
很多初学者看到 “模拟”、“枚举” 就以为是“水题”,直接跳过。但事实是—— 基础 ≠ 简单! 这些算法是所有高级技巧(如 DP、图论、网络流)的基石,更是 NOIP、蓝桥杯、LeetCode 周赛 中高频出现的“签到题”来源。
轻视基础,等于放弃登顶的可能。

本文是《算法基础篇》第 1 篇博客,用 原理 + 例题 + 代码 + 易错点 四步法,带你系统掌握 模拟、高精度、枚举、前缀和、差分、双指针、二分 七大基础算法。


模拟题 的核心是:题目让你做什么,你就照着写代码。重点考察 逻辑拆解能力 和 边界处理能力。

题目大意:给定一元 n 次多项式的系数,按规范格式输出(如
100x^5-x^4+x^3-3x^2+10)。
输入:
5
100 -1 1 -3 0 10
输出:
100x^5-x^4+x^3-3x^2+10模拟+分类讨论,对于⼀元n次⽅程的的最终结果,我们仅需按照顺序,考虑每⼀项的三件事情:符 号 + 系数 + 次数。
处理「符号」:
◦ 如果系数⼩于0 ,直接输出 "-";
◦ 如果系数⼤于0 ,除了⾸项不输出 "+",其余全部输出 "+"。
处理「系数」:
◦ 先取⼀个绝对值,因为正负的问题已经处理过了;
◦ 当系数不等于 1 ,直接输出这个数;
◦ 但是当系数为 1 ,且是最后⼀项的时候,这个 1 也是需要输出的;其余情况下的 1 不需要输出。
处理「次数」:
◦ 次数⼤于 1 ,输出 "x^" + 对应的次数;
◦ 次数等于 1 ,输出 "x";
◦ 次数⼩于 1 ,什么也不输出。
#include <iostream>
#include <cmath>
using namespace std;
int main() {
int n; cin >> n;
for (int i = n; i >= 0; i--) {
int a; cin >> a;
if (a == 0) continue; // 跳过系数为0的项
// 1. 处理符号
if (a < 0) cout << '-';
else if (i != n) cout << '+'; // 首项不输出+
// 2. 处理系数
a = abs(a);
if (a != 1 || (a == 1 && i == 0)) cout << a;
// 3. 处理次数
if (i == 0) continue;
else if (i == 1) cout << 'x';
else cout << "x^" << i;
}
return 0;
}首项正数不能加 +,但非首项负数要输出 -; 系数为 ±1 且非常数项时,不输出 1; 常数项(i=0)只输出系数,不输出 x。

用方向数组
(0,1)→(1,0)→(0,-1)→(-1,0)模拟填数。
dx[], dy[] 数组简化移动逻辑。模拟填数的过程。
在⼀个矩阵中按照⼀定规律填数的通⽤解法:
• 定义⽅向向量,⽐如本题⼀共四个⽅向,分别是右、下、左、上,对应: (0, 1)、(1, 0)、(0, −1)、(−1, 0)
• 循环填数的规则:
◦ 朝⼀个⽅向⾛,⼀边⾛⼀边填数,直到越界;
◦ 越界之后,结合定义的⽅向向量,求出下⼀轮应该⾛的⽅向以及应该到达的正确位置;
◦ 重复上述过程,直到把所有的数填完为⽌。
#include <iostream>
using namespace std;
const int N = 15;
// 定义 右,下,左,上 四个⽅向
int dx[] = { 0, 1, 0, -1 };
int dy[] = { 1, 0, -1, 0 };
int arr[N][N];
int main()
{
int n; cin >> n;
// 模拟填数过程
int x = 1, y = 1; // 初始位置
int cnt = 1; // 当前位置要填的数
int pos = 0; // 当前的⽅向
while (cnt <= n * n)
{
arr[x][y] = cnt;
// 计算下⼀个位置
int a = x + dx[pos], b = y + dy[pos];
// 判断是否越界
if (a < 1 || a > n || b < 1 || b > n || arr[a][b])
{
// 更新出正确的该⾛的位置
pos = (pos + 1) % 4;
a = x + dx[pos], b = y + dy[pos];
}
x = a, y = b;
cnt++;
}
// 输出
for (int i = 1; i <= n; i++)
{
for (int j = 1; j <= n; j++)
{
printf("%3d", arr[i][j]);
}
puts("");
}
return 0;
}高精度算法 = 用数组模拟竖式运算。核心思想:
逆序存储(低位在前,方便进位); 逐位运算 + 进位/借位处理。
⾼精度算法本质上还是模拟算法,⽤代码模拟⼩学列竖式计算加减乘除的过程。

