前言 1400分即为一个分水岭,相关题目需要思维与较强代码能力,我本人也是困在这个分水岭一段时间了,并且相关题解对于新手来说很不友好,可能会用到c++17,甚至20语法,并且个人特色非常鲜明。而我都会用简洁,大家都能听懂的语言,并配上图片讲解,代码也只用C++98的语法,尽量让大家都能听懂。
此系列尽量每星期一更,希望能帮到大家
题目为我一星期做到三四十道题精心挑选的7道,都值得一做
连接: Problem - 1919C - Codeforces 比赛场次: Hello 2024 C
思维量: 5星 代码难度: 3星 前置知识: 无
题目大意: 一个数列,顺序不变,无损拆成2个,当前数大于后数结果+1,求结果最小值。
如:3,1,2,5,4 如果拆成3,1,2与5,4的组合,结果是1(仅1<2让结果+1)。
模型抽象 与其说将数组拆开,不如将数组分配。 将num数组分配到a1,a2两个数组上,这样结果也好统计。 并且结果是否++只取决于a1,a2数组的最后一个元素。
假设两个元素大的为M,小的为m,那怎么尾插数字呢? 首先,m,M将数轴分为了3个区域:不会+1区(m往左),可能+1区(m~M),一定+1区(M往右)。

我们要让m,M尽量变大,并且答案尽可能不++。




此时为:(答案+1与答案不变)vs(答案不变+答案不变),第二种更优。

此时为:(答案+1与答案+1)vs(答案不变+答案+1),都一样。 因此,第二种获胜,即将x放到M中。
问题解决 因此,
代码分享
#define _CRT_SECURE_NO_WARNINGS
#include<iostream>
#include<string>
#include<vector>
#include<set>
#include<map>
#include<unordered_map>
#include<unordered_set>
#include<algorithm>
#include <cstring>
#include<cmath>
#include<queue>
#include <deque>
#include <stack>
#include<iomanip>
#include <chrono>
#include<random>
using namespace std;
//typedef __int128 ll;
typedef long long ll;
typedef unsigned long long ull;
#define int long long
#define y2 my_y2
#define y1 my_y1
typedef pair<int, int> PII;
//ios::sync_with_stdio(false);
//cin.tie(nullptr);
using namespace std;
int num[200010];
int a1[200010];
int a2[200010];
int pos1;
int pos2;
void solve()
{
int n; cin >> n;
for (int i = 1; i <= n; i++)
{
cin >> num[i];
a1[i] = 0;
a2[i] = 0;
}
a1[0] = a2[0] = 0x3f3f3f3f;
pos1 = 0; pos2 = 0;
int ret = 0;
for (int i = 1; i <= n; i++)
{
int x = a1[pos1];
int y = a2[pos2];
int z = num[i];
if (x < y)
{
if (z <= x)
{
a1[++pos1] = z;
}
else if (z > y)
{
a1[++pos1] = z;
ret++;
}
else
{
a2[++pos2] = z;
}
}
else
{
if (z <= y)
{
a2[++pos2] = z;
}
else if (z > x)
{
a2[++pos2] = z;
ret++;
}
else
{
a1[++pos1] = z;
}
}
}
cout << ret << endl;
}
signed main()
{
int t; cin >> t;
while (t--)solve();
return 0;
}连接: Problem - 2069C - Codeforces 比赛场次: Educational round 174 C
思维量: 5星 代码难度: 2星 前置知识: 基础动态规划,数学归纳法
题目大意: 1,2,3三个数组组成的数组,求子序列美丽数组个数 美丽数组:元素前面有值比它小,后面有值比它大的元素,首尾元素不用看两边 如1,2,2,3(1比2小,3比2大)
模型抽象 首先,元素只有1,2,3,美丽子序列符合 根据性质1:元素前面有值比它小 a2>a1 a3>(a1或a2),因此a3>=a2>a1 a4>(a1或a2或a3),因此......a4>=a3>=a2>a1 有传递性,因此a1一定是断层最小的数
同理,根据性质2:后面有值比它大 an-1<an an-2<(an-1或an) 所以an>an-1>=an-2>=an-3...... 结论,a1为1,an为3,中间为2 即1,2,......2,3为美丽子序列充要条件 即找两端1,3,中间2子数组个数
题目解决 首先,我们可以暴力枚举1,3对,再用前缀数组求出中间2的个数k,再2^k-1即为此个1,3对的完美子序列个数,这里可以快速幂,但是,时间复杂度为n^2logn,会超时。
动态规划优化 首先,介绍状态机dp 我们这道题有4种状态,空数组,只有1的数组,1,2,......2数组,1,2......2,3数组 其中只有最后一个是定型的,其它都可以继续生长
本题最难的部分来了! 我们先模拟一下数组1,2,1,2,3(相同数字用粗体区分) 先放四个区 区1:只有1的数组 区2:1,2,......2数组 区3:1,2......2,3数组(已经定型)
