树是一种非线性的数据结构,它是由n(n>=0)个有限结点组成一个具有层次关系的集合。把它叫做树是因为它看起来像一棵倒挂的树,也就是说它是根朝上,而叶朝下的。它具有以下的特点:
(1)有一个特殊的结点,称为根结点,根结点没有前驱结点
(2)除根结点外,其余结点被分成M(M > 0)个互不相交的集合T1、T2、......、Tm,其中每一个集合Ti (1 <= i <= m) 又是一棵与树类似的子树。每棵子树的根结点有且只有一个前驱,可以有0个或多个后继
(3)树是递归定义的。


#注:树形结构中,子树之间不能有交集,否则就不是树形结构

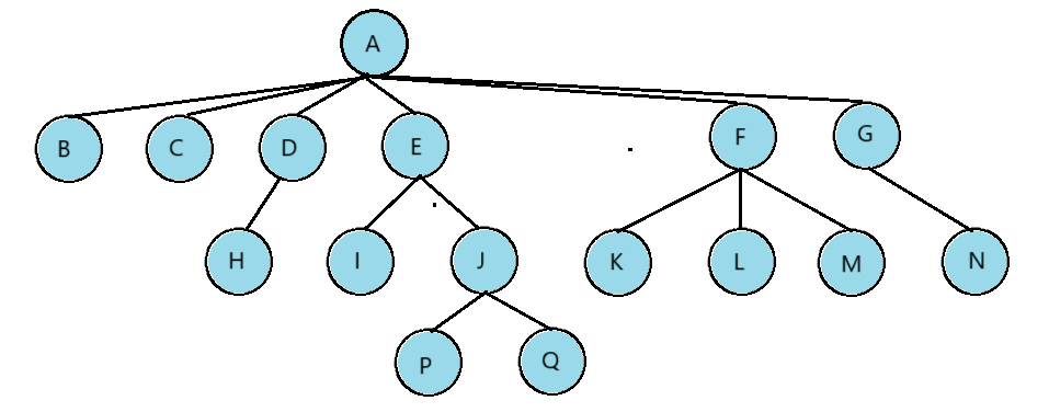
结点的度:一个结点含有子树的个数称为该结点的度; 如上图:A的度为6
树的度:一棵树中,所有结点度的最大值称为树的度; 如上图:树的度为6
叶子结点或终端结点:度为0的结点称为叶结点; 如上图:B、C、H、I...等节点为叶结点
双亲结点或父结点:若一个结点含有子结点,则这个结点称为其子结点的父结点; 如上图:A是B的父结点
孩子结点或子结点:一个结点含有的子树的根结点称为该结点的子结点; 如上图:B是A的孩子结点
根结点:一棵树中,没有双亲结点的结点;如上图:A
结点的层次:从根开始定义起,根为第1层,根的子结点为第2层,以此类推
树的高度或深度:树中结点的最大层次; 如上图:树的高度为4
以下概念只需了解,在看书时只要知道是什么意思即可:
非终端结点或分支结点:度不为0的结点; 如上图:D、E、F、G...等节点为分支结点
兄弟结点:具有相同父结点的结点互称为兄弟结点; 如上图:B、C是兄弟结点
堂兄弟结点:双亲在同一层的结点互为堂兄弟;如上图:H、I互为兄弟结点
结点的祖先:从根到该结点所经分支上的所有结点;如上图:A是所有结点的祖先
子孙:以某结点为根的子树中任一结点都称为该结点的子孙。如上图:所有结点都是A的子孙
森林:由m(m>=0)棵互不相交的树组成的集合称为森林
一棵二叉树是结点的一个有限集合,该集合:
(1)或者为空
(2)或者是由一个根节点加上两棵别称为左子树和右子树的二叉树组成。


从上图可以看出:
(1)二叉树不存在度大于2的结点
(2)二叉树的子树有左右之分,次序不能颠倒,因此二叉树是有序树
#注:对于任意的二叉树都是由以下几种情况复合而成的:

(1)满二叉树: 一棵二叉树,如果每层的结点数都达到最大值,则这棵二叉树就是满二叉树。也就是说,如果一棵二叉树的层数为K,且结点总数是,则它就是满二叉树。
(2)完全二叉树: 完全二叉树是效率很高的数据结构,完全二叉树是由满二叉树而引出来的。对于深度为K的,有n 个结点的二叉树,当且仅当其每一个结点都与深度为K的满二叉树中编号从0至n-1的结点一一对应时称之为完全二叉树。 要注意的是满二叉树是一种特殊的完全二叉树。

(1)若规定根结点的层数为1,则一棵非空二叉树的第i层上最多有(i>0)个结点
(2)若规定只有根结点的二叉树的深度为1,则深度为K的二叉树的最大结点数是(k>=0)
(3)对任何一棵二叉树, 如果其叶结点个数为 n0, 度为2的非叶结点个数为 n2,则有n0=n2+1
(4)具有n个结点的完全二叉树的深度k为上取整
(5)对于具有n个结点的完全二叉树,如果按照从上至下从左至右的顺序对所有节点从0开始编号,则对于序号为i 的结点有:
若i>0,双亲序号:(i-1)/2;i=0,i为根结点编号,无双亲结点
若2i+1<n,左孩子序号:2i+1,否则无左孩子
若2i+2<n,右孩子序号:2i+2,否则无右孩子
二叉树的存储结构分为:顺序存储和类似于链表的链式存储。
二叉树的链式存储是通过一个一个的节点引用起来的,常见的表示方式有二叉和三叉表示方式,具体如下:
// 孩子表示法
class Node {
int val; // 数据域
Node left; // 左孩子的引用,常常代表左孩子为根的整棵左子树
Node right; // 右孩子的引用,常常代表右孩子为根的整棵右子树
}在学习二叉树的基本操作前,需先要创建一棵二叉树,然后才能学习其相关的基本操作。此处手动快速创建一棵简单的二叉树,快速进入二叉树操作学习。
public class BinaryTree{
public static class BTNode{
BTNode left;
BTNode right;
int value;
BTNode(int value){
this.value = value;
}
}
private BTNode root;
public void createBinaryTree(){
BTNode node1 = new BTNode(1);
BTNode node2 = new BTNode(2);
BTNode node3 = new BTNode(3);
BTNode node4 = new BTNode(4);
BTNode node5 = new BTNode(5);
BTNode node6 = new BTNode(6);
root = node1;
node1.left = node2;
node2.left = node3;
node1.right = node4;
node4.left = node5;
node5.right = node6;
}
}注意:上述代码并不是创建二叉树的方式,真正创建二叉树方式后序详解重点讲解。
再看二叉树基本操作前,再回顾下二叉树的概念,二叉树是:
(1)空树
(2)非空:根节点,根节点的左子树、根节点的右子树组成的。

从概念中可以看出,二叉树定义是递归式的,因此后序基本操作中基本都是按照该概念实现的。
