以下从核心定义、直流增益、小信号传递函数(含关键参数)、动态特性核心四个维度,对三种 DC-DC 转换器的输入输出传递函数(输出电压对占空比的响应

)进行结构化总结,聚焦工程应用核心信息,便于快速查阅与对比。
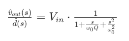
所有传递函数均基于以下假设: 工作在连续导电模式(CCM)(电感电流始终大于 0); 忽略元件寄生参数(电感电阻、开关管导通电阻等),仅考虑理想 L、C、开关管; 小信号近似:变量分解为 “直流稳态分量 + 小信号扰动分量”(如 d=D+ ^d, ^d ≪D); 输出电容等效串联电阻(ESR)默认忽略,需考虑时单独标注修正项。

关键参数:

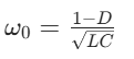
谐振频率:

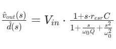
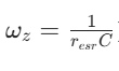
ESR 修正项(实际应用): 若考虑电容 ESR(resr),引入左半平面零点(LHPZ),传递函数修正为:

(零点频率:

)

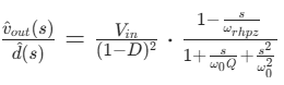
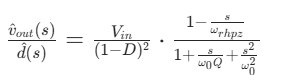
(物理意义:增益与 (1−D) ^2 成反比,D 越接近 1,增益越大) 小信号传递函数:

关键参数: 谐振频率:

品质因数:

右半平面零点:


(与 Boost 完全一致,增益与升降压模式无关,仅依赖 Vin和 D) 小信号传递函数:

(公式与 Boost 完全相同,动态特性继承 Boost 的 RHPZ 特征)
关键参数: 与 Boost 完全一致:
谐振频率:

品质因数:

右半平面零点:


选型依据: 需降压 + 高稳定性 / 快响应 → 选 Buck; 需升压 + 升压比≤5 倍 → 选 Boost(需 Type III 补偿); 需宽范围升降压 → 选 Buck-Boost(接受动态劣势)。
RHPZ 应对: Buck:无RHPZ,相位滞后较小,易于控制。
Boost/Buck-Boost:存在RHPZ,导致高频段相位提升(非最小相位系统),需更谨慎设计补偿网络。一般的Boost/Buck-Boost 需通过 “提高开关频率”“减小 L 值” 提升 ω rhpz,或用 Type III 补偿网络抵消相位影响。
元件影响: L/C 越大 → ω0越低 → 动态响应越慢,但纹波越小; R 越大(轻载) → Q 越小 → 阻尼越强 → 稳定性越好但带宽越窄。
最后在实际应用中也需要更具自身需求来进行设计。