先遍历数组
我们设三种状态分别为dp[1],dp[2],dp[3] 方法总结:遍历数组,1就是dp[1]++ 2由于能接到区域2,区域1上面,因此dp[2]=dp[2]*2+dp[1] 3只能接到区3后面,因此dp[3]=dp[2]+dp[3] 由于只有区3是定型的,因此最后答案就是dp[3]的值
代码分享
#define _CRT_SECURE_NO_WARNINGS
#include<iostream>
#include<string>
#include<vector>
#include<set>
#include<map>
#include<unordered_map>
#include<unordered_set>
#include<algorithm>
#include <cstring>
#include<cmath>
#include<queue>
#include <deque>
#include <stack>
#include<iomanip>
#include <chrono>
#include<random>
using namespace std;
//typedef __int128 ll;
typedef long long ll;
typedef unsigned long long ull;
#define int long long
#define y2 my_y2
#define y1 my_y1
typedef pair<int, int> PII;
//ios::sync_with_stdio(false);
//cin.tie(nullptr);
using namespace std;
int num[200010];
const int mod = 998244353;
int add(int a, int b)
{
return (a + b) % mod;
}
void solve()
{
int n; cin >> n;
for (int i = 1; i <= n; i++)
{
cin >> num[i];
}
int dp[4] = { 0 };
dp[0] = 1;
for (int i = 1; i <= n; i++)
{
if (num[i] == 2)
{
dp[2] = add(dp[2], dp[2]);
}
dp[num[i]] = add(dp[num[i] - 1], dp[num[i]]);
}
cout << dp[3] << endl;
}
signed main()
{
int t; cin >> t;
while (t--)solve();
return 0;
}连接: Problem - 2033C - Codeforces 比赛场次: Round 981 div3 C
思维量: 3星 代码难度: 2星 难题做多了,弄点简单的休息一下 前置知识: 基础动态规划
题目大意: 能否通过不限次数的轴对称交换(换第 i , n−i+1个元素)使得相邻数字相等最少?回答最小值
题目样例分析 2 1 1 2 2 4 从中间的1,2开始,向两边扩散,两边是1,2,只用旋转为2,1就可以与中间不同 再向两边扩散 较中间元素为1,2,两边元素为2,4 两种情况 2,1中间数字2,4和4,1中间数字2,2 显然第一种更优
模型抽象 我们只用从中间往两边扩,判断答案最少会因为这一层加几即可
代码分享
#define _CRT_SECURE_NO_WARNINGS
#include<iostream>
#include<string>
#include<vector>
#include<set>
#include<map>
#include<unordered_map>
#include<unordered_set>
#include<algorithm>
#include <cstring>
#include<cmath>
#include<queue>
#include <deque>
#include <stack>
#include<iomanip>
#include <chrono>
#include<random>
using namespace std;
//typedef __int128 ll;
typedef long long ll;
typedef unsigned long long ull;
#define int long long
#define y2 my_y2
#define y1 my_y1
typedef pair<int, int> PII;
//ios::sync_with_stdio(false);
//cin.tie(nullptr);
using namespace std;
int num[200010];
int dp[200010];
void solve()
{
int n; cin >> n;
for (int i = 1; i <= n; i++)
{
cin >> num[i];
dp[i] = 0;
}
int k = (n+1) / 2;
int l = 0; int r = 0;
int ret = 0;
if (n % 2 == 1)
{
r=l = n / 2 + 1;
}
else
{
l = n / 2;
r = n / 2 + 1;
if (num[l] == num[r])ret++;
}
for (int i = 1; i <= (n-1)/2; i++)
{
int c = min((num[l - 1] == num[l] ? 1 : 0) + (num[r + 1] == num[r] ? 1 : 0), (num[l - 1] == num[r] ? 1 : 0) + (num[r + 1] == num[l] ? 1 : 0));
dp[i + 1] = dp[i] + c;
