树是一种非线性的数据结构,它是由 n(n>=0)个有限结点组成一个具有层次关系的集合。把它叫做树是因为它看起来像一棵倒挂的树,也就是说它是根朝上,而叶朝下的。


树形结构中,子树之间不能有交集,否则就不是树形结构
非树形结构:


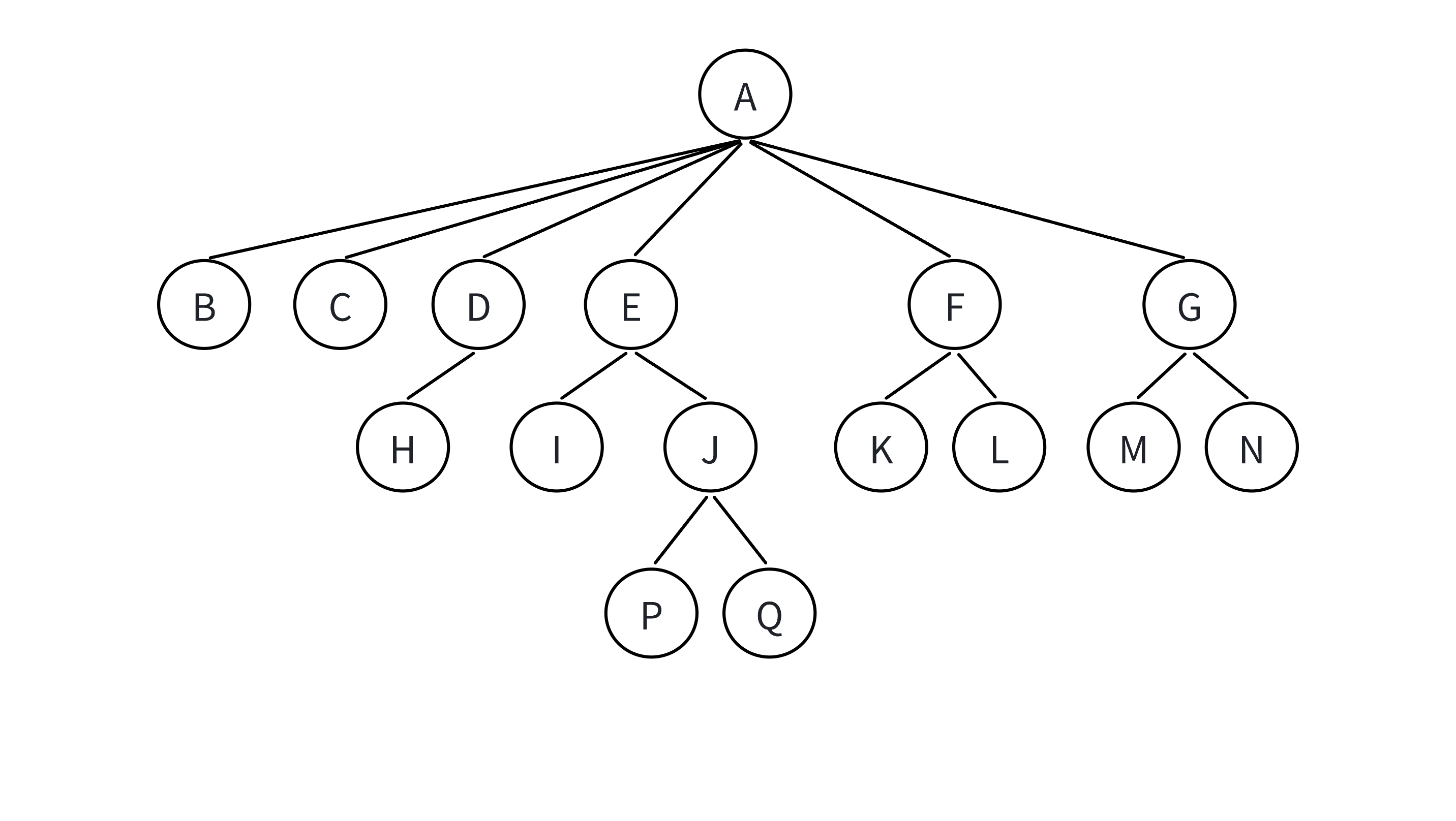
父结点/双亲结点:若一个结点含有子结点,则这个结点称为其子结点的父结点;如上图:A是B的父结点 子结点/孩子结点:一个结点含有的子树的根结点称为该结点的子结点;如上图:B是A的孩子结点 结点的度:一个结点有几个孩子,他的度就是多少;比如A的度为6,F的度为2,K的度为0 树的度:一棵树中,最大的结点的度称为树的度;如上图:树的度为6 叶子结点/终端结点:度为0的结点称为叶结点;如上图:B、C、H、I...等结点为叶结点 分支结点/非终端结点:度不为0的结点;如上图:D、E、F、G...等结点为分支结点 兄弟结点:具有相同父结点的结点互称为兄弟结点(亲兄弟);如上图:B、C 是兄弟结点 结点的层次:从根开始定义起,根为第1层,根的子结点为第2层,以此类推; 树的高度或深度:树中结点的最大层次;如上图:树的高度为4 结点的祖先:从根到该结点所经分支上的所有结点;如上图:A是所有结点的祖先 路径:一条从树中任意节点出发,沿父节点-子节点连接,达到任意节点的序列;比如A到Q的路径为:A-E-J-Q;H到Q的路径H-D-A-E-J-Q 子孙:以某结点为根的子树中任一结点都称为该结点的子孙。如上图:所有结点都是A的子孙 森林:由m(m>0)棵互不相交的树的集合称为森林;
孩子兄弟表示法:
树结构相对线性表就比较复杂了,要存储表示起来就比较麻烦了,既然保存值域,也要保存结点和结点之间的关系,实际中树有很多种表示方式如:双亲表示法,孩子表示法、孩子双亲表示法以及孩子兄弟表示法等。我们这里就简单的了解其中最常用的孩子兄弟表示法。
struct TreeNode
{
struct Node* child; // 左边开始的第⼀个孩⼦结点
struct Node* brother; // 指向其右边的下⼀个兄弟结点
int data; // 结点中的数据域
};