模拟⼩学「列竖式」计算「两数相加」的过程。

1. ⽤字符串读⼊数据;
2. 将字符串的每⼀位拆分,逆序放在数组中;
3. 模拟列竖式计算的过程:
a. 对应位累加;
b. 处理进位;
c. 处理余数。
4. 处理结果的位数。
#include <iostream>
using namespace std;
const int N = 1e6 + 10;
int a[N], b[N], c[N];
int la, lb, lc;
// ⾼精度加法的模版 - c = a + b;
void add(int c[], int a[], int b[])
{
for (int i = 0; i < lc; i++)
{
c[i] += a[i] + b[i]; // 对应位相加,再加上进位
c[i + 1] += c[i] / 10; // 处理进位
c[i] %= 10; // 处理余数
}
if (c[lc]) lc++;
}
int main()
{
string x, y; cin >> x >> y;
// 1. 拆分每⼀位,逆序放在数组中
la = x.size(); lb = y.size(); lc = max(la, lb);
for (int i = 0; i < la; i++) a[la - 1 - i] = x[i] - '0';
for (int i = 0; i < lb; i++) b[lb - 1 - i] = y[i] - '0';
// 2. 模拟加法的过程
add(c, a, b); // c = a + b
// 输出结果
for (int i = lc - 1; i >= 0; i--) cout << c[i];
return 0;
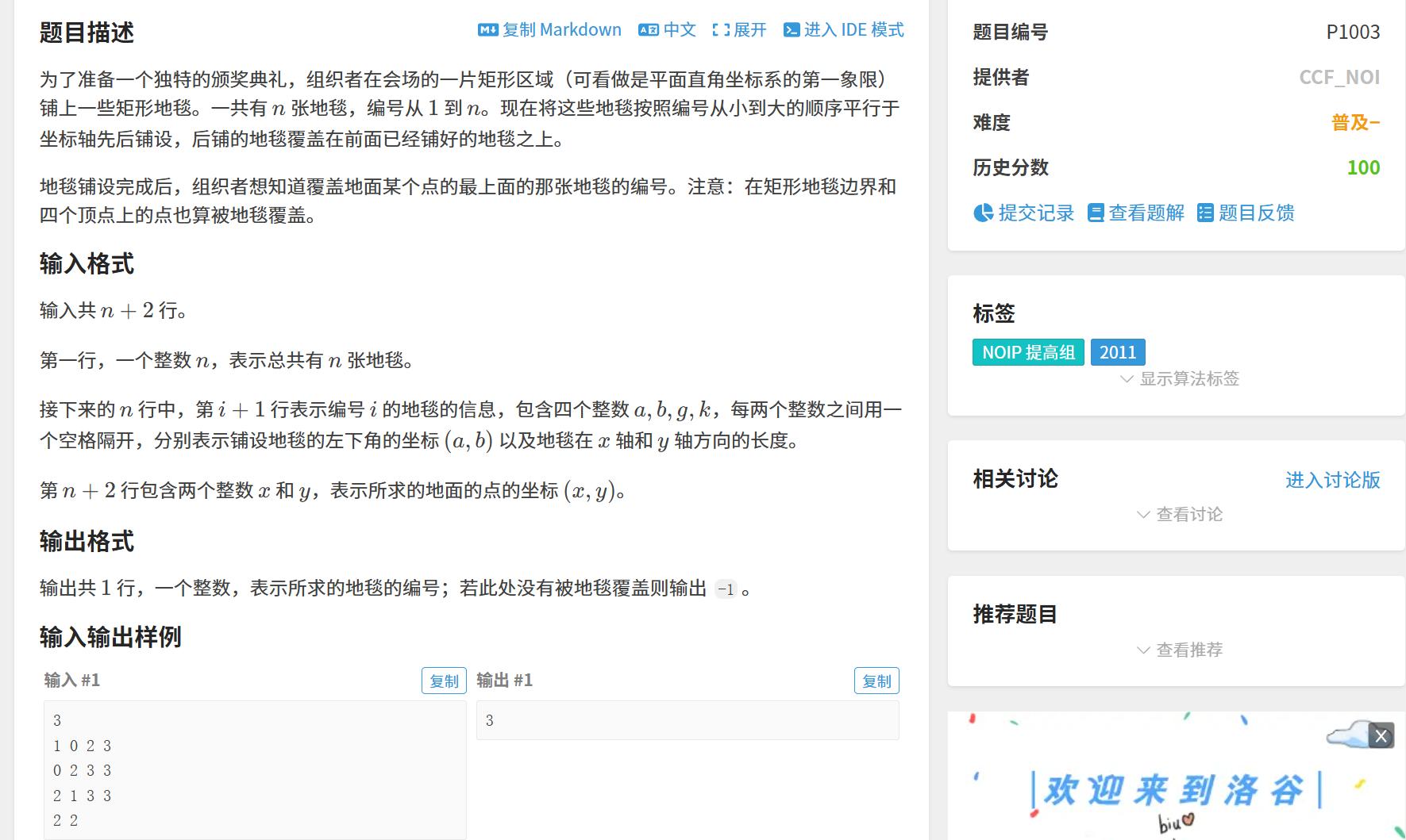
}if (c[i] < 0) { c[i] += 10; c[i+1]--; }c[i+j] += a[i] * b[j];t = t * 10 + a[i],c[i] = t / b,t %= b。len1 + len2;枚举 = 把所有可能情况列出来。虽“暴力”,但常因 剪枝 / 逆序枚举 而高效。

