fourier_transform(F, w):
"""数值计算逆傅里叶变换"""
N = len(F)
dw = w[1] - w[0]
f = np.fft.ifft(F) * N * dw / (2 * np.pi) # 逆傅里叶变换
return f
# 时间范围
t = np.linspace(-10, 10, 10000)
dt = t[1] - t[0]
# 阶跃信号
step = step_signal(t)
# 计算阶跃信号的傅里叶变换
w_step, F_step = fourier_transform(step, t)
# 设计不同截止频率的理想低通滤波器
w_c1 = 1 # 低截止频率
w_c2 = 10 # 高截止频率
H1 = ideal_lowpass_filter(w_step, w_c1)
H2 = ideal_lowpass_filter(w_step, w_c2)
# 计算滤波后的信号
F_filtered1 = F_step * H1
F_filtered2 = F_step * H2
# 逆傅里叶变换得到时域信号
y_filtered1 = inverse_fourier_transform(F_filtered1, w_step)
y_filtered2 = inverse_fourier_transform(F_filtered2, w_step)
# 绘制结果
plt.figure(figsize=(12, 10))
plt.subplot(3, 1, 1)
plt.plot(t, step, 'k-')
plt.title('单位阶跃信号')
plt.xlabel('时间 (s)')
plt.ylabel('振幅')
plt.grid(True)
plt.subplot(3, 1, 2)
plt.plot(w_step, np.abs(F_step), 'b-', label='阶跃信号频谱')
plt.plot(w_step, H1, 'r--', label=f'低通滤波器 (ωc={w_c1}rad/s)')
plt.plot(w_step, H2, 'g--', label=f'低通滤波器 (ωc={w_c2}rad/s)')
plt.title('阶跃信号频谱和滤波器频率响应')
plt.xlabel('角频率 (rad/s)')
plt.ylabel('幅度')
plt.legend()
plt.grid(True)
plt.subplot(3, 1, 3)
plt.plot(t, step, 'k--', label='原始阶跃信号')
plt.plot(t, np.real(y_filtered1), 'r-', label=f'滤波后(ωc={w_c1})')
plt.plot(t, np.real(y_filtered2), 'b-', label=f'滤波后(ωc={w_c2})')
plt.title('理想低通滤波器对阶跃信号的响应')
plt.xlabel('时间 (s)')
plt.ylabel('振幅')
plt.legend()
plt.grid(True)
plt.tight_layout()
plt.show()
图10:理想低通滤波器对阶跃信号的响应
信号取样是将连续时间信号转换为离散时间信号的过程,取样信号可表示为:


频域取样定理指出,为了能从频域取样点不失真地恢复原频谱,频域取样间隔必须满足:

下面是取样定理的验证示例:
import numpy as np
import matplotlib.pyplot as plt
plt.rcParams['font.sans-serif'] = ['SimHei']
plt.rcParams['axes.unicode_minus'] = False
# 定义带限信号(正弦波之和)
def bandlimited_signal(t, f1, f2):
"""带限信号: sin(2πf1t) + sin(2πf2t)"""
return np.sin(2 * np.pi * f1 * t) + np.sin(2 * np.pi * f2 * t)
# 信号取样
def sample_signal(f, f1, f2, t, fs):
"""对信号进行取样"""
Ts = 1 / fs # 取样周期
samples = f(t, f1, f2)
t_samples = t # 原始时间数组
# 计算取样索引
sample_indices = np.round(t / Ts).astype(int)
unique_indices, inverse = np.unique(sample_indices, return_inverse=True)
valid_indices = unique_indices[unique_indices < len(t)]
return t[valid_indices], samples[valid_indices]
# 从取样信号重建信号(零阶保持)
def reconstruct_zero_order(t, t_samples, samples, fs):
"""使用零阶保持法从取样信号重建"""
Ts = 1 / fs
reconstructed = np.zeros_like(t)
for i, ts in enumerate(t_samples):
idx = np.where((t >= ts) & (t < ts + Ts))
if idx[0].size > 0: # 确保有索引可赋值
reconstructed[idx] = samples[i]
return reconstructed
# 时间范围
t = np.linspace(0, 2, 1000)
dt = t[1] - t[0] # 时间间隔
# 带限信号参数
f1 = 1
f2 = 5 # 最高频率
# 不同的取样频率
fs_nyquist = 2 * f2 # 奈奎斯特频率(10Hz)
fs_undersample = f2 # 欠取样(5Hz)
fs_oversample = 10 * f2 # 过取样(50Hz)
# 取样
t_samples_nyquist, samples_nyquist = sample_signal(bandlimited_signal, f1, f2, t, fs_nyquist)
t_samples_undersample, samples_undersample = sample_signal(bandlimited_signal, f1, f2, t, fs_undersample)
t_samples_oversample, samples_oversample = sample_signal(bandlimited_signal, f1, f2, t, fs_oversample)
# 重建信号
reconstructed_nyquist = reconstruct_zero_order(t, t_samples_nyquist, samples_nyquist, fs_nyquist)
reconstructed_undersample = reconstruct_zero_order(t, t_samples_undersample, samples_undersample, fs_undersample)
reconstructed_oversample = reconstruct_zero_order(t, t_samples_oversample, samples_oversample, fs_oversample)
# 绘制结果
plt.figure(figsize=(12, 10))
plt.subplot(3, 1, 1)
plt.plot(t, bandlimited_signal(t, f1, f2), 'k-', label='原始带限信号')
# 修正plt.stem的参数,使用关键字参数
plt.stem(t_samples_nyquist, samples_nyquist, linefmt='r-', markerfmt='ro', basefmt='r-',
label=f'取样点 (fs={fs_nyquist}Hz)')
plt.plot(t, reconstructed_nyquist, 'b--', label='奈奎斯特频率重建')
plt.legend()
plt.title('奈奎斯特频率取样和重建')
plt.xlabel('时间 (s)')
plt.ylabel('振幅')
plt.grid(True)
plt.subplot(3, 1, 2)
plt.plot(t, bandlimited_signal(t, f1, f2), 'k-', label='原始带限信号')
plt.stem(t_samples_undersample, samples_undersample, linefmt='r-', markerfmt='ro', basefmt='r-',
label=f'取样点 (fs={fs_undersample}Hz)')
plt.plot(t, reconstructed_undersample, 'g--', label='欠取样重建')
plt.legend()
plt.title('欠取样(fs < 2fm)时的信号失真')
plt.xlabel('时间 (s)')
plt.ylabel('振幅')
plt.grid(True)
plt.subplot(3, 1, 3)
plt.plot(t, bandlimited_signal(t, f1, f2), 'k-', label='原始带限信号')
plt.stem(t_samples_oversample, samples_oversample, linefmt='r-', markerfmt='ro', basefmt='r-',
label=f'取样点 (fs={fs_oversample}Hz)')
plt.plot(t, reconstructed_oversample, 'm--', label='过取样重建')
plt.legend()
plt.title('过取样(fs > 2fm)时的信号重建')
plt.xlabel('时间 (s)')
plt.ylabel('振幅')
plt.grid(True)
plt.tight_layout()
plt.show()
图11:取样定理的验证


下面是周期序列的DFS示例:
import numpy as np
import matplotlib.pyplot as plt
plt.rcParams['font.sans-serif'] = ['SimHei']
plt.rcParams['axes.unicode_minus'] = False
# 定义周期矩形序列
def periodic_rect_sequence(n, N, M):
"""
周期矩形序列
n: 时间索引
N: 周期
M: 矩形脉冲宽度(M < N)
"""
return np.where(np.mod(n, N) < M, 1, 0)
# 计算离散傅里叶级数(DFS)
def dfs(x, N):
"""计算离散傅里叶级数"""
n = np.arange(N)
k = np.arange(N)
X = np.zeros(N, dtype=complex)
for i in range(N):
X[i] = np.sum(x * np.exp(-1j * 2 * np.pi * k[i] * n / N))
return X
# 从DFS系数重建序列
def idfs(X, N):
"""计算逆离散傅里叶级数"""
n = np.arange(N)
k = np.arange(N)
x = np.zeros(N, dtype=complex)
for i in range(N):
x[i] = (1 / N) * np.sum(X * np.exp(1j * 2 * np.pi * k[i] * n / N))
return x
# 序列长度和周期
N = 16 # 周期
M = 4 # 矩形脉冲宽度
n = np.arange(3 * N) # 绘制3个周期
# 生成周期矩形序列
x = periodic_rect_sequence(n, N, M)
# 计算DFS
X = dfs(x[:N], N)
# 从DFS重建序列
x_reconstructed = idfs(X, N)
# 绘制结果
plt.figure(figsize=(12, 8))
plt.subplot(2, 1, 1)
# 修改后的stem函数调用
plt.stem(n, x, linefmt='b-', markerfmt='bo', basefmt='b-')
plt.title(f'周期矩形序列 (N={N}, M={M})')
plt.xlabel('时间索引 n')
plt.ylabel('x(n)')
plt.grid(True)
plt.subplot(2, 1, 2)
# 修改后的stem函数调用
plt.stem(np.arange(N), np.abs(X), linefmt='r-', markerfmt='ro', basefmt='r-')
plt.title('离散傅里叶级数(DFS)幅度谱')
plt.xlabel('频率索引 k')
plt.ylabel('|X(k)|')
plt.grid(True)
plt.tight_layout()
plt.show()
图12:周期序列的离散傅里叶级数
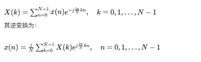
长度为N的有限长序列的DFT定义为:

DFT具有许多重要性质,包括:
下面是使用FFT计算信号频谱的示例:
import numpy as np
import matplotlib.pyplot as plt
plt.rcParams['font.sans-serif'] = ['SimHei']
plt.rcParams['axes.unicode_minus'] = False
# 生成测试信号(正弦波+噪声)
def generate_test_signal(t, f1, f2, snr=20):
"""生成测试信号: 两个正弦波+噪声"""
signal = np.sin(2 * np.pi * f1 * t) + 0.5 * np.sin(2 * np.pi * f2 * t)
# 计算信号功率
signal_power = np.mean(signal ** 2)
# 计算噪声功率以达到指定SNR
noise_power = signal_power / (10 ** (snr / 10))
# 生成噪声
noise = np.random.normal(0, np.sqrt(noise_power), len(t))
# 带噪信号
noisy_signal = signal + noise
return noisy_signal, signal, noise
# 使用FFT计算频谱
def calculate_spectrum(x, fs):
"""使用FFT计算信号频谱"""
N = len(x)
X = np.fft.fft(x)
X_mag = np.abs(X) / N # 幅度谱
freq = np.fft.fftfreq(N, d=1 / fs) # 频率轴
return freq, X_mag
# 时间参数
fs = 1000 # 取样频率(Hz)
t = np.linspace(0, 1, fs) # 1秒信号
# 信号频率
f1 = 50
f2 = 150
# 生成测试信号
noisy_signal, clean_signal, noise = generate_test_signal(t, f1, f2, snr=15)
# 计算频谱
freq_noisy, X_mag_noisy = calculate_spectrum(noisy_signal, fs)
freq_clean, X_mag_clean = calculate_spectrum(clean_signal, fs)
# 只考虑正频率部分
pos_freq_noisy = freq_noisy[freq_noisy >= 0]
X_mag_noisy_pos = X_mag_noisy[freq_noisy >= 0]
pos_freq_clean = freq_clean[freq_clean >= 0]
X_mag_clean_pos = X_mag_clean[freq_clean >= 0]
# 绘制结果
plt.figure(figsize=(12, 10))
plt.subplot(2, 1, 1)
plt.plot(t, clean_signal, 'b-', label='干净信号')
plt.plot(t, noisy_signal, 'r--', label='带噪信号')
plt.legend()
plt.title('测试信号(干净信号和带噪信号)')
plt.xlabel('时间 (s)')
plt.ylabel('振幅')
plt.grid(True)
plt.subplot(2, 1, 2)
plt.plot(pos_freq_clean, X_mag_clean_pos, 'b-', label='干净信号频谱')
plt.plot(pos_freq_noisy, X_mag_noisy_pos, 'r--', label='带噪信号频谱')
plt.axvline(x=f1, color='g', linestyle='--', label=f'信号频率: {f1}Hz')
plt.axvline(x=f2, color='g', linestyle='--', label=f'信号频率: {f2}Hz')
plt.legend()
plt.title('使用FFT计算的信号频谱')
plt.xlabel('频率 (Hz)')
plt.ylabel('幅度')
plt.grid(True)
plt.tight_layout()
plt.show()
图13:使用FFT计算信号频谱

图14:第四章思维导图
以上就是《信号与系统》第四章"傅里叶变换和系统的频域分析"的全部内容。通过理论讲解和Python代码示例,希望能帮助读者深入理解傅里叶变换及其在系统频域分析中的应用。每个知识点都配有完整的代码和详细的注释,读者可以直接运行代码进行实践,加深对理论的理解。