文件系统是计算机存储和管理文件的一种方式,它利用树形结构来组织和管理文件和文件夹。在文件系统中,树结构被广泛应用,它通过父结点和子结点之间的关系来表示不同层级的文件和文件夹之间的关联。


在树形结构中,我们最常用的就是二叉树,一棵二叉树是结点的一个有限集合,该集合由一个根结点加上两棵别称为左子树和右子树的二叉树组成或者为空。

从上图可以看出二叉树具备以下特点:

现实中的二叉树:


一个二叉树,如果每一个层的结点数都达到最大值,则这个二叉树就是满二叉树。也就是说,如果一个二叉树的层数为 K ,且结点总数是2^k − 1,则它就是满二叉树。

完全二叉树是效率很高的数据结构,完全二叉树是由满二叉树而引出来的。对于深度为 K 的,有 n 个结点的二叉树,当且仅当其每一个结点都与深度为K的满二叉树中编号从 1 至 n 的结点一一对应时称之为完全二叉树。要注意的是满二叉树是一种特殊的完全二叉树。
简单来说就是:除了最后一层,其他每层结点个数都达到最大,最后一层结点个数不一定达到最大,完全二叉树的结点从左到右依次排序(完全二叉树的一种)

二叉树性质 根据满二叉树的特点可知: 1)若规定根结点的层数为 1,则一棵非空二叉树的第 i 层上最多有 2i−1 个结点 2)若规定根结点的层数为 1,则深度为 h 的二叉树的最大结点数是 2h−1 3)若规定根结点的层数为 1,具有 n 个结点的满二叉树的深度 h=log2(n+1)(log 以 2 为底,n+1 为对数)
二叉树一般可以使用两种结构存储,一种顺序结构,一种链式结构,后面我会分为俩篇博客为大家进行详细的介绍。
顺序结构存储就是使用数组来存储,一般使用数组只适合表示完全二叉树,因为不是完全二叉树会有空间的浪费,完全二叉树更适合使用顺序结构存储。


现实中我们通常把堆(一种二叉树)使用顺序结构的数组来存储,需要注意的是这里的堆和操作系统虚拟进程地址空间中的堆是两回事,一个是数据结构,一个是操作系统中管理内存的一块区域分段。
二叉树的链式存储结构是指,用链表来表示一棵二叉树,即用链来指示元素的逻辑关系。通常的方法是链表中每个结点由三个域组成,数据域和左右指针域,左右指针分别用来给出该结点左孩子和右孩子所在的链结点的存储地址。链式结构又分为二叉链和三叉链,当前我们学习中一般都是二叉链。后面博客讲解到高阶数据结构如红黑树等会用到三叉链。