l--; r++;
}
cout << dp[(n + 1) / 2]+ret << endl;
}
signed main()
{
int t; cin >> t;
while (t--)solve();
return 0;
}连接: Problem - 1997D - Codeforces 比赛场次: Educational round 168 D
思维量: 4星 代码难度: 4星
题目大意: 二叉树,1号节点为根,进行不限次操作,节点+1,节点下面所有子节点-1,所有节点不能变为负数,问1号根节点最后最大值
题目用例分析

0------1 0------1 1------0 | | | 0 -> 1 -> 0 | | | 2 1 0

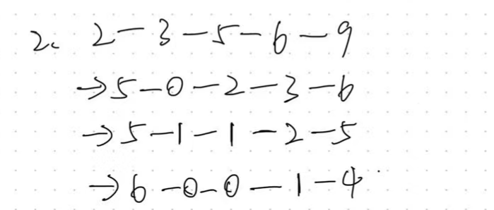
2------3------5------6------9 ->5------0------2------3------6 ->5------1------1------2------5 ->6------0------0------1------4
模型抽象 由此我们现总结规律:
因此,这道题本质上就是在试错的过程: 1号节点可以+10吗?------不行 那可以+1吗?------可以 那可以+5吗?------可以 那可以+7吗?------不行............ 那这不就是二分查找吗
我们先用送给check函数一个值k,看看是否根节点具有+k的实力 判断规则,即为
拿什么时候定音呢
代码分享
#define _CRT_SECURE_NO_WARNINGS
#include<iostream>
#include<string>
#include<vector>
#include<set>
#include<map>
#include<unordered_map>
#include<unordered_set>
#include<algorithm>
#include <cstring>
#include<cmath>
#include<queue>
#include <deque>
#include <stack>
#include<iomanip>
#include <chrono>
using namespace std;
//typedef __int128 ll;
typedef long long ll;
typedef unsigned long long ull;
#define int long long
#define y2 my_y2
#define y1 my_y1
typedef pair<int, int> PII;
//ios::sync_with_stdio(false);
//cin.tie(nullptr);
int num[200010];
vector<int> tu[200010];
bool check(int ro, int s)
{
if (s > 1e9 + 10)return false;
////if (ro == 1 && num[ro] >= s)return 1;
if (tu[ro].size() == 0)
{
return num[ro] >= s;
}
if (s <= num[ro])
{
for (int i = 0; i < tu[ro].size(); i++)
{
if (!check(tu[ro][i], s))return false;
}
}
else
{
for (int i = 0; i < tu[ro].size(); i++)
{
int p = 2 * s - num[ro];
if (!check(tu[ro][i], p))return false;
}
}
return 1;
}
bool _check(int s)
{
for (int i = 0; i < tu[1].size(); i++)
{
int p = tu[1][i];
if (!check(p, s))return 0;
}
return 1;
}
void solve()
{
int n; cin >> n;
for (int i = 1; i <= n; i++)
{
cin >> num[i];
tu[i].clear();
}
for (int i = 1; i < n; i++)
{
int a; cin >> a;
tu[a].push_back(i + 1);
}
int l = 0; int r = 1e9 + 5;
while (l < r)
{
int m = (l + r + 1) / 2;
if (_check(m)) l = m;
else r = m - 1;
}
cout << num[1] + l << endl;
}
signed main()
{
int t; cin >> t;
while (t--)solve();
return 0;
}连接: Problem - 1924A - Codeforces 比赛场次: Round 921 div1 A
思维量: 3星 代码难度: 2星
题目大意: 字符串中,是否能挑出m个字符长度的子串,可以涵盖字母表前k个字母长度为m的排列?不行的话输出哪个不行
题目用例讲解 2 2 4 abba K=2,m=2 字母表前2个字母为a,b 长为m(2)的所有排列为:aa,ab,ba,bb 这些都有,因此可以
3 3 10 aabbccabab K=3,m=3 字母表前3个字母为a,b,c 长为m(3)的所有排列为:aaa,bbb,ccc,aab...... 没有ccc,不行,输出ccc即可
模型抽象 我们先取m=3,k=3,看看什么字符串满足要求 首先,abcabcabc是满足要求的,因为可以先从第一组abc里取出a/b/c,再从第二组abc里取出a/b/c...... 因此,猜想:是否有m组完整的k个字母组就可行?