学习二叉树结构,最简单的方式就是遍历。所谓遍历(Traversal)是指沿着某条搜索路线,依次对树中每个结点均做一次且仅做一次访问。访问结点所做的操作依赖于具体的应用问题(比如:打印节点内容、节点内容加 1)。 遍历是二叉树上最重要的操作之一,是二叉树上进行其它运算之基础。
在遍历二叉树时,如果没有进行某种约定,每个人都按照自己的方式遍历,得出的结果就比较混乱,如果按 照某种规则进行约定,则每个人对于同一棵树的遍历结果肯定是相同的。如果N代表根节点,L代表根节点的 左子树,R代表根节点的右子树,则根据遍历根节点的先后次序有以下遍历方式:
NLR:前序遍历(Preorder Traversal 亦称先序遍历)——访问根结点--->根的左子树--->根的右子树。(从根节点开始,先左后右,遇到一个结点就出一个数据)
LNR:中序遍历(Inorder Traversal)——根的左子树--->根节点--->根的右子树。(从根节点开始,先左后右,某一个节点的左子树都走完时出该节点数据)
LRN:后序遍历(Postorder Traversal)——根的左子树--->根的右子树--->根节点。(从根节点开始,先左后右,某一个节点的右子树都走完时出该节点数据)
// 前序遍历
public void preOrder(TreeNode root) {
if(root == null) return;
System.out.print(root.val+" ");
preOrder(root.left);
preOrder(root.right);
}
// 中序遍历
public void inOrder(TreeNode root) {
if(root == null) return;
inOrder(root.left);
System.out.print(root.val+" ");
inOrder(root.right);
}
// 后序遍历
public void postOrder(TreeNode root) {
if(root == null) return;
postOrder(root.left);
postOrder(root.right);
System.out.print(root.val+" ");
}
前序遍历结果:1 2 3 4 5 6
中序遍历结果:3 2 1 5 4 6
后序遍历结果:3 1 5 6 4 1
层序遍历:除了先序遍历、中序遍历、后序遍历外,还可以对二叉树进行层序遍历。设二叉树的根节点所在 层数为1,层序遍历就是从所在二叉树的根节点出发,首先访问第一层的树根节点,然后从左到右访问第2层 上的节点,接着是第三层的节点,以此类推,自上而下,自左至右逐层访问树的结点的过程就是层序遍历。
// 获取树中节点的个数
public void size(TreeNode root) {
if(root == null) {
return ;
}
nodeSize++;
size(root.left);
size(root.right);
}
// 获取叶子节点的个数
public void getLeafNodeCount(TreeNode root) {
if(root == null) {
return;
}
if(root.left == null && root.right == null) {
leafSize++;
}
getLeafNodeCount(root.left);
getLeafNodeCount(root.right);
}
// 获取第K层节点的个数
public int getKLevelNodeCount(TreeNode root,int k) {
if(root == null) {
return 0;
}
if(k == 1) {
return 1;
}
return getKLevelNodeCount(root.left,k-1) + getKLevelNodeCount(root.right,k-1);
}
// 获取二叉树的高度
public int getHeight(TreeNode root) {
if(root == null) {
return 0;
}
int leftHeight = getHeight(root.left);
int rightHeight = getHeight(root.right);
return leftHeight >rightHeight
? leftHeight+1 : rightHeight+1;
}
// 检测值为value的元素是否存在
public TreeNode findVal(TreeNode root,char val) {
if(root == null) {
return null;
}
if(root.val == val) {
return root;
}
TreeNode leftT = findVal(root.left,val);
if(leftT != null) {
return leftT;
}
TreeNode rightT = findVal(root.right,val);
if(rightT != null) {
return rightT;
}
return null;
}先判断有没有空树,再判断根节点,根节点相同的情况下调用isSameTree进行递归判断
class Solution {
public boolean isSameTree(TreeNode p, TreeNode q) {
if (p == null && q == null) {
return true;
} else if (p == null || q == null) {
return false;
} else if (p.val != q.val) {
