首页
学习
活动
专区
圈层
工具
发布
社区首页 >专栏 >【落羽的落羽 数据结构篇】树、二叉树

【落羽的落羽 数据结构篇】树、二叉树

作者头像
用户11956881
发布2025-12-18 19:04:05
发布2025-12-18 19:04:05
70
举报
在这里插入图片描述
在这里插入图片描述

一、树

1. 树的概念和结构

之前我们学习了线性表,今天我们再来接触一种全新的数据结构——树。 树是一种非线性的数据结构,它是由有限个结点组成的一个具有层次关系的结构。把它称为树是因为它看起来就像一棵倒挂的树,根朝上而叶朝下。

现实中的树:

现实中的树
现实中的树

树形结构:

在这里插入图片描述
在这里插入图片描述

关于数据结构树:

  • 它有一个根结点,根结点没有前驱结点,如上图的A就是这棵树的根结点。
  • 除根结点外,其余结点被分为有限个互不相交的集合,每一个集合都是一棵子树,每棵子树有且只有一个前驱结点,可以没有后继或多个后继结点。因此,树是递归定义的。
  • 子树不能有交集,否则就不是树形结构。
  • 一棵有n个结点的树有n - 1条边

2. 树的相关术语

  • 父结点/双亲结点:若一个结点有子结点,则这个结点是其子节点的父结点。如上图,A是B、C、D、E的父结点,C是H的父结点。
  • 子结点/孩子结点:若一个结点含有子树,则子树的根结点称为该结点的子结点。如上图,B、C、D、E是A的子结点,K是F的子结点。
  • 结点的度:一个结点有几个孩子,它的度就是多少。如上图,A的度是4,C的度是2,M的度是0。
  • 树的度:一棵树中,所有结点的度中的最大值就是这棵树的度。如上图,这棵树的度是6。
  • 叶子结点/叶节点/终端节点:度为0的结点。如上图,K、G、L、M、N、D、I、O都是叶子结点。
  • 分支结点/非终端结点:度不为0的结点。如上图,A、B、C、E、F、H、J都是分支结点。
  • 兄弟结点:具有相同父结点的结点互称为兄弟结点。如上图,B、C、D、E互称为兄弟结点,I、J互称为兄弟结点。
  • 结点的层次:从根结点开始定义,根结点在第1层,根结点的子结点在第2层,以此类推。如上图,D在第2层、N在第4层。
  • 树的高度/深度:树中结点的最大层次。如上图,这棵树的高度为4。
  • 路径:从一个结点到另一个结点的结序列,结点之间只能通过父子关系连接、如上图,A到L的路径为A-C-H-L,G到O的路径为G-C-A-E-J-O。
  • 结点的子孙:以一个结点为根结点的子树中的所有结点都称为该结点的子孙。如上图,除A外所有结点都是A的子孙,I、J、O都是E的子孙。
  • 结点的祖先:从根结点到一个结点所经分支上的所有结点称之为该节点的祖先。如上图,A是除自己外所有结点的祖先,A、B、F都是K的祖先。
  • 森林:若干棵互不相交的树的集合称为森林。
在这里插入图片描述
在这里插入图片描述

二、二叉树

1. 概念与结构

在树形结构中,我们最常用的就是二叉树。二叉树由根结点、左子树、右子树组成,或者为空。 二叉树的特点是:

  • 二叉树的度一定不大于2,也就是二叉树的每一个结点的子结点不多于2个。
  • 二叉树的子树有左右之分,次序不能颠倒。
在这里插入图片描述
在这里插入图片描述

2. 满二叉树

满二叉树是二叉树的特殊情形。一个二叉树如果每一层的结点数都达到最大值,它就是满二叉树。也就是除叶子结点外每一个结点都有两个子结点。不难计算,如果一个满二叉树的高度为k,则它的结点总数是2k -1(等比数列求和)

在这里插入图片描述
在这里插入图片描述

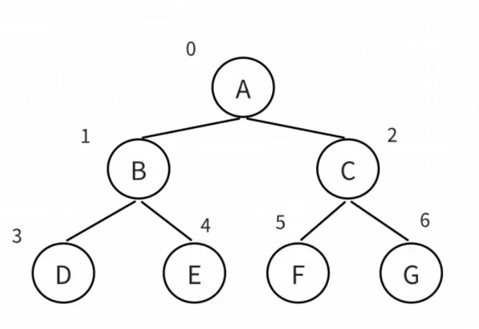
3. 完全二叉树

完全二叉树是由满二叉树引出来的。 我们首先要知道二叉树中结点的编号方式:从上到下,从左到右。从第一层开始从左到右从0开始依次编号,第一层编完第二层从左到右编号……直到所有结点编号完。

在这里插入图片描述
在这里插入图片描述

对于有n个结点的二叉树,若每一个结点都与深度相同的满二叉树的编号从0到n的结点一一位置对应,这个二叉树就是完全二叉树,满二叉树也是完全二叉树。 也可以理解为:完全二叉树的每一层结点个数达到最大,最后一层不一定达到最大,且结点是从左到右依次排列的。 比如,以下这些都是完全二叉树:

在这里插入图片描述
在这里插入图片描述

4. 二叉树的性质

  • 非空二叉树的第i层上最多有2i-1个结点
  • 深度为h的二叉树的结点数不多于2h-1
  • 具有n个结点的满二叉树的深度为log2(n+1)

5. 二叉树的存储结构

二叉树既可以用顺序结构存储,也可以用链式结构存储,我们之后都要学习。

本篇完,感谢阅读

本文参与 腾讯云自媒体同步曝光计划,分享自作者个人站点/博客。
原始发表:2025-05-09,如有侵权请联系 cloudcommunity@tencent.com 删除

本文分享自 作者个人站点/博客 前往查看

如有侵权,请联系 cloudcommunity@tencent.com 删除。

本文参与 腾讯云自媒体同步曝光计划  ,欢迎热爱写作的你一起参与!

评论
登录后参与评论
0 条评论
热度
最新
推荐阅读
目录
  • 一、树
    • 1. 树的概念和结构
    • 2. 树的相关术语
  • 二、二叉树
    • 1. 概念与结构
    • 2. 满二叉树
    • 3. 完全二叉树
    • 4. 二叉树的性质
    • 5. 二叉树的存储结构
领券
问题归档专栏文章快讯文章归档关键词归档开发者手册归档开发者手册 Section 归档