首页
学习
活动
专区
圈层
工具
发布
社区首页 >专栏 >MR-DELTAnet:一种在局部晚期直肠癌中通过 scRNA-seq 揭示免疫微环境并预测病理完全反应的纵向 MRI-Transformer 模型

MR-DELTAnet:一种在局部晚期直肠癌中通过 scRNA-seq 揭示免疫微环境并预测病理完全反应的纵向 MRI-Transformer 模型

作者头像
医小北同学
发布2026-01-13 16:33:45
发布2026-01-13 16:33:45
1280
举报

一、本文的研究思路

1、科学问题的提出与目标设定

针对局部进展期直肠癌(LARC)患者,探索如何通过非侵入性手段在术前精准识别病理完全缓解(pCR)者,从而辅助临床制定个体化治疗策略(如器官保留),并深入探究影像学特征背后的生物学机制。

2、纵向影像深度学习模型(MR-DELTAnet)的构建

  • 时序特征提取:不同于传统的单点影像分析,本研究利用新辅助放化疗(NCRT)前后的配对纵向T2WI影像。
  • 架构创新:引入Transformer架构和“Delta(差值)”模块,通过跨时间点的注意力机制(Cross-time attention)捕捉治疗过程中的动态肿瘤退缩特征。
  • 样本均衡处理:采用动态数据增强、平衡批采样及改进的损失函数,解决pCR与非pCR样本量不均衡导致的模型偏倚。

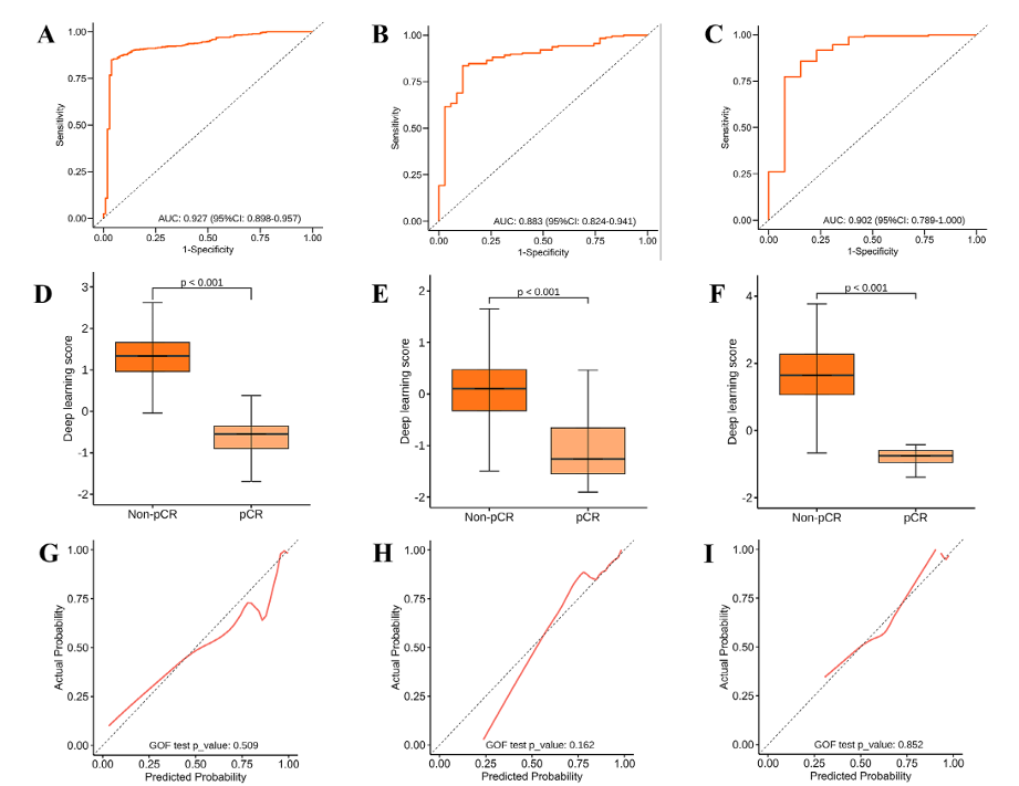
3、多中心验证与模型评估

  • 队列设计:采用包含4家医疗中心的超千人规模数据集。
  • 性能评价:在内部和三个独立的外部验证集上,通过AUC、准确率、敏感度、特异度及校准曲线,全面评估MR-DELTAnet预测pCR的稳健性。

