
AVL树是最先发明的自平衡二叉查找树,AVL是一颗空树,或者具备下列性质的二叉搜索树:它的 左右子树都是AVL树,且左右子树的高度差的绝对值不超过1。
AVL树是一颗高度平衡搜索二叉树,通过控制高度差去控制平衡。
AVL树得名于它的发明者G.M.Adelson-Velsky和E.M.Landis是两个前苏联的科学家,他们在1962 年的论文《An algorithm for the organization of information》中发表了它。
AVL树实现这里我们引入一个平衡因子(balancefactor)的概念,每个结点都有一个平衡因子,任何结点的平衡因子等于右子树的高度减去左子树的高度,也就是说任何结点的平衡因子等于0 / 1 / -1,AVL树并不是必须要平衡因子,但是有了平衡因子可以更方便我们去进行观察和控制树是否平衡,类似于一个风向标,不用平衡因子也可以实现AVL树,但是那样会比较绕,大差不差,最终还是来控制高度。

AVL树是高度平衡搜索二叉树,要求高度差不超过1,为什么不是高度差为0呢?0不是更好的平衡吗?我们用画图软件实践操作一下就会发现:不是不想这样设计,而是有些情况是做不到高度差是0的——比如一棵树是2个结点,4个结点等情况下,高度差最好就是1,无法做到高度差是0——也就是说,不是不想做,而是做不到!
AVL树整体结点数量和分布和完全二叉树类似,高度可以控制在logN,那么增删查改的效率也可 以控制在O(logN),相比二叉搜索树有了本质的提升。



1、插入一个值按二叉搜索树规则进行插入。 2、新增结点以后,只会影响祖先结点的高度,也就是可能会影响部分祖先结点的平衡因子,所以更新从新增结点->根结点路径上的平衡因子,实际中最坏情况下要更新到根,有些情况更新到中间就可以停止了,具体情况我们下面再详细分析。 3、更新平衡因子过程中没有出现问题,则插入结束。 4、更新平衡因子过程中出现不平衡,对不平衡子树旋转,旋转后本质调平衡的同时,本质降低了子树的高度,不会再影响上一层,所以插入结束。
平衡因子 = 右子树高度 - 左子树高度
只有子树高度变化才会影响当前结点平衡因子;
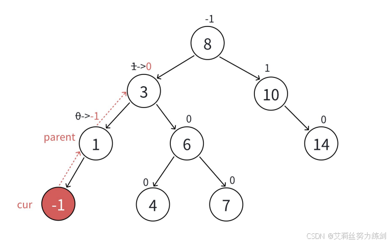
插入结点,会增加高度,所以新增结点在parent的右子树,parent的平衡因子++,新增结点在parent的左子树,parent平衡因子--;
parent所在子树的高度是否变化决定了是否会继续往上更新。
1、更新后parent的平衡因子等于0,更新中parent的平衡因子变化为-1->0或者1->0,说明更新前 parent子树一边高一边低,新增的结点插入在低的那边,插入后parent所在的子树高度不变,不会 影响parent的父亲结点的平衡因子,更新结束。
2、更新后parent的平衡因子等于1或-1,更新前更新中parent的平衡因子变化为0->1或者0->-1,说 明更新前parent子树两边一样高,新增的插入结点后,parent所在的子树一边高一边低,parent所 在的子树符合平衡要求,但是高度增加了1,会影响parent的父亲结点的平衡因子,所以要继续向 上更新。
3、更新后parent的平衡因子等于2或-2,更新前更新中parent的平衡因子变化为1~>2或者-1~>-2,说明更新前parent子树一边高一边低,新增的插入结点在高的那边,parent所在的子树高的那边更高了,破坏了平衡,parent所在的子树不符合平衡要求,需要旋转处理,旋转的目标有两个——

4、不断更新,更新到根,跟的平衡因子是1或-1也停止了。
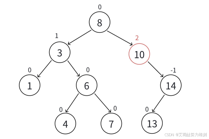
更新到10结点,平衡因子为2,10所在的子树已经不平衡,需要旋转处理——

更新到中间结点,3为根的子树高度不变,不会影响上一层,更新结束——

最坏更新到根停止——



如下图,10为根的树,有a / b / c抽象为三棵高度为h的子树(h >= 0),a / b / c均符合AVL树的要求。10可能是整棵树的根,也可能是一个整棵树中局部的子树的根。这里a / b / c是高度为h的子树,是一种概括抽象表示,他代表了所有右单旋的场景,实际右单旋形态有很多种,具体图2 / 图3 / 图4 / 图5进行了详细描述。
在a子树中插入一个新结点,导致a子树的高度从h变成h + 1,不断向上更新平衡因子,导致10的平 衡因子从-1变成-2,10为根的树左右高度差超过1,违反平衡规则。10为根的树左边太高了,需要 往右边旋转,控制两棵树的平衡。
旋转核心步骤,因为5 < b子树的值 < 10,将b变成10的左子树,10变成5的右子树,5变成这棵树新的根,符合搜索树的规则,控制了平衡,同时这棵的高度恢复到了插入之前的h + 2,符合旋转原则。如果插入之前10整棵树的一个局部子树,旋转后不会再影响上一层,插入结束了。