显然m组k字母循环是一定可行的,那它是不是最优呢

假设每个abc组的最后一个字母都是c,那么abc组前面就是a,b两个字母 那我们ccc这个排列时,就要组一最后一个c搭配组二最后一个c搭配组三最后一个c 恰好是最极限的情况 因此,理论上是最优解的
怎么找反例? 由上文,我们可知只需要用最极限的用例为难它 即为将每一个组的最后一个元素给放出来,直到最后一组,选没有的字符 比如 aabbccabab 分组 aabbc|||cab|||ab 第一组,第二组abc齐全,但第三组缺c,因此反例最后一个元素为c 其他组选最后一个,即为c,b,c 显然是不含这个子数组的
代码分享
#define _CRT_SECURE_NO_WARNINGS
#include<iostream>
#include<string>
#include<vector>
#include<set>
#include<map>
#include<unordered_map>
#include<unordered_set>
#include<algorithm>
#include <cstring>
#include<cmath>
#include<queue>
#include <deque>
#include <stack>
#include<iomanip>
#include <chrono>
using namespace std;
//typedef __int128 ll;
typedef long long ll;
typedef unsigned long long ull;
#define int long long
#define y2 my_y2
#define y1 my_y1
typedef pair<int, int> PII;
//ios::sync_with_stdio(false);
//cin.tie(nullptr);
void solve()
{
int n; int k; int m;
cin >> n >> k >> m;
string s; cin >> s;
s = " " + s;
int tmp[30] = { 0 };
int cnt = 0;
int c = 0;
string ret;
for (int i = 1; i <= m; i++)
{
if (tmp[s[i] - 'a'] == 0)
{
cnt++;
tmp[s[i] - 'a']++;
}
if (cnt == k)
{
cnt = 0;
c++;
for (int i = 0; i <= 29; i++)
{
tmp[i] = 0;
}
ret += s[i];
}
}
if (ret.size() < n)
{
for (int i = 0; i < k; i++)
{
if (tmp[i] == 0)
{
ret += ('a' + i);
break;
}
}
}
while (ret.size() < n)
{
ret += 'a';
}
if (c < n)
{
cout << "NO" << endl;
cout << ret << endl;
}
else
{
cout << "YES" << endl;
}
}
signed main()
{
int t; cin >> t;
while (t--)solve();
return 0;
}连接: Problem - C - Codeforces 比赛场次: Round 1069 div2
思维量: 4星 代码难度: 2星
题目大意: 将字符串t重新排列,使字符串s为子串情况下字典序最小
题目用例解析: S:dcbe T:bedbaecfc 首先,结果里一定要有d c b e这个顺序的字符排列,就相当于将t剩下的字符重新排列,插入s中 因此,就变成了dcbe,abcef如何排列字典序最小
模型抽象 显然,哪个字符小就放哪个到第一位 因此,就为a b c d c e e f
但是,如果有相同的字符呢 不要忽略一个条件,t剩下的字符是重新排列过的,因此后面的字母一定>=前面字母 但是s没排列过,因此后面字符可能小于前面的,先排s的字符只会更容易遇到小的字母降低字典序
如cb,cd 在排到c后,如果先排s,结果是cbcd,先t,结果为ccbd,结果前面小,就是因为先遇到了小的字符,先进入排列,让结果更小
代码分享
#define _CRT_SECURE_NO_WARNINGS
#include<iostream>
#include<string>
#include<vector>
#include<set>
#include<map>
#include<unordered_map>
#include<unordered_set>
#include<algorithm>
#include <cstring>
#include<cmath>
#include<queue>
#include <deque>
#include <stack>
#include<iomanip>
#include <chrono>
using namespace std;
//typedef __int128 ll;
typedef long long ll;
typedef unsigned long long ull;
#define int long long
#define y2 my_y2
#define y1 my_y1
typedef pair<int, int> PII;
//ios::sync_with_stdio(false);
//cin.tie(nullptr);
void solve()
{
string a; string b;
cin >> a >> b;
int tmp[30] = { 0 };
for (int i = 0; i < b.size(); i++)
{
tmp[b[i] - 'a']++;
}
for (int i = 0; i < a.size(); i++)
{
tmp[a[i] - 'a']--;
if (tmp[a[i] - 'a'] < 0)
{
cout << "Impossible" << endl;
return;
}
