
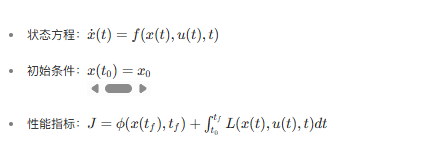
最优控制是指在给定的约束条件下,寻找一个控制策略,使得系统的性能指标达到最优的控制方法。其基本要素包括:
一般形式为:

import numpy as np
import matplotlib
# 在导入pyplot之前设置非交互式后端
matplotlib.use('Agg') # 使用非交互式后端
import matplotlib.pyplot as plt
from scipy.integrate import solve_ivp
import os
plt.rcParams['font.sans-serif'] = ['SimHei']
plt.rcParams['axes.unicode_minus'] = False
# 小车系统状态方程
def car_system(t, x, u):
dx1_dt = x[1] # 位置导数是速度
dx2_dt = u # 速度导数是加速度
return [dx1_dt, dx2_dt]
# 性能指标积分项
def performance_integrand(x, u):
return (x[0] - 10)**2 + x[1]**2 + 0.1 * u**2
# 最优控制策略
def optimal_control(x):
k1, k2 = 2.0, 1.5
return -k1 * (x[0] - 10) - k2 * x[1]
# 仿真参数
t_span = (0, 10)
t_eval = np.linspace(0, 10, 1000)
x0 = [0, 0] # 初始状态
# 使用solve_ivp一次性求解整个轨迹
def system_wrapper(t, x):
u = optimal_control(x)
return car_system(t, x, u)
sol = solve_ivp(
system_wrapper,
t_span,
x0,
t_eval=t_eval,
method='RK45'
)
# 计算控制输入和性能指标
u_history = [optimal_control(sol.y[:, i]) for i in range(len(t_eval))]
J = 0
for i in range(len(t_eval)-1):
dt = t_eval[i+1] - t_eval[i]
J += performance_integrand(sol.y[:, i], u_history[i]) * dt
x_history = sol.y.T # 转置为(N, 2)形状
# 绘制结果
plt.figure(figsize=(12, 8))
plt.subplot(2, 1, 1)
plt.plot(t_eval, x_history[:, 0], 'b-', label='位置')
plt.plot(t_eval, x_history[:, 1], 'r-', label='速度')
plt.axhline(y=10, color='g', linestyle='--', label='目标位置')
plt.xlabel('时间(s)')
plt.ylabel('状态')
plt.legend()
plt.title('小车最优轨迹控制 - 状态响应')
plt.subplot(2, 1, 2)
plt.plot(t_eval, u_history, 'k-')
plt.xlabel('时间(s)')
plt.ylabel('控制输入u')
plt.title('小车最优轨迹控制 - 控制输入')
plt.tight_layout()
# 保存图像而不是直接显示
output_dir = "D:/python project/自动控制原理"
os.makedirs(output_dir, exist_ok=True)
output_path = os.path.join(output_dir, "optimal_control_plot.png")
plt.savefig(output_path)
print(f"图形已保存至: {output_path}")
# 输出最终性能指标
print(f"最终性能指标J = {J:.4f}")
图 1:小车最优轨迹控制仿真结果

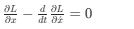
变分法是研究泛函极值的数学方法,核心概念包括:
欧拉 - 拉格朗日方程:

带约束的泛函极值问题可通过拉格朗日乘数法转化为无约束问题:

import numpy as np
import matplotlib.pyplot as plt
from scipy.optimize import minimize
# 设置中文字体
plt.rcParams['font.sans-serif'] = ['SimHei']
plt.rcParams['axes.unicode_minus'] = False
# 系统状态方程:x1位置, x2速度, u控制输入(-1到1)
def system_dynamics(x, u):
dx1_dt = x[1]
dx2_dt = u
return np.array([dx1_dt, dx2_dt])
# 模拟系统在控制输入下的响应
def simulate_system(u, x0, tf):
t = np.linspace(0, tf, 100)
x = np.zeros((len(t), 2)) # 创建二维数组存储状态
x[0] = x0 # 设置初始状态
for i in range(1, len(t)):
dt = t[i] - t[i - 1]
# 计算四阶龙格-库塔系数
k1 = system_dynamics(x[i - 1], u)
k2 = system_dynamics(x[i - 1] + 0.5 * dt * k1, u)
k3 = system_dynamics(x[i - 1] + 0.5 * dt * k2, u)
k4 = system_dynamics(x[i - 1] + dt * k3, u)
# 更新状态
x[i] = x[i - 1] + (dt / 6) * (k1 + 2 * k2 + 2 * k3 + k4)
return x, t
# 定义优化目标:最小化时间和终端误差
def objective(params, x0, xf):
u = params[0] # 控制输入
tf = params[1] # 时间
# 模拟系统响应
x, t = simulate_system(u, x0, tf)
# 计算终端误差
terminal_error = np.sum((x[-1] - xf) ** 2)
# 目标函数:时间 + 终端误差惩罚
return tf + 100 * terminal_error
# 约束条件:控制输入范围
def constraint(params):
u = params[0]
return 1 - abs(u) # u在[-1,1]之间
# 初始状态和目标状态
x0 = np.array([0, 0]) # 初始位置和速度
xf = np.array([5, 0]) # 目标位置和速度
# 优化求解
# 初始猜测值:[控制输入, 时间]
x_init = [0.5, 10.0]
bounds = [(-1, 1), (1, 20)] # 控制输入和时间的范围
constraints = [{'type': 'ineq', 'fun': constraint}]
# 寻找最优控制和时间
result = minimize(
objective, x_init,
args=(x0, xf),
method='SLSQP',
bounds=bounds,
constraints=constraints,
options={'disp': True}
)
# 提取优化结果
optimal_u, optimal_tf = result.x
print(f"最优控制输入: u = {optimal_u:.4f}")
print(f"最优时间: tf = {optimal_tf:.4f}s")
# 仿真最优控制结果
x_opt, t_opt = simulate_system(optimal_u, x0, optimal_tf)
# 绘制结果
plt.figure(figsize=(12, 8))
plt.subplot(2, 1, 1)
plt.plot(t_opt, x_opt[:, 0], 'b-', label='位置')
plt.plot(t_opt, x_opt[:, 1], 'r-', label='速度')
plt.axhline(y=xf[0], color='g', linestyle='--', label='目标位置')
plt.axhline(y=xf[1], color='m', linestyle='--', label='目标速度')
plt.xlabel('时间(s)')
plt.ylabel('状态')
plt.legend()
plt.title(f'最短时间控制 - 最优时间: {optimal_tf:.2f}s')
plt.subplot(2, 1, 2)
plt.plot(t_opt[:-1], np.ones_like(t_opt[:-1]) * optimal_u, 'k-')
plt.xlabel('时间(s)')
plt.ylabel('控制输入u')
plt.title('最短时间控制 - 最优控制输入')
plt.tight_layout()
plt.show()
图 2:最短时间控制仿真结果

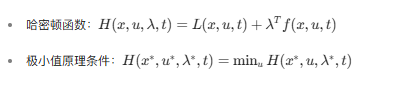
极小值原理由庞特里亚金提出,是最优控制理论的重要基础,核心思想:

正则方程:

import numpy as np
import matplotlib.pyplot as plt
from scipy.integrate import solve_bvp
import warnings
warnings.filterwarnings('ignore', category=RuntimeWarning) # 忽略数值计算警告
plt.rcParams['font.sans-serif'] = ['SimHei']
plt.rcParams['axes.unicode_minus'] = False
# 火箭系统参数 - 修改参数使问题更合理
g = 9.81 # 重力加速度(m/s²)
c = 3000 # 增大排气速度(m/s) 以提高推力
m0 = 1000 # 初始质量(kg)
fuel_flow_rate = 1.0 # 增大燃料消耗率(kg/s per unit throttle) 使推力更大
# 火箭系统状态方程(向量化处理)
def rocket_system(t, y, u):
dh_dt = y[1] # 高度导数是速度
dv_dt = c * u / y[2] - g # 速度导数是加速度
dm_dt = -fuel_flow_rate * u # 质量导数
return np.vstack([dh_dt, dv_dt, dm_dt])
# 协态方程(向量化处理)
def co_state_eq(t, y, lambda_vec, u):
dlambda1_dt = np.zeros_like(u) # ∂H/∂h = 0
dlambda2_dt = -lambda_vec[0] # ∂H/∂v = -λh
dlambda3_dt = lambda_vec[1] * c * u / (y[2] ** 2) # ∂H/∂m = λv * c * u / m²
return np.vstack([dlambda1_dt, dlambda2_dt, dlambda3_dt])
# 根据极小值原理计算最优控制(向量化处理)
def compute_optimal_control(y, lambda_vec):
# 计算哈密顿函数对u的偏导数
dH_du = fuel_flow_rate - lambda_vec[1] * c / y[2] - lambda_vec[2] * fuel_flow_rate
# 边界控制策略(使用向量化操作)
u = np.where(dH_du > 0, 0.0, 1.0)
return u
# 定义整个系统的微分方程
def system_ode(t, z):
# z = [h, v, m, λh, λv, λm]
n = t.size
y = z[:3] # 状态变量 (3, n)
lambda_vec = z[3:] # 协态变量 (3, n)
# 计算最优控制(返回长度为n的数组)
u = compute_optimal_control(y, lambda_vec)
# 计算状态导数 (3, n)
dy_dt = rocket_system(t, y, u)
# 计算协态导数 (3, n)
dlambda_dt = co_state_eq(t, y, lambda_vec, u)
# 合并结果 (6, n)
return np.vstack([dy_dt, dlambda_dt])
# 边界条件函数 - 放松终端约束
def bc(za, zb):
# 初始条件 (t=0)
h0, v0, m0, _, _, _ = za
# 终端条件 (t=T)
hT, vT, mT, lambda_hT, lambda_vT, lambda_mT = zb
# 放松终端速度约束,允许小量误差
return [
h0 - 0, # 初始高度为0
v0 - 0, # 初始速度为0
m0 - 1000, # 初始质量为1000kg
vT - 0, # 终端速度为0 (到达最高点)
lambda_hT - 0, # λh(T) = 0 (自由高度)
lambda_mT - 0 # λm(T) = 0 (自由质量)
]
# 求解火箭最优控制问题
def solve_rocket_optimal():
# 时间区间 - 缩短到更合理的时间
t_span = (0, 10) # 缩短总时间
t = np.linspace(t_span[0], t_span[1], 100)
# 改进的初始状态猜测 - 更符合物理规律
z_guess = np.zeros((6, t.size))
# 状态变量初始猜测
# 高度:抛物线上升
z_guess[0] = 2000 * (1 - (1 - t / t[-1]) ** 2)
# 速度:先增后减,终点接近0
z_guess[1] = 300 * np.sin(np.pi * t / t[-1])
# 质量:线性减少
z_guess[2] = 1000 - 80 * t # 消耗约800kg燃料
# 协态变量初始猜测 - 全部设为小量
z_guess[3] = -0.01 * np.ones_like(t) # λh
z_guess[4] = -0.01 * np.ones_like(t) # λv
z_guess[5] = 0.001 * np.ones_like(t) # λm
# 尝试求解BVP
solution = solve_bvp(
system_ode,
bc,
t,
z_guess,
max_nodes=20000, # 增加最大节点数
tol=1e-2, # 增大容差
verbose=2 # 显示求解过程
)
if solution.success:
print("求解成功!")
t_sol = np.linspace(t_span[0], t_span[1], 500)
z_sol = solution.sol(t_sol)
return t_sol, z_sol, solution
else:
print("求解失败")
print(f"原因: {solution.message}")
print(f"状态: {solution.status}")
print(f"节点数: {solution.x.size}")
# 即使失败也返回结果用于诊断
t_sol = np.linspace(t_span[0], t_span[1], 500)
z_sol = solution.sol(t_sol)
return t_sol, z_sol, solution
