首页
学习
活动
专区
圈层
工具
发布
社区首页 >专栏 >一款基于鲁班猫和STM32的自主导航实践

一款基于鲁班猫和STM32的自主导航实践

作者头像
索旭东
发布2025-12-17 14:35:55
发布2025-12-17 14:35:55
890
举报
文章被收录于专栏:具身小站具身小站

REF:基于多传感器融合的救援机器人SLAM地图重建与路径规划研究

1. 系统设计

6c48525bd8447ecb74b805d88c853d60.png
6c48525bd8447ecb74b805d88c853d60.png
  • 硬件
8b31cc19e2d92d5364c3e70b113ac932.png
8b31cc19e2d92d5364c3e70b113ac932.png
  • 软件
d15dee4b4d5a5315d5303ccfd09b605a.png
d15dee4b4d5a5315d5303ccfd09b605a.png
  • ORB-SLAM2 建图算法
db8c2668bf8ab96ab1a9cc0a824bf7a5.png
db8c2668bf8ab96ab1a9cc0a824bf7a5.png
  • 导航算法
61e0c55c63f69395a6c3b7d4d5dc6d65.png
61e0c55c63f69395a6c3b7d4d5dc6d65.png

2. 改进SLAM建图

  • 改进 ORB-SLAM2 建图算法:在原有运动估计模型中引入两个关键优化因子,通过平移变换因数和转角综合变换因数作为双因素评价机制,平移变换因数与转角综合变换因数之间满足互不影响
f1fe791d46a8f34512b0acccabaa64b6.png
f1fe791d46a8f34512b0acccabaa64b6.png

其中:

  • α\alphaα:是平移变换因数,随着摄像头平移量增大而变大,两者呈线性正相关
  • β+γ\beta + \gammaβ+γ:是转角综合变换因数,由两个独立分量组成
  • β\betaβ:左旋转变换因数,表示相机向左旋转的程度,随左转角度增加而增大,当无左转时为 0,在(−π2,0)( -\frac{\pi}2 , 0)(−2π,0)范围内有效
  • γ\gammaγ:右旋转变换因数,表征相机向右旋转的程度,随右转 角度增加而增大,当无右转时为 0,在(0,π2)(0,\frac{\pi}2)(0,2π)范围内有效
d019401d2be5abfaec05ad56ff43cea7.png
d019401d2be5abfaec05ad56ff43cea7.png

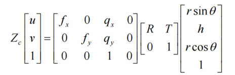
  • 激光雷达与深度相机联合标定:深度相机是三维数据,激光雷达是二维数据,联合标定实现激光雷达和深度相机的关联。通过动态调整标定板的空间位置,采集多组不同视角的点云数据与图像信息,在数据采集完成后,采用 Autoware 标定工具包,对记录的数据包进行回放,并从中选取具有代表性的图像帧进行参数优化。
37c35310e7c2e0849f13b24e04cb7fdc.png
37c35310e7c2e0849f13b24e04cb7fdc.png
6aa3a70174601424e0a9239b9023a5eb.png
6aa3a70174601424e0a9239b9023a5eb.png
  • ORB-SLAM融合激光雷达建图:采用贝叶斯估计方法实现激光雷达与深度相机数据的融合,首先将激光雷达的二维地图与深度相机的三维点云进行空间对齐,对三维点云进行二维投影,建立统一的栅格地图表示;然后基于贝叶斯概率理论,通过后验概率统计实现传感器数据融合。
030cc56155cebb2c3fbcfaa417d98739.png
030cc56155cebb2c3fbcfaa417d98739.png

3. 改进路径规划

  • Astar启发函数距离优化:传统的 Astar算法选择欧氏距离作为启发函数表达式,路径容易发生转向,选择曼哈顿距离作为算法的启发函数
cf3f032511b2b65d5d95fa6767ea9612.png
cf3f032511b2b65d5d95fa6767ea9612.png
  • 启发函数权重优化:基于实时传感器数据动态调整启发式函数,以提高路径规划的准确性和效率,角度表示起终点连线跟当前位置跟终点连线的夹角
80f8d0d59496e0b97c11265315fd81d6.png
80f8d0d59496e0b97c11265315fd81d6.png
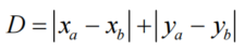
  • 删除冗余节点:
    • 如果相邻三个节点连线在同一条直线上,则删除中间位置节点;
    • 如果跳过一个节点后,下一个节点的连线夹角较小,则删除被跳过的节点
    cefab63779e094c6fa1457f45a4fceb7.png
    cefab63779e094c6fa1457f45a4fceb7.png
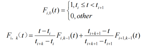
  • 路径平滑度优化:使用三次 B 样条曲线法对路径进行平滑处理
8d4c78be3c73e6550b3eb95dd5f694bc.png
8d4c78be3c73e6550b3eb95dd5f694bc.png
68e34d441b51ed5e11d3b79847a37e84.png
68e34d441b51ed5e11d3b79847a37e84.png
  • 融合局部路径规划DWA:机器人路径规划算法Astar用来规划全局路径,不能实时避开突发性障碍物,当出现未知的静止或移动障碍物时,动态窗口法(DWA)可以避开局部路径规划中的动态障碍物。
8a06366215fefb9b2e45915d81b86228.png
8a06366215fefb9b2e45915d81b86228.png
本文参与 腾讯云自媒体同步曝光计划,分享自微信公众号。
原始发表:2025-11-27,如有侵权请联系 cloudcommunity@tencent.com 删除

本文分享自 具身小站 微信公众号,前往查看

如有侵权,请联系 cloudcommunity@tencent.com 删除。

本文参与 腾讯云自媒体同步曝光计划  ,欢迎热爱写作的你一起参与!

评论
登录后参与评论
0 条评论
热度
最新
推荐阅读
目录
  • 1. 系统设计
  • 2. 改进SLAM建图
  • 3. 改进路径规划
领券
问题归档专栏文章快讯文章归档关键词归档开发者手册归档开发者手册 Section 归档