4、影像生物学机制的探索(Radiogenomics)

  • 可视化解释:利用Guided Grad-CAM技术展示模型在影像上的关注区域,分析pCR与非pCR病例的退缩模式差异。
  • 单细胞转录组关联分析:将模型预测评分与单细胞RNA测序(scRNA-seq)数据结合,对比高/低分预测组在免疫细胞组成、细胞间通讯及代谢通路上的生物学差异。

5、临床预后价值验证

  • 生存分析:考察MR-DELTAnet评分与患者无病生存期(DFS)和总生存期(OS)的相关性。
  • 独立因子检验:结合临床指标进行多因素Cox回归分析,验证其作为独立预后因子的能力。

二、本文的研究结果

> 1、临床特征分析
> 2、MR-DELTAnet 的预测性能评估
> 3、MR-DELTAnet 与临床信息及预后的关联
> 4、MR-DELTAnet 与单细胞免疫微环境的关联

三、本文的测序数据来源及样本情况;文中数据情况

1、影像学数据(MRI Data)

本研究基于一个名为 MR-DELTA-LARC 的大规模多中心队列:

  • 总样本量:1026 例 LARC 患者。
  • 中心分布
    • 中心 A(中山大学附属第六医院):663 例(作为训练集 464 例,内部验证集 199 例)。
    • 中心 B(中山大学附属第一医院):110 例(外部验证集 1)。
    • 中心 C(云南省肿瘤医院):163 例(外部验证集 2)。
    • 中心 D(广州市第一人民医院):90 例(外部验证集 3)。
  • 影像类型:两期配对的高分辨率轴位 T2 加权成像(T2WI),包括 NCRT 前(Pre-NCRT)NCRT 后(Post-NCRT/Pre-Surgery)
  • 标签定义:以病理评估(TRG 0 或 Grade 0)作为 pCR 的金标准。

2、测序数据(Single-cell RNA-seq Data)

本研究引入了一个独立的单细胞验证队列(SCSC):

  • 数据来源:来自作者团队既往发表在 Nature Communications (2022) 的数据集。
  • 样本规模:26 例 LARC 患者(均来自中心 A)。
  • 细胞规模:包含 137,666 个高质量单细胞。
  • 分析对象:包含 19 例 non-pCR 和 7 例 pCR 患者,涉及上皮细胞、T细胞、B细胞、髓系细胞、成纤维细胞等 9 大类细胞。

3、数据应用逻辑

  • 影像数据用于模型的开发、测试以及与生存预后的关联分析。
  • 测序数据用于“影像-生物学”映射,通过 MR-DELTAnet 对 26 例测序患者进行评分分层,揭示模型高分(预测 pCR 倾向)患者具有更强的免疫杀伤微环境(如高浸润 CD8+ T 细胞、增强的氧化磷酸化通路等)。

知识背景Guided Grad-CAM

在本文中,Guided Grad-CAM(Guided Gradient-weighted Class Activation Mapping)是一种关键的可解释性人工智能(Explainable AI)技术,用于揭示深度学习模型 MR-DELTAnet 在做出预测时,到底“看”了 MRI 图像中的哪些区域。

1. 技术定义

  • Grad-CAM:通过计算模型预测类别(如 pCR)相对于最后一个卷积层特征图的梯度,生成热力图,显示图像中对预测结果贡献最大的区域(激活区域)。
  • Guided Backpropagation:一种捕捉图像细节纹理的技术,能够显示哪些像素点对神经元激活有影响。
  • Guided Grad-CAM:将上述两者结合。它既具备 Grad-CAM 的定位能力(告诉你在哪看),又具备 Guided Backpropagation 的高分辨率细节捕捉能力(告诉你看到了什么纹理)。

2. 在本研究中的具体用途

在模型完成对 pCR(病理完全缓解)的预测后,研究者利用 Guided Grad-CAM 进行了以下分析:

  • 验证模型的逻辑可靠性: 通过生成的可视化图,研究者确认了 MR-DELTAnet 关注的区域确实集中在直肠肠壁、原肿瘤区域及其周边的系膜脂肪内,而不是图像中无关的背景(如骨骼或空气)。这证明模型学到的是真正的病理改变特征。
  • 区分 pCR 与 non-pCR 的影像差异
    • pCR 患者:可视化显示模型在治疗后的影像上,激活点分布在肿瘤退缩后的纤维化区域或正常的肠壁结构上,呈现出一种“成功退缩”的特征模式。
    • non-pCR 患者:模型往往会在治疗后影像中依然存在显著激活的区域(通常对应残余肿瘤或异常血流信号区),识别出那些“未完全退缩”的异常纹理。
  • 跨时间点的特征分析: 由于 MR-DELTAnet 是纵向模型(输入治疗前和治疗后两张图),Guided Grad-CAM 帮助研究者观察模型如何比较这两个时间点的变化。例如,它能展示模型是如何通过捕捉“肿瘤体积缩小”和“信号强度变化(Delta特征)”来判定患者最终达到了 pCR。

3. 技术价值

  • 打破“黑盒”:深度学习常被批评为不可解释。Guided Grad-CAM 为医生提供了直观的可视化证据,增加了模型在临床应用中的可信度。
  • 辅助发现生物标记物:通过观察模型关注的影像细节,放射科医生可能会发现一些肉眼难以察觉但对预测 pCR 至关重要的细微放射学特征。

总结:Guided Grad-CAM 在文中扮演了“翻译官”的角色,将模型复杂的数学权重转化成了医生看得懂的“视觉高亮区”,证明了模型预测 pCR 是基于科学的解剖学和病理学变化,而非偶然的统计相关。

我们开发了 MR-DELTAnet,一个基于 Transformer 的医疗图像分析模型,用于利用治疗前和治疗后 MR 图像预测治疗反应。该架构集成了三个核心组件:

  1. 交叉注意力机制通过计算相关矩阵对齐治疗前和治疗后图像特征,将焦点集中在与治疗相关的显著变化区域;
  2. Delta 模块量化不同时间点的多尺度特征差异,以捕捉动态治疗效应;
  3. 分类决策模块用于最终预测。我们通过动态数据增强和平衡批次采样解决类别不平衡问题,并结合自适应损失函数(结合类别平衡 Focal Loss 和跨时间对比正则化)来增强鲁棒性。

  • 该模型使用 AdamW 优化器、分层学习率、随机深度正则化和基于 F1 分数的早停机制在超级计算集群上进行训练。消融研究系统地验证了每个组件对 pCR 预测的贡献(附录 S8, 支持信息)。
  • 代码可在 https://github.com/WuLei-MedIA/mr_deltanet 获取
Flowchart of MR-DELTAnet
Flowchart of MR-DELTAnet
本文参与 腾讯云自媒体同步曝光计划,分享自微信公众号。
原始发表:2026-01-08,如有侵权请联系 cloudcommunity@tencent.com 删除

本文分享自 医小北 微信公众号,前往查看

如有侵权,请联系 cloudcommunity@tencent.com 删除。

本文参与 腾讯云自媒体同步曝光计划  ,欢迎热爱写作的你一起参与!

评论
登录后参与评论
0 条评论
热度
最新
推荐阅读
目录
  • 一、本文的研究思路
    • 1、科学问题的提出与目标设定
    • 2、纵向影像深度学习模型(MR-DELTAnet)的构建
    • 3、多中心验证与模型评估
    • 4、影像生物学机制的探索(Radiogenomics)
    • 5、临床预后价值验证
  • 二、本文的研究结果
    • > 1、临床特征分析
    • > 2、MR-DELTAnet 的预测性能评估
    • > 3、MR-DELTAnet 与临床信息及预后的关联
    • > 4、MR-DELTAnet 与单细胞免疫微环境的关联
  • 三、本文的测序数据来源及样本情况;文中数据情况
    • 1、影像学数据(MRI Data)
    • 2、测序数据(Single-cell RNA-seq Data)
    • 3、数据应用逻辑
  • 知识背景Guided Grad-CAM
    • 1. 技术定义
    • 2. 在本研究中的具体用途
    • 3. 技术价值
领券
问题归档专栏文章快讯文章归档关键词归档开发者手册归档开发者手册 Section 归档