下面的四种情况演示只是作为参考, 比较抽象,具象图画不完的,但是抽象图可以很好地代表具象图,具象图也是这个逻辑,大家作为参考就好了——



3.1.4 情况4:插入前a / b / c高度h == 3

如下图所展示的是10为根的树,有a / b / c抽象为三棵高度为h的子树(h >= 0),a / b / c均符合AVL树的要求。10可能是整棵树的根,也可能是一个整棵树中局部的子树的根。这里a / b / c是高度为h的子树,是一种概括抽象表示,他代表了所有右单旋的场景,实际右单旋形态有很多种,具体跟上面左旋类似。
在a子树中插入一个新结点,导致a子树的高度从h变成h + 1,不断向上更新平衡因子,导致10的平 衡因子从1变成2,10为根的树左右高度差超过1,违反平衡规则。10为根的树右边太高了,需要往 左边旋转,控制两棵树的平衡。
旋转核心步骤,因为10 < b子树的值 < 15,将b变成10的右子树,10变成15的左子树,15变成这棵 树新的根,符合搜索树的规则,控制了平衡,同时这棵的高度恢复到了插入之前的h + 2,符合旋转原则。如果插入之前10整棵树的一个局部子树,旋转后不会再影响上一层,插入结束了。

通过下面情况1和情况2的两张图,我们可以观察到:当左边高时,如果插入位置不是在a子树,而是插入在b子树,b子树高度从h变成h + 1,引发旋转,右单旋无法解决问题,右单旋后,我们的树依旧不平衡。右单旋解决的纯粹的左边高,但是插入在b子树中,10为跟的子树不再是单纯的左边高,对于10是左边高,但是对于5是右边高,需要用两次旋转才能解决——以5为旋转点进行一个左单旋,以10为旋转点进行一个右单旋,这棵树就平衡了。

这个顺序是有讲究的,不能调换,这里不能说先左单旋再右单旋,大家可以自己去画图软件上面画一画,这里一定是左单旋再右单旋,先变成纯粹的左单旋,再右单旋,才平衡。


上面两张图分别为左右双旋中h == 0和h == 1两种情况的具体场景的流程分析,下面我们将a / b / c子树抽象为高度h的AVL子树进行分析,另外我们需要把b子树的细节进一步展开为8和左子树高度为h -1的e和f子树,因为我们要以b的父亲节点5为旋转点进行左单旋,左单旋需要动b树中的左子树。b子树中新增结点的位置不同,平衡因子更新的细节也不同,通过观察8的平衡因子不同,这里我们要分三个场景讨论——


了解了左右双旋转的实现逻辑之后,右左双旋的流程也可以自己试着分析一下。


AVL树的插入,跟搜索二叉树的插入规则一样,多了一个平衡因子(右子树高度 - 左子树高度),其它都是一样的,我们可以直接复用搜索二叉树的插入即可,不过还是有区别的——





AVL树的删除我们不做过多介绍,很复杂,像前面介绍二叉搜索树的时候也是,插入并不复杂,但是删除非常麻烦,AVL树底层是一棵搜索二叉树,所以它的删除也是非常棘手的一个问题!
如果uu们感兴趣,可以去看这本书——
图书推荐:《殷人昆 数据结构:用面向对象方法与C++语言描述》
艾莉丝这里简单介绍一下AVL树删除的一个大致过程:用搜索二叉树的方式进行删除——