逆序枚举 地毯,第一个覆盖
(x,y)的即为答案(后铺的在上层)
for (int i = n; i >= 1; i--) {
if (a[i] <= x && b[i] <= y &&
a[i] + g[i] >= x && b[i] + k[i] >= y) {
return i;
}
}
用
0~(1<<n)-1的每个数的二进制位表示是否选该元素。
for (int st = 0; st < (1 << n); st++) {
vector<int> tmp;
for (int i = 0; i < n; i++)
if ((st >> i) & 1) tmp.push_back(nums[i]);
ret.push_back(tmp);
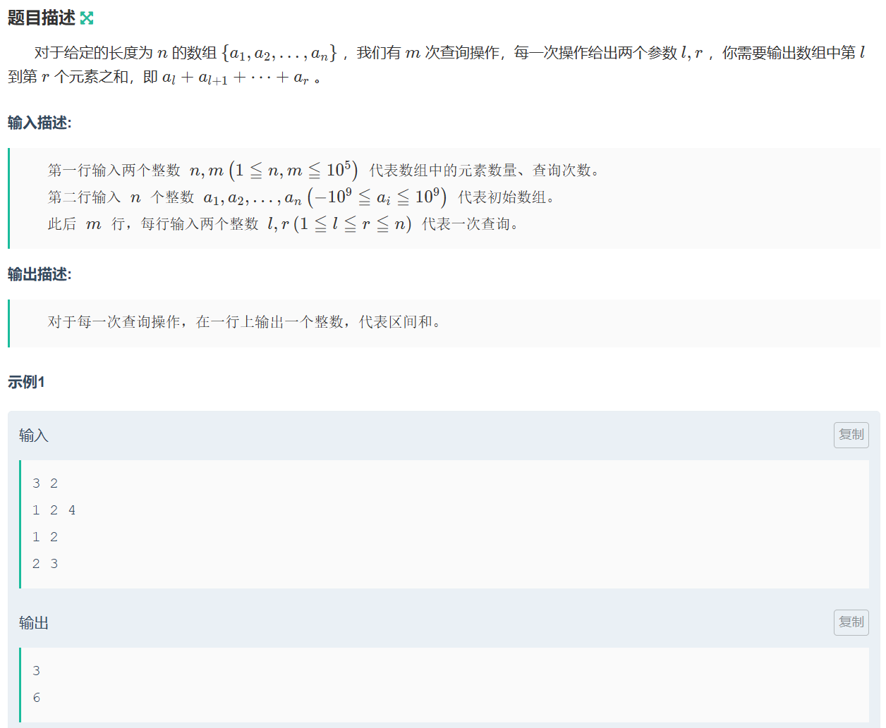
}2^n,n ≤ 20 才安全。前缀和 = 空间换时间,预处理后 区间和查询 O(1)。