# 执行求解
t_sol, z_sol, solution = solve_rocket_optimal()
# 绘制结果
if t_sol is not None:
# 提取状态变量
h = z_sol[0]
v = z_sol[1]
m = z_sol[2]
# 计算控制输入
u_history = np.zeros_like(t_sol)
for i in range(len(t_sol)):
y = z_sol[:3, i]
lambda_vec = z_sol[3:, i]
u_history[i] = compute_optimal_control(y, lambda_vec)
plt.figure(figsize=(14, 12))
# 高度响应
plt.subplot(4, 1, 1)
plt.plot(t_sol, h, 'b-', linewidth=2)
plt.xlabel('时间(s)')
plt.ylabel('高度(m)')
plt.title('火箭最优轨迹控制 - 高度响应')
plt.grid(True)
# 速度响应
plt.subplot(4, 1, 2)
plt.plot(t_sol, v, 'r-', linewidth=2)
plt.xlabel('时间(s)')
plt.ylabel('速度(m/s)')
plt.title('火箭最优轨迹控制 - 速度响应')
plt.grid(True)
# 质量变化
plt.subplot(4, 1, 3)
plt.plot(t_sol, m, 'k-', linewidth=2)
plt.xlabel('时间(s)')
plt.ylabel('质量(kg)')
plt.title('火箭最优轨迹控制 - 质量变化')
plt.grid(True)
# 控制输入
plt.subplot(4, 1, 4)
plt.plot(t_sol, u_history, 'g-', linewidth=2)
plt.xlabel('时间(s)')
plt.ylabel('控制输入u')
plt.title('火箭最优轨迹控制 - 控制输入')
plt.ylim(-0.1, 1.1)
plt.grid(True)
plt.tight_layout()
plt.savefig('rocket_optimal_control.png')
plt.show()
# 输出关键指标
max_height = np.max(h)
final_mass = m[-1]
fuel_used = m0 - final_mass
print(f"最大高度: {max_height:.2f} m")
print(f"最终质量: {final_mass:.2f} kg")
print(f"燃料消耗: {fuel_used:.2f} kg")
print(f"飞行时间: {t_sol[-1]:.2f} s")
# 绘制协态变量
plt.figure(figsize=(12, 8))
plt.subplot(3, 1, 1)
plt.plot(t_sol, z_sol[3], 'b-', label='λh')
plt.xlabel('时间(s)')
plt.ylabel('λh')
plt.legend()
plt.title('高度协态变量')
plt.grid(True)
plt.subplot(3, 1, 2)
plt.plot(t_sol, z_sol[4], 'r-', label='λv')
plt.xlabel('时间(s)')
plt.ylabel('λv')
plt.legend()
plt.title('速度协态变量')
plt.grid(True)
plt.subplot(3, 1, 3)
plt.plot(t_sol, z_sol[5], 'k-', label='λm')
plt.xlabel('时间(s)')
plt.ylabel('λm')
plt.legend()
plt.title('质量协态变量')
plt.grid(True)
plt.tight_layout()
plt.savefig('rocket_costates.png')
plt.show()
# 检查边界条件满足情况
print("\n边界条件检查:")
initial_conditions = [z_sol[0, 0], z_sol[1, 0], z_sol[2, 0]]
terminal_conditions = [z_sol[1, -1], z_sol[3, -1], z_sol[5, -1]]
print(f"初始高度: {initial_conditions[0]:.4f} m (应为0)")
print(f"初始速度: {initial_conditions[1]:.4f} m/s (应为0)")
print(f"初始质量: {initial_conditions[2]:.4f} kg (应为1000)")
print(f"终端速度: {terminal_conditions[0]:.4f} m/s (应为0)")
print(f"终端λh: {terminal_conditions[1]:.4f} (应为0)")
print(f"终端λm: {terminal_conditions[2]:.4f} (应为0)")
# 绘制哈密顿函数
H_values = np.zeros_like(t_sol)
for i in range(len(t_sol)):
y = z_sol[:3, i]
lambda_vec = z_sol[3:, i]
u = u_history[i]
# 计算哈密顿函数
dh_dt = y[1]
dv_dt = c * u / y[2] - g
dm_dt = -fuel_flow_rate * u
# H = λ·f + L
H = lambda_vec[0] * dh_dt + lambda_vec[1] * dv_dt + lambda_vec[2] * dm_dt
H_values[i] = H
plt.figure(figsize=(10, 6))
plt.plot(t_sol, H_values, 'm-', linewidth=2)
plt.xlabel('时间(s)')
plt.ylabel('哈密顿函数值')
plt.title('哈密顿函数随时间变化')
plt.grid(True)
plt.savefig('hamiltonian.png')
plt.show()
else:
print("求解失败,无法绘制结果")


