
该项目算是非常经典的金融业务用户画像的基础分析了,主要根据用户信用卡使用行为数据进行分析,根据收集到的不同字段信息,对每个用户划分类别。这里需要说明一下的是,聚类模型只是将具有相似行为的大部分用户聚集到一个类别里面,这点并不会考虑到每个字段的含义,也就是分成的类别并不是用户价值等级,此类别仅仅是这个类别大体相同的信用卡用户行为对象,并不能给每个用户价值打上标签,那是评价模型做的事,这里要注意不要搞混淆了,用户价值评价是评价模型决定的,而画像是聚类模型分析的。
数据分析主要是根据用户行为以及不同的业务情况去分析,而用户画像的需求是我们首先需要了解的建模场景。什么是用户画像?为什么要建立用户画像,怎么去建立?这需要我们先了解这一点,才好方便建模。
用户画像是指根据用户的属性、用户偏好、生活习惯、用户行为等信息而抽象出来的标签化用户模型。通俗说就是给用户打标签,而标签是通过对用户信息分析而来的高度精炼的特征标识。通过打标签可以利用一些高度概括、容易理解的特征来描述用户,可以让人更容易理解用户,并且可以方便计算机处理。简单来说就是:利用已经获得的数据,勾勒出用户需求、用户偏好的一种运营工具和数据分析方法。

根据用户画像的作用可以看出,用户画像的使用场景较多,用户画像可以用来挖掘用户兴趣、偏好、人口统计学特征,主要目的是提升营销精准度、推荐匹配度,终极目的是提升产品服务,起到提升企业利润。用户画像适合于各个产品周期:从新用户的引流到潜在用户的挖掘、从老用户的培养到流失用户的回流等。

聚类算法是一种常用的无监督学习算法,可以将具有相似特征的数据点归为一类。在用户画像中,聚类算法可以将相似的用户归为一组,从而为营销策略、产品设计和推荐系统等提供有价值的信息。
以下是使用聚类算法作用户画像的一些好处:

在了解了上述用户画像的作用之后,我们需要对我们拿到的数据进行分析,这里我采用的是kaggle信用卡用户行为数据。
信用卡营销就是指通过激发和挖掘人们对信用卡商品的需求,设计和开发出满足持卡人需求的信用卡商品,并且通过各种有效的沟通手段使持卡人接受并使用这种商品,从中获得自身最大的满足,以实现经营者的目标。 对于不同的客户群体,需要采用不同的营销手段,因此需要对客户进行分组聚类。
该文件位于具有18个行为变量的客户级别。
为了更加直观的去作用户画像,这里我仅选择偏业务的正向数据进行建模,当然聚类并不是挖掘客户的消费潜力价值,我这里选择正向特征仅是为了更直观的进行画像描述,除去偏业务方向的知识,仅对画像建立过程优化。
根据特征字段,我们需要选定建模需要的字段信息,若为正向指标则越大越好:
1.BALANCE:帐户中剩余的余额可用于购买,那么该数值越大,用户购买能力越大,正向指标 1
2.BALANCE_FREQUENCY:更新余额的频率 正向指标 1
3.PURCHASES:通过帐户购买的金额 正向指标 1
4.ONEOFF_PURCHASES:一次性购买的最大金额 正向指标 1
5.INSTALLMENTS_PURCHASES:分期购买的金额 正向指标 1
6.CASH_ADVANCE:用户预先提供的现金 正向指标 1
7.PURCHASES_FREQUENCY:进行购买的频率,得分在0到1之间(1 =频繁购买,0 =不频繁购买)正向指标 1
8.ONEOFFPURCHASESFREQUENCY 一次购买的频率(1 =频繁购买,0 =不频繁购买)正向指标 1
9.PURCHASESINSTALLMENTSFREQUENCY:分期购买的频率(1 =频繁执行,0 =不频繁执行)中向指标 与上一个指标互斥
10.CASHADVANCEFREQUENCY:多长时间支付一次预付款 负向指标0
11.CASHADVANCETRX:使用“高级现金”进行的交易数量 正向指标 1
12.PURCHASES_TRX:进行的购买交易数 正向指标 1
13.CREDIT_LIMIT:用户的信用卡限额 正向指标 1
14.PAYMENTS:用户完成的付款金额 正向指标 1
15.MINIMUM_PAYMENTS:用户的最低付款金额 中性指标
16.PRCFULLPAYMENT:用户支付的全额付款的百分比 正向指标1
数据差异很大,我们尽可能拿出所有可用到的正向指标聚类,那么高纬度的用户群体就是重要价值用户。
df_data.isnull().sum()
CUST_ID 0 BALANCE 0 BALANCE_FREQUENCY 0 PURCHASES 0 ONEOFF_PURCHASES 0 INSTALLMENTS_PURCHASES 0 CASH_ADVANCE 0 PURCHASES_FREQUENCY 0 ONEOFF_PURCHASES_FREQUENCY 0 PURCHASES_INSTALLMENTS_FREQUENCY 0 CASH_ADVANCE_FREQUENCY 0 CASH_ADVANCE_TRX 0 PURCHASES_TRX 0 CREDIT_LIMIT 1 PAYMENTS 0 MINIMUM_PAYMENTS 313 PRC_FULL_PAYMENT 0 TENURE 0 dtype: int64
这些数据基本全为定量数据,可以直接使用机器学习算法对空缺值进行填充,这里使用随机森林填补:
# 随机森林填补缺失值
from sklearn.ensemble import RandomForestRegressor
RF = RandomForestRegressor()
paymentsNotNull = df_data.MINIMUM_PAYMENTS.notnull()
columns = ['BALANCE','BALANCE_FREQUENCY','PURCHASES','ONEOFF_PURCHASES','INSTALLMENTS_PURCHASES','CASH_ADVANCE','PURCHASES_FREQUENCY','ONEOFF_PURCHASES_FREQUENCY','PURCHASES_INSTALLMENTS_FREQUENCY','CASH_ADVANCE_FREQUENCY','CASH_ADVANCE_TRX','PURCHASES_TRX','PAYMENTS']
RF.fit(df_data.loc[paymentsNotNull,columns],df_data.MINIMUM_PAYMENTS[paymentsNotNull])
print(RF.score(df_data.loc[paymentsNotNull,columns],df_data.MINIMUM_PAYMENTS[paymentsNotNull]))分数还是不错的 ,可以达到90.8%:
# 填充
for data in [df_data]:
pred = RF.predict(data.loc[:,columns])
IsNull = data.MINIMUM_PAYMENTS.isnull()
data.MINIMUM_PAYMENTS[IsNull]=pred[IsNull]这样就填充完毕了:

这些数值类型数据最好进行归一化,关于归一化的所有处理步骤都有在我的另一篇博客整理:
我这里采用的z-score作为归一化函数:
from sklearn.preprocessing import StandardScaler # 标准化工具
scaler = StandardScaler()
for n in range(1,14):
x_train = scaler.fit_transform(df_true_data.iloc[:,n:n+1].values)
df_true_data.iloc[:,n:n+1]=x_train
得到归一化数据集,那么开始聚类建模。
k 的选择一般是按照实际需求进行决定,或在实现算法时直接给定 k 值。这是基于项目你想要聚类的个数来决定的,但是也有不确定的情况,我们可能需要去一个最优的K值来将数据很好的归类达到最大化区分类别,这时候就需要思考从数据角度出发,应该进行怎么样的计算能够得到最优的K。
手肘法是最常用的确定K-means算法K值的方法,所用到的衡量标准是SSE(sum of the squared errors,误差平方和) 。
误差平方和又称残差平方和,根据n个观察值拟合适当的模型后,余下未能拟合部份(


编辑)称为残差,其中y平均表示n个观察值的平均值,所有n个残差平方之和称误差平方和。
在回归分析中通常用SSE表示,其大小用来表明函数拟合的好坏。将残差平方和除以自由度n-p-1(其中p为自变量个数)可以作为误差方差σ2的无偏估计,通常用来检验拟合的模型是否显著也用来寻找K值。
import matplotlib.pyplot as plt
import pandas as pd
from sklearn.metrics import silhouette_score
from sklearn.cluster import KMeans
data=df_true_data.iloc[:,1:]
distortions=[]#簇内误差平方和 SSE
for i in range(2,15):
Kmeans_model=KMeans(n_clusters=i)
predict_=Kmeans_model.fit_predict(data)
distortions.append(Kmeans_model.inertia_)
print("簇内误差平方和:",distortions)
#SSE 手肘法
plt.plot(range(2,15),distortions,marker='x')
plt.xlabel('Number of clusters')
plt.ylabel('Distortion')
plt.title('distortions')
plt.show()
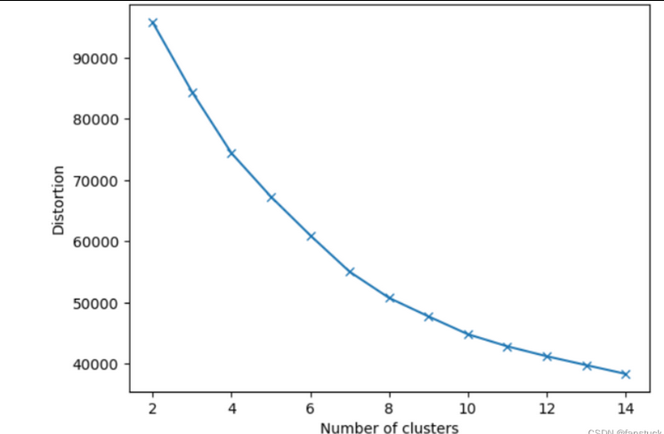
簇内误差平方和: [95795.9293255097, 84414.58708674107, 74423.36972115413, 67317.01104077617, 60994.96414080261, 55045.26807434524, 50777.37404069404, 47753.98868450008, 44842.179122758884, 42867.62108059854, 41247.78745541904, 39800.985182972385, 38372.77525889944]

