
1.服务器资源申请,创建容器返回一个ssh ip:端口号 用户名+密码
2.打开本地vscode-远程资源管理器-输入 ssh user:ip:port
password




3.提示错误
远程服务器需要具备的条件




4.服务器的需求
winscp
系统
cat /etc/os-release架构
uname -m软件更新
sudo apt update && sudo apt install -y curl unzip tar bash wget检查本地ssh和vscode管理员权限
插件remote-ssh
在 Windows 上,打开“控制面板”→“程序和功能”→“启用或关闭 Windows 功能”,勾选OpenSSH 客户端
which curl unzip tar bash # 全部输出路径(如/usr/bin/curl)才算补全
sudo apt install unzip
Git for Windows 安装时勾选「Use OpenSSH」
vscode remote.SSH.path 配置 C:\Program Files\Git\usr\bin\ssh.exe
密钥对=公钥+私钥 =非对称加密
公开的钥匙
私有的钥匙
数据通过公钥加密后,只能私钥解密,也即是只有你能看到加密的内容
私钥签名的数据,使用公钥可以证明是你的,没办法伪造
本地服务器保存私钥,远程服务器保存公钥
RSA 算法生成公钥 / 私钥
私钥=质数
公钥=大数=两个质数乘法
流程(私钥没有进行明文传输)
加密-解密-签名-验证
客户端发连接请求, 服务器返回一个 公钥加密的随机数
客户端使用私钥解密随机数,再对随机数签名,发给服务器
服务器用公钥验证签名
实际p,q质数是2048位以上的超大质数
大数n=p*q
欧拉函数:小于等于n,且与n互质的正整数的个数
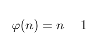
n是质数,欧拉n=n-1
欧拉pq=欧拉p欧拉q=(p-1)(q-1)
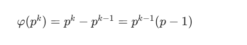
n是质数p的k次方时
欧拉n=p^k=p^(k-1)(p-1)
原理:小于\(p^k\)的数中,只有p的倍数不与\(p^k\)互质,这样的数共有\(p^{k-1}\)个,因此总数减去这个数就是互质数的个数。
质因素分解:n=不同质数的次方乘积






原创声明:本文系作者授权腾讯云开发者社区发表,未经许可,不得转载。
如有侵权,请联系 cloudcommunity@tencent.com 删除。
原创声明:本文系作者授权腾讯云开发者社区发表,未经许可,不得转载。
如有侵权,请联系 cloudcommunity@tencent.com 删除。