#pragma once
#include<iostream>
#include<vector>
using namespace std;
#include<assert.h>
// AVL树的结构
template<class K,class V>
struct AVLTreeNode
{
// 需要parent指针,后序更新平衡因子的时候,就可以看到
pair<K, V> _kv;
AVLTreeNode<K, V>* _left;
AVLTreeNode<K, V>* _right;
AVLTreeNode<K, V>* _parent;
int _bf; // balance factor:平衡因子
//节点的构造
AVLTreeNode(const pair<K,V>& kv)
:_kv(kv)
,_left(nullptr)
,_right(nullptr)
,_parent(nullptr)
,_bf(0)
{ }
};
template<class K, class V>
struct AVLTree
{
typedef AVLTreeNode<K, V> Node;
public:
// 这里AVL树的插入和搜索二叉树的插入规则是一样的,就多了一个平衡因子(右子树高度 - 左子树高度)
bool Insert(const pair<K, V>& kv)
{
if (_root == nullptr)
{
_root = new Node(kv); // 这里把搜索二叉树那里的key改成kv(pair的结构,包含key和value)
return true;
}
Node* parent = nullptr;
Node* cur = _root;
while (cur)
{
// 比kv_first大就往右边走,比kv_first小就往左边走,相等就return false
if (cur->_kv.first < kv.first) // pair结果做kv时,first是key,second是value
{
parent = cur;
cur = cur->_right;
}
else if (cur->_kv.first > kv.first)
{
parent = cur;
cur = cur->_left;
}
else
{
return false;
}
}
cur = new Node(kv);
// cur->_bf = 0;
if (parent->_kv.first < kv.first)
{
parent->_right = cur;
}
else
{
parent->_left = cur;
}
// 构建好了三叉链结构:父亲指向孩子,孩子反过来也指向了父亲
cur->_parent = parent;
// 控制平衡:对平衡要进行单独的控制
// 1、更新平衡因子
while (parent)
{
if (cur == parent->_left)
{
parent->_bf--;
}
else
{
parent->_bf++;
}
if (parent->_bf == 0)
{
// parent所在的子树的高度不变,不会再影响上一层,更新结束
break;
}
else if (parent->_bf == 1 || parent->_bf == -1)
{
// parent所在的子树的高度不变,会再影响上一层,继续向上更新
cur = parent;
parent = parent->_parent;
}
else if (parent->_bf == 2 || parent->_bf == -2)
{
// parent所在的子树已经不平衡了,需要旋转处理
if (parent->_bf == -2 && cur->_bf == -1)
{
RotateR(parent);
}
else if (parent->_bf == 2 && cur->_bf == 1)
{
RotateL(parent);
}
else if (parent->_bf == -2 && cur->_bf == 1)
{
RotateLR(parent);
}
else if (parent->_bf == 2 && cur->_bf == -1)
{
RotateRL(parent);
}
else
{
assert(false);
}
break;
}
else
{
assert(false);
}
}
return true;
}
// 右单旋
void RotateR(Node* parent)
{
Node* subL = parent->_left;
Node* subLR = subL->_right;
parent->_left = subLR;
if (subLR)
subLR->_parent = parent;
Node* parentParent = parent->_parent;
subL->_right = parent;
parent->_parent = subL;
if (parent == _root) // 根节点
{
_root = subL;
subL->_parent = nullptr;
}
else
{
if (parentParent->_left == parent) // 如果是子树
{
parentParent->_left = subL;
}
else
{
parentParent->_right = subL; // 如果是根节点
}
subL->_parent = parentParent;
}
parent->_bf = subL->_bf = 0;
}
// 左单旋
void RotateL(Node* parent)
{
Node* subR = parent->_right;
Node* subRL = subR->_left;
//parent->_right = subR->_left;
parent->_right = subRL;
if (subRL)
subRL->_parent = parent;
//subRL->_right;
Node* parentParent = parent->_parent;
subR->_left = parent;
parent->_parent = subR;
//if (parentParent == nullptr)
if (parent == _root)
{
_root = subR;
subR->_parent = nullptr;
}
else
{
if (parent == parentParent->_left)
{
parentParent->_left = subR;
}
else
{
parentParent->_right = subR;
}
subR->_parent = parentParent;
}
parent->_bf = subR->_bf = 0;
}
// 左右双旋
void RotateLR(Node* parent)
{
Node* subL = parent->_left;
Node* subLR = subL->_right;
int bf = subLR->_bf;
RotateL(parent->_left);
RotateR(parent);
// 平衡因子的条件
if (bf == 0)
{
parent->_bf = 0;
subL->_bf = 0;
subLR->_bf = 0;
}
else if (bf == 1)
{
parent->_bf = 0;
subL->_bf = -1;
subLR->_bf = 0;
}
else if (bf == -1)
{
parent->_bf = 1;
subL->_bf = 0;
subLR->_bf = 0;
}
