1.⼆叉搜索树的概念
⼆叉搜索树⼜称⼆叉排序树,它或者是⼀棵空树,或者是具有以下性质的⼆叉树:
若它的左⼦树不为空,则左⼦树上所有结点的值都⼩于等于根结点的值
若它的右⼦树不为空,则右⼦树上所有结点的值都⼤于等于根结点的值
它的左右⼦树也分别为⼆叉搜索树
⼆叉搜索树中可以⽀持插⼊相等的值,也可以不⽀持插⼊相等的值,具体看使⽤场景定义

2.⼆叉搜索树的性能分析
最优情况下,⼆叉搜索树为完全⼆叉树(或者接近完全⼆叉树),其⾼度为: O (log 2 N )
最差情况下,⼆叉搜索树退化为单⽀树(或者类似单⽀),其⾼度为: O ( 2/N)
所以综合⽽⾔⼆叉搜索树增删查改时间复杂度为: O ( N )
那么这样的效率显然是⽆法满⾜我们需求的,我们后续课程需要继续讲解⼆叉搜索树的变形,平衡⼆ 叉搜索树AVL树和红⿊树,才能适⽤于我们在内存中存储和搜索数据。
另外需要说明的是,⼆分查找也可以实现 O ( logN ) 级别的查找效率,但是⼆分查找有两⼤缺陷:
1. 需要存储在⽀持下标随机访问的结构中,并且有序。
2. 插⼊和删除数据效率很低,因为存储在下标随机访问的结构中,插⼊和删除数据⼀般需要挪动数
据。
这⾥也就体现出了平衡⼆叉搜索树的价值。
3.二叉树的插入
1. 树为空,则直接新增结点,赋值给root指针
2. 树不空,按⼆叉搜索树性质,插⼊值⽐当前结点⼤往右⾛,插⼊值⽐当前结点⼩往左⾛,找到空位
置,插⼊新结点。
3. 如果⽀持插⼊相等的值,插⼊值跟当前结点相等的值可以往右⾛,也可以往左⾛,找到空位置,插⼊新结点。(要注意的是要保持逻辑⼀致性,插⼊相等的值不要⼀会往右⾛,⼀会往左⾛)



4.二叉搜索树的查找
1. 从根开始⽐较,查找x,x⽐根的值⼤则往右边⾛查找,x⽐根值⼩则往左边⾛查找。
2. 最多查找⾼度次,⾛到到空,还没找到,这个值不存在。
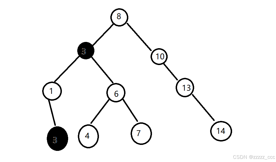
3. 如果不⽀持插⼊相等的值,找到x即可返回
4. 如果⽀持插⼊相等的值,意味着有多个x存在,⼀般要求查找中序的第⼀个x。如下图,查找3,要
找到1的右孩⼦的那个3返回

5.⼆叉搜索树的删除
⾸先查找元素是否在⼆叉搜索树中,如果不存在,则返回false。
如果查找元素存在则分以下四种情况分别处理:(假设要删除的结点为N)
1. 要删除结点N左右孩⼦均为空
2. 要删除的结点N左孩⼦位空,右孩⼦结点不为空
3. 要删除的结点N右孩⼦位空,左孩⼦结点不为空
4. 要删除的结点N左右孩⼦结点均不为空
对应以上四种情况的解决⽅案:
1. 把N结点的⽗亲对应孩⼦指针指向空,直接删除N结点(情况1可以当成2或者3处理,效果是⼀样
的)
2. 把N结点的⽗亲对应孩⼦指针指向N的右孩⼦,直接删除N结点
3. 把N结点的⽗亲对应孩⼦指针指向N的左孩⼦,直接删除N结点
4. ⽆法直接删除N结点,因为N的两个孩⼦⽆处安放,只能⽤替换法删除。找N左⼦树的值最⼤结点
R(最右结点)或者N右⼦树的值最⼩结点R(最左结点)替代N,因为这两个结点中任意⼀个,放到N的
位置,都满⾜⼆叉搜索树的规则。替代N的意思就是N和R的两个结点的值交换,转⽽变成删除R结
点,R结点符合情况2或情况3,可以直接删除。



6.二叉搜索树的实现
#pragma once
#include<iostream>
using namespace std;
namespace key
{
template<class K>
struct BSTNode
{
K _key;
BSTNode* _left;
BSTNode* _right;
BSTNode(const K& key)
; _key(key)
, _left(nullptr)
, _right(nullptr)
{}
};
template<class K>
class BSTree
{
using Node = BSTNode<K>;
public:
bool Insert(const K& key)
{
if (_root == nullptr)
{
_root = new Node(key);
return true;
}
Node* parent = nullptr;
Node* cur = _root;
while (cur)
{
if (cur->_key < key)
{
parent = cur;
cur = cur->_right;
}
else if (cur->_key > key)
{
parent = cur;
cur = cur->_left;
}
else
return false;
}
cur = new Node(key);
if (parent->_key < key)
{
parent->_right = cur;
}
else
{
parent->_left = cur;
}
}
bool Find(const Node& key)
{
Node* cur = _nood;
while (cur)
{
if (cur->_key < key)
cur = cur->_right;
else if (cur->_key > key)
cur = cur->left;
else
return true;
}
return false;
}
bool Earse(const Node* key)
{
Node* cur = _root;
Node* parent = nullptr;
while (cur)
{
if (cur->_key < key)
{
parent = cur;
cur = cur->_right;
}
else if (cur->_key > key)
{
parent = cur;
cur = cur->_left;
}
else
{
//左为空
if (cur->_left == nullptr)
{
if (cur == _nood)
{
_nood = cur->_right
}
else
if(parent->_left == cur)
{
parent->_left = cur->_right;
}
else
{
parent->_right = cur->_right;
}
delete cur;
}
//右为空
else if (cur->_right == nullptr)
{
if (_nood == cur)
{
_nood = cur->_left;
}
else
{
if(parent->_right == cur)
{
parent->_right = cur->_left;
}
else
{
parent->_left = cur->_left;
}
}
delete cur;
}
//两边都不为空
// 右子树最左节点
else
{
Node* replaceParent = cur;
Node* replace = cur->_right;
while (replace->_left)
{
replaceParent = replace;
replace = replace->_left;
}
cur->_key = replace->_key;
if (replaceParent->_left == replace)
replaceParent->_left = replace->_right;
else
replaceParent->_right = replace->_right;
delete replace;
}
return true;
}
}
return false;
}
void InOrder()
{
_InOrder(_root);
cout << endl;
}
private:
void _InOrder(Node* root)
{
if (root == nullptr)
{
return;
}
_InOrder(root->_left);
cout << root->_key << " ";
_InOrder(root->_right);
}
private:
Nood* _nood = nullptr;
};
}