return false;
} else {
return isSameTree(p.left, q.left) && isSameTree(p.right, q.right);
}
}
}若第一棵树为空树,那么直接返回false,再用上一题的(isSameTree)比较,若一样则返回true,不一样则接着递归左右子树,若到最后都不一样就会走到最后一行,返回false
public boolean isSubtree(TreeNode root, TreeNode subRoot) {
if(root == null) {
return false;
}
if(isSameTree(root,subRoot)) return true;
if(isSubtree(root.left,subRoot)) return true;
if(isSubtree(root.right,subRoot)) return true;
return false;
}还是先判空,再将这棵树的左右子树进行递归,直到最深层开始交换左右子树,依次向上,直到最后交换根节点的左右子树
class Solution {
public TreeNode invertTree(TreeNode root) {
if (root == null) {
return null;
}
TreeNode left = invertTree(root.left);
TreeNode right = invertTree(root.right);
root.left = right;
root.right = left;
return root;
}
}先判空,再去计算左右子树各自的高度,将高度进行比较得出结果
public boolean isBalanced(TreeNode root) {
if(root == null) return true;
int leftHeight = getHeight(root.left);
int rightHeight = getHeight(root.right);
return Math.abs(leftHeight-rightHeight) < 2
&& isBalanced(root.left) && isBalanced(root.right);
}直接用题(3)的翻转二叉树把树翻转,再用题(1)中的方法去看是否完全相等即可
----------------------------------------------------------代码略--------------------------------------------------------------
定义一个i用来推动进程,建一棵空树,依次创建左右子树,把返回的树根据上面的中序遍历输出即可
public int i = 0;
public TreeNode createTree(String str) {
TreeNode root = null;
if(str.charAt(i) != '#') {
root = new TreeNode(str.charAt(i));
i++;
root.left = createTree(str);
root.right = createTree(str);
}else {
i++;
}
return root;
}(102. 二叉树的层序遍历 - 力扣(LeetCode))
先判空,再建一个队列,将根节点放进去并打印,若左子树不为空,将左子树根节点放进去,若右子树不为空,将右子树根节点放进去,下一次循环先打印左子树根节点,再将下一层节点放入(右子树根节点下一轮打印),往复循环,直到打印完全部结点
public void levelOrder(TreeNode root) {
if(root == null) {
return;
}
Queue<TreeNode> queue = new LinkedList<>();
queue.offer(root);
while (!queue.isEmpty()) {
TreeNode cur = queue.poll();
System.out.print(cur.val+" ");
if(cur.left != null) {
queue.offer(cur.left);
}
if(cur.right != null) {
queue.offer(cur.right);
}
}
System.out.println();
}(236. 二叉树的最近公共祖先 - 力扣(LeetCode))
先判空,在判断p和q是否是根节点,建立左右子树递归查找,直到p和q,如果左右都不为空,那么最近的祖先就是root(分别在左右子树上;如果在同一子树上,就有一棵子树为空,另一棵子树进行下一次遍历时它的根节点就是root了,接着寻找直到找到并返回当前root(p或q的父节点),同样的,如果在现在的左右子树上就返回当前root,如果不是那么说明找到的p或q是另一个的祖先,返回当前leftTree或者rightTree)
public TreeNode lowestCommonAncestor(TreeNode root, TreeNode p, TreeNode q) {
if(root == null) {
return null;
}
if(root == p || root == q) {
return root;
}
TreeNode leftTree = lowestCommonAncestor(root.left,p,q);
TreeNode rightTree = lowestCommonAncestor(root.right,p,q);
