一.栈
1.1栈的定义
栈:一种特殊的线性表,其只允许在固定的一端进行插入和删除元素操作。进行数据插入和删除操作的一端称为栈顶,另一端称为栈底。栈中的数据元素遵循先进后出LIFO(Last In First Out)的原则。
压栈:栈的插入操作叫做进栈/压栈/入栈,入数据在栈顶。
出栈:栈的删除操作叫做出栈,出数据也在栈顶。

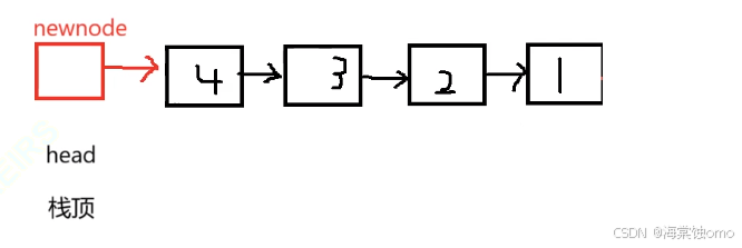
这张图简洁明了的显示了栈的特点。入的时候是以ABCD的顺序,出的时候是以DCBA的顺序。大家可以把栈想象成水桶,先倒进去的水后喝到,后倒进去的水先喝到。
取决于栈的底层结构,我们需要用前面学的数组或者链表来实现,而选择什么样的方式来实现的参考标准之一是时间复杂度,下面我们用图表来解释。

当我们用数组来实现时,入栈和出栈的时间复杂度都为O(1),也就是我们前面学的尾插和尾删。但是如果此时的栈顶和栈底位置发生了交换,入栈和出栈的时间复杂度就为O(n),也就是头插和头删。注意栈顶和栈底的位置不同,也会影响时间复杂度。当然我们要取最优的时间复杂度。

当我们用链表来实现时,此时栈顶和栈底的位置,时间复杂度为O(1),相当于头插和头删。而如果栈顶和栈底的位置相反,入栈的时间复杂度为O(1),出栈的时间复杂度为O(n),相当于尾插和尾删。
如果我们都取最优的时间复杂度,这时候发现数组和链表都可以,这时我们可以从内存的角度去考虑,数组的话一个空间只需要用4个字节就可以了,而链表则需要8个字节,这里是拿数据为int类型来举例。故我用数组来实现,不过用链表实现也可以。
1.2代码示例
typedef int STDateType;
typedef struct Stack
{
STDateType* arr;
int top;
int capacity;
}ST;栈的结构
说是数组,其实就是用我们之前学的线性表来实现,只不过功能不一样而已。
void STInit(ST* ps)
{
assert(ps);
ps->arr = NULL;
ps->top = ps->capacity = 0;
}栈的初始化
跟线性表一样,唯一的区别是把线性表里面的size改成了top,用来表示栈顶,也表示数组中有效数据的个数。
void STDestory(ST* ps)
{
if (ps->arr != NULL)
{
free(ps->arr);
ps->arr = NULL;
ps->capacity = ps->top = 0;
}
}栈的销毁
先判断数组是否为空,如果不为空,就将数组置为NULL,top和capacity置为0。
void STPush(ST* ps, STDateType x)
{
assert(ps);
//空间不够
if (ps->top == ps->capacity)
{
int newcapacity = ps->capacity == 0 ? 4 : 2 * ps->capacity;
STDateType* tmp = (STDateType*)realloc(ps->arr, newcapacity * sizeof(STDateType));
if (tmp == NULL)
{
perror("realloc fail!");
exit(1);
}
ps->arr = tmp;
ps->capacity = newcapacity;
}
//空间足够
ps->arr[ps->top++] = x;
}入栈
1.判断传入的ps是否为假
2.分情况讨论。空间足够的情况下,直接把下标为top位置的数据传入即可。空间不够的情况下,跟线性表一样,需要扩容,这里我用的是realloc来扩容,用malloc扩容也可。
注意:扩容时的条件时有效数据的个数和容量相等时,此时数组已满,就需要扩容。
STDateType STTop(ST* ps)
{
assert(ps);
return ps->arr[ps->top - 1];
}取出栈顶元素
1.判断传入的ps是否为假
2.因为top是栈顶,记录的是有效数据个数,所以我们在返回栈顶元素时下标为top-1
bool STEmpty(ST* ps)
{
assert(ps);
return ps->top == 0;
}判断栈是否为空
1.判断传入的ps是否为假
2.判断此时的top是否为0,为0则表示栈为空,非0则表示链表非空
void STPop(ST* ps)
{
assert(!STEmpty(ps));
ps->top--;
}出栈
1.判断数组是否为空
2.和线性表一样,出栈只需要让top--就可以
int STCheck(ST* ps)
{
assert(ps);
return ps->top;
}返回栈有效数据的个数
1.判断传入的ps是否为假
2.因为top就表示有效数据的个数,所以直接返回top即可
二.队列
2.1队列定义
队列:只允许在一端进行插入数据操作,在另一端进行删除数据操作的特殊线性表,队列具有先进先出FIFO(First In First Out)的特征。
入队列:进行插入操作的一端称为队尾
出队列:进行删除操作的一端称为队头