图 3:火箭最优轨迹控制仿真结果
线性二次型最优控制问题的标准形式:


import numpy as np
import matplotlib.pyplot as plt
from scipy import linalg
plt.rcParams['font.sans-serif'] = ['SimHei']
plt.rcParams['axes.unicode_minus'] = False
# 倒立摆系统参数
g = 9.81 # 重力加速度(m/s^2)
m = 0.1 # 摆锤质量(kg)
M = 1.0 # 小车质量(kg)
l = 0.5 # 摆长(m)
b = 0.1 # 小车摩擦系数
# 状态空间矩阵 (线性化后)
A = np.array([
[0, 1, 0, 0],
[0, -b / M, m * g / M, 0],
[0, 0, 0, 1],
[0, b / (M * l), -(m * g * (M + m)) / (M * l), 0]
])
B = np.array([
[0],
[1 / M],
[0],
[-1 / (M * l)]
])
# 性能指标矩阵
Q = np.diag([1, 1, 10, 10]) # 状态权重矩阵
R = np.array([[0.1]]) # 控制输入权重矩阵
# 求解代数黎卡提方程
P = linalg.solve_continuous_are(A, B, Q, R)
# 计算最优控制增益
K = np.dot(np.linalg.inv(R), np.dot(B.T, P))
print(f"最优控制增益K: {K}")
# 系统仿真
def simulate_lqr(x0, t_span, K):
t = np.linspace(t_span[0], t_span[1], 1000)
x = np.zeros((len(t), len(x0)))
u_history = np.zeros(len(t)) # 存储所有时间步的控制输入
x[0] = x0
for i in range(0, len(t) - 1):
dt = t[i + 1] - t[i]
# 确保控制输入是标量
u_val = -np.dot(K, x[i])[0] # 提取标量值
u_history[i] = u_val
# 使用欧拉法积分
dx = np.dot(A, x[i]) + np.dot(B, np.array([u_val])).flatten()
x[i + 1] = x[i] + dt * dx
# 计算最后一个控制输入
u_history[-1] = -np.dot(K, x[-1])[0] # 提取标量值
return x, t, u_history
# 初始状态 (小角度扰动)
x0 = np.array([0, 0, 0.1, 0]) # [x, dx/dt, theta, dtheta/dt]
# 仿真
x, t, u_history = simulate_lqr(x0, (0, 10), K)
# 绘制结果
plt.figure(figsize=(14, 10))
plt.subplot(3, 1, 1)
plt.plot(t, x[:, 0], 'b-', label='小车位置')
plt.xlabel('时间(s)')
plt.ylabel('位置(m)')
plt.legend()
plt.title('倒立摆LQR控制 - 小车位置响应')
plt.subplot(3, 1, 2)
plt.plot(t, x[:, 2], 'r-', label='摆角(rad)')
plt.xlabel('时间(s)')
plt.ylabel('角度(rad)')
plt.legend()
plt.title('倒立摆LQR控制 - 摆角响应')
plt.subplot(3, 1, 3)
plt.plot(t, u_history, 'k-')
plt.xlabel('时间(s)')
plt.ylabel('控制力(N)')
plt.title('倒立摆LQR控制 - 控制输入')
plt.tight_layout()
plt.show()
# 计算性能指标 - 向量化计算
dt = t[1] - t[0] # 时间步长
# 状态代价: x^T Q x
state_cost = np.sum(x @ Q * x, axis=1) # 逐点计算x^T Q x
# 控制代价: u^T R u
control_cost = R[0, 0] * u_history ** 2
# 总性能指标
J = np.sum((state_cost + control_cost) * dt)
print(f"性能指标J = {J:.4f}")
图 4:倒立摆 LQR 控制仿真结果