if(leftTree != null && rightTree != null) {
return root;
}else if(leftTree != null) {
return leftTree;
}else {
return rightTree;
}
}(105. 从前序与中序遍历序列构造二叉树 - 力扣(LeetCode))
直接去用一个新的函数作为返回值去执行操作,传入的信息分别表示前序序列、中序序列、当前子树在中序序列中的起始索引以及结束索引。判定是否是无效子树,再去根据先序序列创建根节点,再从中序遍历中找到根节点并进行记录,推动先序遍历进行并分别递归函数找到左右子树。
public TreeNode buildTree(int[] preorder, int[] inorder) {
return buildTreeChild(preorder,inorder,0,inorder.length-1);
}
public TreeNode buildTreeChild(int[] preorder, int[] inorder,int inbegin,int inend) {
//这种情况下 表明 当前root 没有子树了
if(inbegin > inend) {
return null;
}
TreeNode root = new TreeNode(preorder[preIndex]);
int rootIndex = findVal(inorder,inbegin,inend,preorder[preIndex]);
preIndex++;
root.left = buildTreeChild(preorder,inorder,inbegin,rootIndex-1);
root.right = buildTreeChild(preorder,inorder,rootIndex+1,inend);
return root;
}
private int findVal(int[] inorder,int inbegin,int inend,int val) {
for(int i = inbegin ;i <= inend;i++) {
if(inorder[i] == val) {
return i;
}
}
return -1;
}(106. 从中序与后序遍历序列构造二叉树 - 力扣(LeetCode))
和上面一样的,直接到根据后序序列最后一个数据作为根节点,在中序遍历中找到根节点分好左右子树,再由左右子树进行递归实现整棵树
public int postIndex;
public TreeNode buildTree(int[] inorder, int[] postorder) {
postIndex = postorder.length-1;
return buildTreeChild(inorder,postorder,0,inorder.length-1);
}
public TreeNode buildTreeChild(int[] inorder,int[] postorder,int inbegin,int inend) {
//这种情况下 表明 当前root 没有子树了
if(inbegin > inend) {
return null;
}
TreeNode root = new TreeNode(postorder[postIndex]);
int rootIndex = findVal(inorder,inbegin,inend,postorder[postIndex]);
postIndex--;
root.right = buildTreeChild(inorder,postorder,rootIndex+1,inend);
root.left = buildTreeChild(inorder,postorder,inbegin,rootIndex-1);
return root;
}
private int findVal(int[] inorder,int inbegin,int inend,int val) {
for(int i = inbegin ;i <= inend;i++) {
if(inorder[i] == val) {
return i;
}
}
return -1;
}(606. 根据二叉树创建字符串 - 力扣(LeetCode))
先判空。再去判断左右子树是否均为空。第三种情况,判断只有左子树,直接进行连接并添加节点数值,添加括号的同时再递归处理左子树。若是均存在则再上一个的基础上多加一个递归右子树,往复操作即可
class Solution {
public String tree2str(TreeNode root) {
if (root == null) {
return "";
}
if (root.left == null && root.right == null) {
return Integer.toString(root.val);
}
if (root.right == null) {
return new StringBuffer().append(root.val).append("(").append(tree2str(root.left)).append(")").toString();
}
return new StringBuffer().append(root.val).append("(").append(tree2str(root.left)).append(")(").append(tree2str(root.right)).append(")").toString();
}
}