}
string p;
for (int i = 0; i < 26; i++)
{
for (int j = 1; j <= tmp[i]; j++)
{
p += ('a' + i);
}
}
int c1 = 0; int c2 = 0;
string ret;
while (c1 < a.size() && c2 < p.size())
{
if (a[c1] <= p[c2])
{
ret += (a[c1++]);
}
else
{
ret += p[c2++];
}
}
while (c1 < a.size())
{
ret += a[c1++];
}
while (c2 < p.size())
{
ret += p[c2++];
}
cout << ret << endl;
}
signed main()
{
int t; cin >> t;
while (t--)solve();
return 0;
}连接: Problem - 2164C - Codeforces 比赛场次: Global round 30 div2 c
思维量: 3星 代码难度: 4星 前置知识: set,multi-set的使用
题目大意: 有剑(伤害ai),怪物(血量bi,ci不为0就死后掉装备,掉max(ai,ci)),问能杀多少怪
题目用例分析 a:1,7,7(伤害) b:2 ,2,2,6,6(怪物血量) c:7,2,0,2,0(掉装备) 首先,先用7伤害的剑杀(2,7)的怪,掉7, 先用7伤害的剑杀(2,2)的怪,掉7, 先用7伤害的剑杀(6,2)的怪,掉7, 再将c为0的怪一网打尽
模型抽象 由此,我们知道,打c不为0的怪就是装备升级游戏,只可能装备变好 但是打c为0的怪就会装备降级,因为它不会掉剑
结论1:为了尽可能多打怪,先打c不为0的 结论2:我们打血量为2的怪,只会拿伤害3的剑,不会拿伤害为4的 在打升级系的怪时,由于我们只可能升级,因此先从小怪开始,用他们可能得到的更强力装备去打大怪 结论3:先小怪后大怪
题目解决 为了快速找到可以击杀怪的最小剑,我们弄一个multi-set维护,以快速查找最适合的剑(由于set会自动去掉重复的,因此用multi-set),再遍历ci不为0的怪,升级装备 最后才去打c=0的怪
代码分享
#define _CRT_SECURE_NO_WARNINGS
#include<iostream>
#include<string>
#include<vector>
#include<set>
#include<map>
#include<unordered_map>
#include<unordered_set>
#include<algorithm>
#include <cstring>
#include<cmath>
#include<queue>
#include <deque>
#include <stack>
#include<iomanip>
#include <chrono>
using namespace std;
//typedef __int128 ll;
typedef long long ll;
typedef unsigned long long ull;
#define int long long
#define y2 my_y2
#define y1 my_y1
typedef pair<int, int> PII;
//ios::sync_with_stdio(false);
//cin.tie(nullptr);
int num[200010];
struct node
{
int bl;
int ge;
}sow[200010], zeo[200010],nzeo[200010];
int pos;
int pos2;
bool cmp2(node& a, node& b)
{
if(a.bl!=b.bl)
return a.bl < b.bl;
return a.ge < b.ge;
}
void solve()
{
int n; cin >> n;
int k; cin >> k;
multiset<int> se;
pos = pos2 = 0;
for (int i = 1; i <= n; i++)
{
cin >> num[i];
se.insert(num[i]);
}
for (int i = 1; i <= k; i++)
{
cin >> sow[i].bl;
}
for (int i = 1; i <= k; i++)
{
cin >> sow[i].ge;
}
int ret = 0;
//priority_queue<int, vector<int>, cmp> heap;
sort(num + 1, num + n + 1);
sort(sow + 1, sow + 1 + k, cmp2);
for (int i = 1; i <= k; i++)
{
if (sow[i].ge == 0)
{
nzeo[++pos2].bl = sow[i].bl;
nzeo[pos2].ge = sow[i].ge;
}
else
{
zeo[++pos].bl = sow[i].bl;
zeo[pos].ge = sow[i].ge;
}
}
for (int i = 1; i <= pos; i++)
{
auto it = se.lower_bound(zeo[i].bl);
//--it;
int t = *it;
if (it == se.end())
{
continue;
}
se.erase(it);
ret++;
se.insert(max(t,zeo[i].ge));
}
for (int i = 1; i <= pos2; i++)
{
auto it = se.lower_bound(nzeo[i].bl);
if (it == se.end())
{
continue;
}
se.erase(it);
ret++;
}
cout << ret << endl;
}
signed main()
{
int t; cin >> t;
while (t--)solve();
return 0;
}