else
{
assert(false);
}
}
// 右左双旋
void RotateRL(Node* parent)
{
Node* subR = parent->_right;
Node* subRL = subR->_left;
int bf = subRL->_bf;
RotateR(parent->_right);
RotateL(parent);
if (bf == 0)
{
subR->_bf = 0;
subRL->_bf = 0;
parent->_bf = 0;
}
else if (bf == 1)
{
subR->_bf = 0;
subRL->_bf = 0;
parent->_bf = -1;
}
else if (bf == -1)
{
subR->_bf = 1;
subRL->_bf = 0;
parent->_bf = 0;
}
else
{
assert(false);
}
}
// 查找
Node* Find(const K& key)
{
Node* cur = _root;
while (cur)
{
if (cur->_kv.first < key)
{
cur = cur->_right;
}
else if (cur->_kv.first > key)
{
cur = cur->_left;
}
else
{
return cur;
}
}
return nullptr;
}
int Size()
{
return _Size(_root);
}
int Height()
{
return _Height(_root);
}
bool IsBalanceTree()
{
return _IsBalanceTree(_root); // 不方便放根节点,所以套一层娃
}
void InOrder()
{
_InOrder(_root);
cout << endl;
}
private:
// 传根,不能直接传,外部调用内部
int _Size(Node* root)
{
if (root == nullptr)
return 0;
return _Size(root->_left) + _Size(root->_right) + 1;
}
// 求高度
int _Height(Node* root)
{
if (root == nullptr)
return 0;
int lh = _Height(root->_left);
int rh = _Height(root->_right);
return lh > rh ? lh + 1 : rh + 1; // 后序求
}
// 实现要写成递归,IsBalance
// 递归计算平衡因子绝对值是否<=2
bool _IsBalanceTree(Node* root)
{
// 空树也是AVL树
if (nullptr == root)
return true;
// 计算pRoot结点的平衡因子:即pRoot左右子树的高度差
// 求出左右子树的高度
int lh = _Height(root->_left);
int rh = _Height(root->_right);
// 如果计算出的平衡因子与pRoot的平衡因子不相等,或者
// pRoot平衡因子的绝对值超过1,则一定不是AVL树
if (rh - lh != root->_bf || abs(root->_bf) >= 2)
{
cout << root->_kv.first << ":平衡因子异常" << endl;
return false;
}
// pRoot的左和右如果都是AVL树,则该树⼀定是AVL树
return _IsBalanceTree(root->_left) && _IsBalanceTree(root->_right); // 递归检测左子树和右子树
}
int _InOrder(Node* root)
{
if (root == nullptr)
return 0;
_InOrder(root->_left);
cout << root->_kv.first << ":" << root->_kv.second << endl;
_InOrder(root->_right);
}
private:
Node* _root = nullptr;
};#define _CRT_SECURE_NO_WARNINGS 1
#include"AVLTree.h"
void TestAVLTree1()
{
AVLTree<int, int> t;
// 常规的测试例
//int a[] = { 16, 3, 7, 11, 9, 26, 18, 14, 15 };
// 特殊的带有双旋场景的测试用例
int a[] = { 4, 2, 6, 1, 3, 5, 15, 7, 16, 14 };
for (auto e : a)
{
if (e == 14)
{
int i = 0;
}
t.Insert({ e,e });
cout << e << "->" << t.IsBalanceTree() << endl;
}
//t.InOrder();
cout << t.IsBalanceTree() << endl;
}
// 插入一堆随机值,测试平衡,顺便测试一下高度和性能
void TestAVLTree2()
{
const int N = 100000;
vector<int> v;
v.reserve(N);
srand(time(0));
for (size_t i = 0; i < N; i++)
{
v.push_back(rand() + i);
}
size_t begin2 = clock();
AVLTree<int, int> t;
for (auto e : v)
{
t.Insert(make_pair(e, e));
}
size_t end2 = clock();
cout << "Insert:" << end2 - begin2 << endl;
cout << t.IsBalanceTree() << endl;
cout << "Height:" << t.Height() << endl;
cout << "Size:" << t.Size() << endl;
size_t begin1 = clock();
// 确定在的值
/*for (auto e : v)
{
t.Find(e);
}*/
// 随机值
for (size_t i = 0; i < N; i++)
{
t.Find((rand() + i));
}
size_t end1 = clock();
cout << "Find:" << end1 - begin1 << endl;
}
int main()
{
TestAVLTree1();
//TestAVLTree2();
return 0;
}

有些uu喜欢通过对比代码的方式来解决BUG,看看和别人写的哪里不一样?其实这是在走捷径!学习的意义:学知识,就是——锻炼学习能力、分析能力、解决问题能力。对比代码、问别人、求助于AI……其实后面的两种能力都没有得到锻炼,这对于我们今后的工作是没有好处的。
调试的技巧有很多种,我们平常通过简单地调试实际上只能解决一小部分问题,很多问题仅凭调试是解决不了问题的。我们可以打印、可以打印日志(这个在公司里面很常用)——

AVL树、红黑树本质上不用特别熟悉,手撕链表什么的代表代表你的能力。
这部分知道旋转和插入怎么做的即可。
往期回顾:
【C++:map和set的使用】C++ map/multimap完全指南:从红黑树原理入门到高频算法实战
结语:都看到这里啦!那请大佬不要忘记给博主来个“一键四连”哦!
🗡博主在这里放了一只小狗,大家看完了摸摸小狗放松一下吧!🗡 ૮₍ ˶ ˊ ᴥ ˋ˶₎ა