这张图表示的就是队列的逻辑结构,入队的顺序是654321,出队的顺序也是654321。大家可以把队列想象成饮水机,饮水机先抽的水先喝到,后抽到的水后喝到。
取决于栈的底层结构,我们需要用前面学的数组或者链表来实现,而选择什么样的方式来实现的参考标准之一是时间复杂度,下面我们用图表来解释。

这是数组来实现,入队的时间复杂度为O(1),相当于尾插,出队的时间复杂度为O(n),相当于头删。而交换二者的位置,时间复杂度是不变的,还是O(1)和O(n)这两个答案。

如果用链表来实现,入队的时间复杂度为O(n),相当于尾插,出队的时间复杂度为O(1),相当于头删。交换两者的位置,时间复杂度也是O(n)和O(1)两个答案。
跟栈的问题一样,用数组和链表实现都可以。但是介于队列的特殊结构,我们找到了一个新的方法,因为队列我们只需要看队头和队尾,故可以对链表作出一定的修改,比如:
typedef int QDateType;
typedef struct QueueNode
{
QDateType date;
struct QueueNode* next;
}QueueNode;
//队列的结构
typedef struct Queue
{
struct QueueNode* pHead;//队头
struct QueueNode* pTail;//队尾
}QE;如上述代码所示,我们把队头和队尾单独拿出来,这样在用链表实现时,入队和出队的时间复杂度就都为O(1),这样的话选择链表实现队列就会更方便一些。
有些人可能会问:那么数组可以怎么改变呢?答案小编也不知道,如果有知道的大佬可以在评论区演示一下。
2.2代码示例
void QInit(QE* pq)
{
assert(pq);
pq->pHead = pq->pTail = NULL;
}队列的初始化
1.判断传入的pq是否为假
2.将队头和队尾初始化置为NULL;
注意:我们在测试的时候,要创建的是存放队头和队尾的结构体变量,如果创建的是结点的结构体变量,还是会找不到队尾。
void QPush(QE* pq, QDateType x)
{
assert(pq);
QueueNode* newnode = (QueueNode*)malloc(sizeof(QueueNode));
if (newnode == NULL)
{
perror("malloc fail!");
exit(1);
}
newnode->date = x;
newnode->next = NULL;
//入队
//判断队列是否为空
if (pq->pHead == NULL)
{
pq->pHead = pq->pTail = newnode;
}
else//队列非空
{
pq->pTail->next = newnode;
pq->pTail = pq->pTail->next;
}
}入队
1.判断传入的pq是否为假
2.创建结点
3.分情况讨论。如果链表非空,那么就让队尾的next指向新结点,队尾再转到新节点的位置。如果链表为空,就让队头和队尾都指向新结点即可。
bool QEmpty(QE* pq)
{
assert(pq);
return pq->pHead == NULL;
}判断队列是否为空
1.判断传入的pq是否为假
2.判断队头是否为NULL,如果为NULL,表示队列为空,反之则不为空
void QPop(QE* pq)
{
assert(!QEmpty(pq));
//特殊情况:当只有一个结点时,如果直接free,pTail会变成野指针
if (pq->pHead == pq->pTail)
{
free(pq->pHead);
pq->pHead = pq->pTail = NULL;
}
else
{
QueueNode* next = pq->pHead->next;
free(pq->pHead);
pq->pHead = next;
}
}出队
1.判断队列是否为空
2.分情况讨论。如果队列只有一个结点,我们如果直接把pHead给free掉,那么pTail就变为野指针,所以我们在出队后要将pTail置为NULL。而有多个结点时,我们需要一个临时变量来记录队头的下一个结点,然后进行出队操作,最后将pHead转移到新的队头
QDateType QFront(QE* pq)
{
assert(!QEmpty(pq));
return pq->pHead->date;
}取出队头的数据
1.判断队列是否为空
2.直接返回pHead中存储的数据即可
QDateType QBack(QE* pq)
{
assert(!QEmpty(pq));
return pq->pTail->date;
}取出队尾的数据
1.判断队列是否为空
2.直接返回pTail中存储的数据即可
int QCheck(QE* pq)
{
assert(pq);
int size = 0;
QueueNode* pcur = pq->pHead;
while (pcur)
{
size++;
pcur = pcur->next;
}
return size;
}返回队列中有效数据的个数
1.判断传入的pq是否为假
2.定义一个变量size来记录有效数据的个数,之后再遍历数组,就得到了队列有效数据的个数
void QDestory(QE* pq)
{
assert(pq);
QueueNode* pcur = pq->pHead;
while (pcur)
{
QueueNode* next = pcur->next;
free(pcur);
pcur = next;
}
pq->pHead = pq->pTail = NULL;
}销毁队列
1.判断传入的pq是否为假
2.创建临时变量pcur和next来记录当前结点和当前结点的下个结点,然后遍历数组一个个销毁,最后将pHead和pTail置为NULL即可
三.总结
栈和队列其实就是之前所学的线性表和链表的变式,只不过因结构不同而有不同的功能。这节知识涉及到先前讲的线性表和链表,如果有不懂的可以看我之前的文章。记得写一个功能,就检测一个功能。