前缀和模板题,直接套⽤「公式」创建前缀和数组,然后利⽤前缀和数组的「性质」处理q次查询。
f[i] = f[i-1] + a[i][l, r] 和 = f[r] - f[l-1]f[i][j] = f[i-1][j] + f[i][j-1] - f[i-1][j-1] + a[i][j]子矩阵和 = f[x2][y2] - f[x1-1][y2] - f[x2][y1-1] + f[x1-1][y1-1]枚举所有 R×R 正方形,用二维前缀和快速求和。
可以⽤⼀个⼆维矩阵将所有⽬标的价值存起来,其中 a[i][j] 就表⽰ [i, j] 位置的⽬标价值之和。 ⼀颗炸弹能够获得的价值正好是⼀个R*R ⼤⼩的⼀个正⽅形内所有⽬标的价值总和,那么我们可 以求出 a 矩阵的前缀和矩阵,然后枚举所有边⻓为R 的⼦正⽅形的价值之和,求出⾥⾯的最⼤值即 可。
#include <iostream>
using namespace std;
const int N = 5010;
int n, m;
int a[N][N];
int f[N][N]; // 前缀和矩阵
int main()
{
cin >> n >> m;
while (n--)
{
int x, y, v; cin >> x >> y >> v;
x++, y++; // 下标从 1 开始计数
a[x][y] += v; // 同⼀个位置有可能有多个⽬标
}
n = 5001;
// 预处理前缀和矩阵
for (int i = 1; i <= n; i++)
{
for (int j = 1; j <= n; j++)
{
f[i][j] = f[i - 1][j] + f[i][j - 1] - f[i - 1][j - 1] + a[i][j];
}
}
int ret = 0;
m = min(m, n); // 如果 m 很⼤,相当于就是把整个区域全部摧毁
// 枚举所有边⻓为 m 的正⽅形
for (int x2 = m; x2 <= n; x2++)
{
for (int y2 = m; y2 <= n; y2++)
{
int x1 = x2 - m + 1, y1 = y2 - m + 1;
ret = max(ret, f[x2][y2] - f[x1 - 1][y2] - f[x2][y1 - 1] + f[x1 -
1][y1 - 1]);
}
}
cout << ret << endl;
return 0;
}差分是前缀和的逆运算,用于 高效区间加。
是经典的⽤空间替换时间的做法。 学完差分之后,⼤家会发现,前缀和与差分是⼀对互逆的运算。
差分模板题,先「创建」差分数组,然后根据差分数组的「性质」处理 次区间修改,最后「还原」 出来原始的数组。
修改 [l, r] += k: f[l] += k; f[r+1] -= k; 还原:对 f 做前缀和
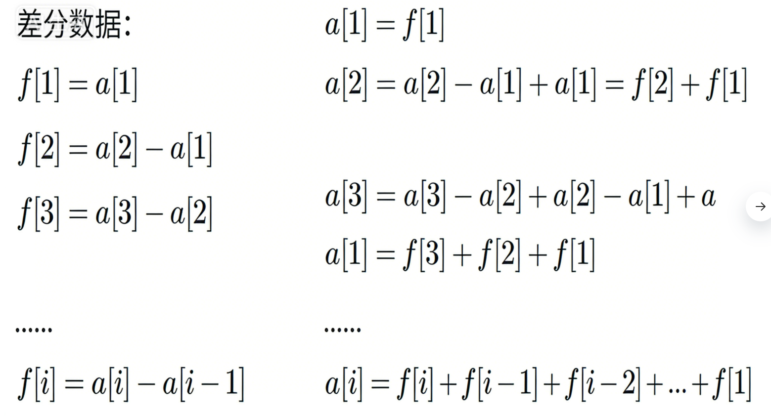
创建差分数组,根据定义:
f[i] = a[i] − a[i − 1]
也可以根据差分数组的性质:f[i] + = a[i], f[i + 1] − = a[i]