根据拟合图片我们知道选K为8时能够得到最效率的K值。
初始质心随机选择即可,每一个质心为一个类。对剩余的每个样本点,计算它们到各个质心的欧式距离,并将其归入到相互间距离最小的质心所在的簇。
def euclDistance(x1, x2):
return np.sqrt(sum((x2 - x1) ** 2))
def initCentroids(data, k):
numSamples, dim = data.shape
# k个质心,列数跟样本的列数一样
centroids = np.zeros((k, dim))
# 随机选出k个质心
for i in range(k):
# 随机选取一个样本的索引
index = int(np.random.uniform(0, numSamples))
# 作为初始化的质心
centroids[i, :] = data[index, :]
return centroids
# 传入数据集和k值
def kmeans(data, k):
# 计算样本个数
numSamples = data.shape[0]
# 样本的属性,第一列保存该样本属于哪个簇,第二列保存该样本跟它所属簇的误差
clusterData = np.array(np.zeros((numSamples, 2)))
# 决定质心是否要改变的质量
clusterChanged = True
# 初始化质心
centroids = initCentroids(data, k)
while clusterChanged:
clusterChanged = False
# 循环每一个样本
for i in range(numSamples):
# 最小距离
minDist = 100000.0
# 定义样本所属的簇
minIndex = 0
# 循环计算每一个质心与该样本的距离
for j in range(k):
# 循环每一个质心和样本,计算距离
distance = euclDistance(centroids[j, :], data[i, :])
# 如果计算的距离小于最小距离,则更新最小距离
if distance < minDist:
minDist = distance
# 更新最小距离
clusterData[i, 1] = minDist
# 更新样本所属的簇
minIndex = j
# 如果样本的所属的簇发生了变化
if clusterData[i, 0] != minIndex:
# 质心要重新计算
clusterChanged = True
# 更新样本的簇
clusterData[i, 0] = minIndex
# 更新质心
for j in range(k):
# 获取第j个簇所有的样本所在的索引
cluster_index = np.nonzero(clusterData[:, 0] == j)
# 第j个簇所有的样本点
pointsInCluster = data[cluster_index]
# 计算质心
centroids[j, :] = np.mean(pointsInCluster, axis=0)
return centroids, clusterData
最后得到聚类结果。

可以通过数据可视化横向和纵向对每个类别进行分析,由于我们之前做过特征方向标注,故进行类别分析的时候更好对每个类别用户画像区分:

比如分析聚类0:
BALANCE mean 545.247537 BALANCE_FREQUENCY mean 0.827954 PURCHASES mean 462.690070 ONEOFF_PURCHASES mean 212.797808 INSTALLMENTS_PURCHASES mean 250.254275 CASH_ADVANCE mean 207.813824 PURCHASES_FREQUENCY mean 0.487740 ONEOFF_PURCHASES_FREQUENCY mean 0.141411 CASH_ADVANCE_TRX mean 1.243806 PURCHASES_TRX mean 9.470777 PAYMENTS mean 677.884833 PRC_FULL_PAYMENT mean 0.176594 TENURE mean 11.435975
从均值进行分析,结合特征即可。
原创声明:本文系作者授权腾讯云开发者社区发表,未经许可,不得转载。
如有侵权,请联系 cloudcommunity@tencent.com 删除。
原创声明:本文系作者授权腾讯云开发者社区发表,未经许可,不得转载。
如有侵权,请联系 cloudcommunity@tencent.com 删除。