开关电源通过高频开关器件(如MOSFET)控制能量传递,实现高效电压转换。常见拓扑包括Buck(降压)、Boost(升压)和Buck-Boost(升降压),其核心差异在于电感、开关和二极管的连接方式。
为了研究含有交流小信号分量的直流直流变换器动态特性,目前已提出了多种直流一直流变换器的交流小信号分析方法,这些方法可以为变换器建立解析模型或等效电路模型,并分析变换器的低频动态特性等。本节将介绍交流小信号建模方法的基本思路及其应用,包括根据解析模型建立交流小信号的等效电路模型,及分析变换器的低频动态特性等。
下面以CCM模式下理想情况Boost变换器进行建模:
满足3个假设:
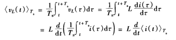
将开关周期内的电压、电流取平均值,消去高频开关纹波,保留直流和低频小信号分量(定义变量 x(t) 的平均值:

(1-0)
Boost有2种工作状态(开关导通/关断),分别列写电感电压、电容电流的方程,再取周期平均:



将式 (1-1)和(1-3)代入此式可得

(1-5) 化简有

(1-6) 由式(1-0)有

(1-7) 代入 (1-6)有

(1-8)
同理可得


(1-9)

(1-10)
(含占空比 d(t) ,仍是非线性的)。
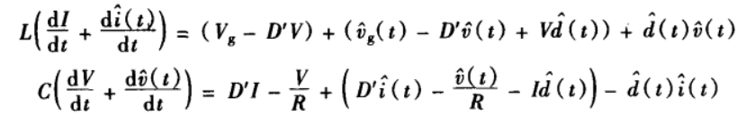
将所有平均变量拆分为“直流分量+小信号分量”:

将上式分别代入(1-8)和(1-10)有

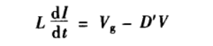
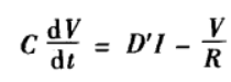
对应直流量相等有

(1-11)

(1-12) 当进入稳态时对应两式(1-11)、(1-12)等于0有


对应分流相等有


忽略小信号的乘积项(二阶小量),得到线性小信号状态方程:

;

。
根据线性化中电容电感的式子画出s域等效电路图 有

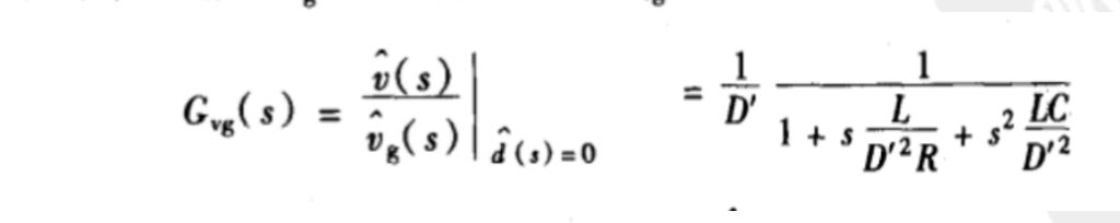
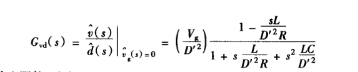
最终得到s域等效电路,可直接分析传递函数:

(体现输入电压对输出的影响);

(体现占空比对输出的控制作用)。
本介绍是基于开关变换器的建模与控制+张卫平编著