
从二叉搜索树到map和set的使用、AVL树实现、红黑树、封装红黑树实现mymap和myset都是一个整体,也就是说,接下来我们要学习的就是平衡搜索二叉树相关的内容啦。AVL树和红黑树很难,而且不像前面的初阶stl有之前C语言的基础,这是一个非常重要的章节,本章节我们的重点就是介绍map、set的使用和底层,但是在那之前我们要先接触一个数据结构——就是今天我们要介绍的搜索二叉树,有了一定的基础,我们再去接触后面的内容才会更好理解一点。


二叉搜索树又称二叉排序树,它或者是一棵空树,或者是具有以下性质的二叉树——

(1)若它的左子树不为空,则左子树上所有结点的值都小于等于根结点的值; (2)若它的右子树不为空,则右子树上所有结点的值都大于等于根结点的值; (3)它的左右子树也分别为二叉搜索树; (4)二叉搜索树中可以支持插入相等的值,也可以不支持插入相等的值,具体看使用场景定义,后续艾莉丝会介绍的map/set/multimap/multiset系列容器底层就是二叉搜索树,其中map/set不支持插入相等值,multimap/multiset支持插入相等值。
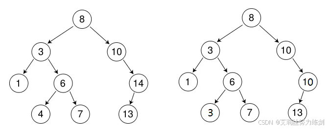
如下图所示就是两个搜索二叉树——

BST支持动态数据集合的高效操作,适合频繁插入、删除和查找的场景。


利用二叉树的分支特性,BST在平均情况下能实现O(logn)的搜索效率。


最优情况下,二叉搜索树为完全二叉树(或者接近完全二叉树),其高度为:logN; 最差情况下,二叉搜索树退化为单支树(或者类似单支),其高度为:N; 所以综合而言二叉搜索树增删查改时间复杂度为:O(N)。

那么这样的效率显然是无法满足我们需求的,因此后面艾莉丝会介绍二叉搜索树的变形——平衡二叉搜索树AVL树和红黑树,才能适用于我们在内存中存储和搜索数据。

另外需要说明的是,二分查找也可以实现O(logN)级别的查找效率,但是二分查找有两大缺陷——
(1)需要存储在支持下标随机访问的结构中,并且有序; (2)插入和删除数据效率很低,因为存储在下标随机访问的结构中,插入和删除数据一般需要挪动数据。

(1)数据越有序,插入结果越坏——高度高、递归深、效率低,如右图所示; (2)插入越无序的数据,左右会平衡一点,结果反而越好,如左图所示


二叉搜索树常简写为BST,提高代码可读性(SBT不好听),二叉搜索树也叫搜索二叉树。


template<class K>
struct BSTreeNode {
BSTreeNode<K>* _left;
BSTreeNode<K>* _right;
K _key;
BSTreeNode(const K& key)
: _left(nullptr), _right(nullptr), _key(key)
{}
};提供插入、查找、删除等基本操作的接口设计。


从根节点开始,根据键值大小选择左子树或右子树,直到找到空位置插入新节点。
插入分成以下三种情况——
(1)树为空,则直接新增结点,赋值给root指针; (2)树不空,按二叉搜索树性质,插入值比当前结点大就往右走,插入值比当前结点小就往左走,找到空位置,插入新结点; (3)如果支持插入相等的值,插入值跟当前结点相等的值可以往右走,也可以往左走,找到空位置,插入新结点(要注意保持逻辑一致性,插入相等的值不要一会往右走,一会又往左走)。

我们定义这样一个数组——
int a[] = {8, 3, 1, 10, 6, 4, 7, 14, 13};艾莉丝的代码演示如下——
// 不允许相等的值输入
template<class K>
class BSTree
{
typedef BSTreeNode<K> Node; // 节点名字有点长,可以typedef一下,因为要大量用到节点
public:
// 不允许相等的值插入
// 也可以允许相等的值插入,这样就要继续插入下去,但是要统一一下插入到左边还是右边,这样更好一点
bool Insert(const K& key) // 实现插入
{
if (_root == nullptr) // 根节点为空
{
_root = new Node(key); // 直接在根节点new一个
return true;
}
Node* parent = nullptr; // 要给一个父节点的指针,因为链式结构要插入要完成链接
Node* cur = _root;
while (cur) // 查找到空就截止
{
if (cur->_key < key) // 比cur大就往右走
{
parent = cur; // cur要往下走,要给parent
cur = cur->_right;
}
else if (cur->_key > key) // 比cur小就往左走
{
parent = cur;
cur = cur->_left;
}
else
{
return false; // 相等就return false
}
}
cur = new Node(key); // 新节点能不能直接给这个cur?不能,cur是个局部变量,除了作用域就销毁了
// cur这个时候为空,接下来要继续链接,要再比较一次,链接到左边还是右边
if (parent->_key < key)
{
parent->_right = cur; // 比parent大,插入在右边
}
else
{
parent->_left = cur; // 比parent小,插入在左边
}
return true;
}这里艾莉丝写的是不允许相等的值输入条件下的写法。
我们在Test.cpp文件里面包一下头文件,给一个数组,再定义出一棵树,因为数组也是支持范围for的,这里我们用范围for把数据插入进去。