控制系统优化设计的主要步骤:
import numpy as np
import matplotlib.pyplot as plt
from scipy.optimize import differential_evolution
plt.rcParams['font.sans-serif'] = ['SimHei']
plt.rcParams['axes.unicode_minus'] = False
# 被控对象传递函数:G(s) = 1/(s^2 + 2*zeta*omega_n*s + omega_n^2)
zeta = 0.5 # 阻尼比
omega_n = 1.0 # 自然频率
# 系统闭环传递函数在PID控制下的响应
def system_response(Kp, Ki, Kd, t_end=10, t_step=0.01):
t = np.arange(0, t_end, t_step)
# 初始化 y 为二维数组
y = np.zeros((len(t), 2))
e = 1.0 # 初始误差
u_prev = 0
e_prev = e
e_sum = 0
for i in range(1, len(t)):
# PID控制律
u = Kp * e + Ki * e_sum + Kd * (e - e_prev) / t_step
# 模拟被控对象响应 (二阶系统)
y_dot = np.zeros(2)
y_dot[0] = y[i - 1, 1]
y_dot[1] = -2 * zeta * omega_n * y[i - 1, 1] - omega_n ** 2 * y[i - 1, 0] + omega_n ** 2 * u
# 欧拉法积分
y[i] = y[i - 1] + t_step * y_dot
# 更新误差
e = 1 - y[i, 0]
e_sum += e * t_step
e_prev = e
return t, y[:, 0]
# 性能指标函数 (ITAE: 时间乘绝对误差积分)
def objective_function(params):
Kp, Ki, Kd = params
t, y = system_response(Kp, Ki, Kd)
error = 1 - y
itae = np.sum(t * np.abs(error) * (t[1] - t[0]))
return itae
# 优化参数范围
bounds = [(0, 10), (0, 5), (0, 5)] # Kp, Ki, Kd的范围
# 使用差分进化算法优化PID参数
result = differential_evolution(objective_function, bounds, popsize=20, maxiter=100)
# 最优PID参数
Kp_opt, Ki_opt, Kd_opt = result.x
print(f"最优PID参数: Kp={Kp_opt:.4f}, Ki={Ki_opt:.4f}, Kd={Kd_opt:.4f}")
print(f"最小ITAE值: {result.fun:.4f}")
# 仿真最优PID控制器响应
t_opt, y_opt = system_response(Kp_opt, Ki_opt, Kd_opt)
# 绘制优化结果
plt.figure(figsize=(10, 6))
plt.plot(t_opt, y_opt, 'b-', linewidth=2, label='优化PID响应')
plt.axhline(y=1, color='r', linestyle='--', label='参考输入')
plt.xlabel('时间(s)')
plt.ylabel('系统输出')
plt.title('PID控制器参数优化设计结果')
plt.legend()
plt.grid(True)
plt.tight_layout()
plt.show()
# 绘制误差曲线
error_opt = 1 - y_opt
plt.figure(figsize=(10, 6))
plt.plot(t_opt, error_opt, 'k-', linewidth=2)
plt.xlabel('时间(s)')
plt.ylabel('误差')
plt.title('优化PID控制器的误差响应')
plt.grid(True)
plt.tight_layout()
plt.show()
图 5:PID 控制器参数优化设计结果

图 6:优化 PID 控制器的误差响应