根据差分数组的性质处理 q 区间修改:f[L] + = c, f[R + 1] − = c

还原经过 q 次询问之后的 a 数组:对差分数组做⼀次「前缀和」,就可以还原出原数组
由差分数组的定义得: 原数组a 中的每⼀项:

#include <iostream>
using namespace std;
typedef long long LL;
const int N = 1e5 + 10;
int n, m;
LL f[N]; // 差分数组
int main()
{
cin >> n >> m;
// 利⽤差分数组的性质,创建差分数组
for(int i = 1; i <= n; i++)
{
LL x; cin >> x;
f[i] += x;
f[i + 1] -= x;
}
// 处理 m 次修改操作
while(m--)
{
LL l, r, k; cin >> l >> r >> k;
f[l] += k; f[r + 1] -= k;
}
// 还原出原始的数组
for(int i = 1; i <= n; i++)
{
f[i] = f[i - 1] + f[i];
cout << f[i] << " ";
}
return 0;
}差分数组大小要 n+2,防止 r+1 越界; 二维差分四个角都要更新。
双指针算法有时候也叫尺取法或者滑动窗⼝,是⼀种优化暴⼒枚举策略的⼿段:
当暴力枚举中 两个指针都不回退,可用双指针将 O(n²) 优化至 O(n)。
当我们发现在两层 for 循环的暴⼒枚举过程中,两个指针是可以不回退的,此时我们就可以利⽤ 两个指针不回退的性质来优化时间复杂度。
因为双指针算法中,两个指针是朝着同⼀个⽅向移动的,因此也叫做同向双指针。
注意:希望⼤家在学习该算法的时候,不要只是去记忆模板,⼀定要学会如何从暴⼒解法优化成双指
题目 | 目标 | 判断条件 |
|---|---|---|
唯一的雪花 | 最长无重复子串 | mp[a[right]] > 1 |
逛画展 | 最短包含所有画家的区间 | kind == m |
丢手绢(环形) | 最远距离 | 2*k >= sum |
模版:
// 通用滑动窗口模板
while (right < n) {
// 进窗口
if (满足条件) {
while (窗口不合法) {
// 出窗口
left++;
}
// 更新答案
}
right++;
}kind 计数更新。二段性 = 答案一侧全满足,另一侧全不满足。
二分查找(左/右端点模板)
// 左端点(>=x 的第一个)
while (l < r) {
int mid = (l + r) / 2;
if (check(mid)) r = mid;
else l = mid + 1;
}
// 右端点(<=x 的最后一个)
while (l < r) {
int mid = (l + r + 1) / 2;
if (check(mid)) l = mid;
else r = mid - 1;
}题目 | 二分对象 | check函数 |
|---|---|---|
木材加工 | 切割长度L | 总段数 >= k |
砍树 | 锯片高度H | 木材总量 >= M |
跳石头 | 最短跳跃距离 | 移走石头数 <= M |
mid 是否 +1,防止死循环;
记住:基础不牢,地动山摇。把这些“简单题”做到滴水不漏,你离 ACM 区域赛/大厂 offer 就不远了!

1. 为什么高精度乘法要“先无进位相乘,再统一进位”? 2. 二分答案中,如何判断一个问题是否具有“二段性”? 欢迎在评论区留言讨论!