C++递归很麻烦,这里要传根,但是根是私有的。

在类里面的递归基本上要这样玩,尤其是树的递归,因为树的递归起始条件一般是根,都要套一层(内部/外部),套一层,因为外部拿不到根,内部是可以拿到根的,这种方式是最推荐的拿根方式,当然也可以get root,但是更推荐用上面这种方法。
调的是不需要传根的,再去调用这个子函数,把根传过去,这样外面就不需要传了,也不需要提供get root,不过get root调用的时候也方便。
利用BST的中序遍历必然有序的特性验证插入正确性。
要写成这样套一层的结构,原因上面已经提到了,这里不再赘述。

写成中序遍历的好处——
(1)中序遍历:最简单的递归; (2)中序遍历有序,并且数据都在,并且能够很好地验证功能。
运行一下——

成功插入进去了,并且因为是中序遍历,结果是有序的。


平衡和旋转这一块非常复杂,仅凭三言两语是说不清楚的,我们后面会详细介绍。
利用BST的排序特性,通过比较键值快速定位目标节点。
(1)从根开始比较,查找x,x比根的值大则往右边走查找,x比根值小则往左边走查找; (2)最多查找高度次,走到到空,还没找到,这个值不存在; (3)如果不支持插入相等的值,找到x即可返回; (4)如果支持插入相等的值,意味着有多个x存在,一般要求查找中序的第一个x。如下图,查找3,要找到1的右孩子的那个3返回。

查找的代码也可以递归写,这里艾莉丝没有用递归写——

我们就查找一下1这个数据——

运行一下——

首先需要找到待删除节点及其父节点。
首先查找元素是否在二又搜索树中,如果不存在,则返回false。
如果查找元素存在则分以下四种情况需要分别处理一下(假设要删除的结点为N):

(1)要删除结点N左右孩子均为空; (2)要删除的结点N左孩子位空,右孩子结点不为空; (3)要删除的结点N右孩子位空,左孩子结点不为空; (4)要删除的结点N左右孩子结点均不为空。


(1)把N结点的父亲对应孩子指针指向空,直接删除N结点(情况1可以当成2或者3进行处理,效果是一样的); (2)把N结点的父亲对应孩子指针指向N的右孩子,直接删除N结点; (3)把N结点的父亲对应孩子指针指向N的左孩子,直接删除N结点; (4)无法直接删除N结点,因为N的两个孩子无处安放,只能用替换法删除。找N左子树的值最大结点R(最右结点)或者N右子树的值最小结点R(最左结点)替代N,因为这两个结点中任意一个,放到N的位置,都满足二叉搜索树的规则。替代N的意思就是N和R的两个结点的值交换,转而变成删除R结点,R结点符合情况2或情况3,可以直接删除。
接下来我们通过具体例子来看看各种删除情况——




实现高效的节点查找逻辑——

查找过程图示:
假设要删除key = 6,如下图所示——

查找路径: cur = 8, 6 < 8 → 向左 cur = 3, 6 > 3 → 向右 cur = 6, 6 == 6 → 找到! 此时: parent = 节点3 cur = 节点6




// 搜索二叉树这个部分,删除是很麻烦的,先找到再删除,找到不难,但是删除很难
// 面试如果考,一定不会考插入、查找,肯定会考删除
bool Erase(const K& key)
{
Node* parent = nullptr; // 记录当前节点的父节点
Node* cur = _root; // 从根节点开始搜索
// 1、查找要删除的节点
while (cur)
{
if (cur->_key < key) // 目标key比当前节点大,向右子树搜索
{
parent = cur;
cur = cur->_right;
}
else if (cur->_key > key) // 目标key比当前节点小,向左子树搜索
{
parent = cur;
cur = cur->_left;
}
else // 找到要删除的节点cur——要干掉的节点
{
// 情况1:要删除的节点左子树为空(只有右子树或没有子树)
// 左为空
if (cur->_left == nullptr) // 父亲节点的左指向我的右
{
//if (cur == parent->_left) // 13没删掉
if (cur == _root) // 如果要删除的是根节点,(改变根节点)让孩子自己变成根
{
_root = cur->_right; // 上面是左为空,所以让父亲指向我的右
// 让右孩子成为新的根
}
else
{
// 判断cur是父节点的左孩子还是右孩子
if (cur == parent->_left) // 父亲节点的左指向我的右,父节点的左指针指向cur的右孩子
{
parent->_left = cur->_right;
}
else // 父亲节点的右指向我的左
{
parent->_right = cur->_right; // 父节点的右指针指向cur的右孩子
}
}
delete cur; // 删除cur,释放节点内存
return true; // 找到了,删除成功
}
// 情况2:要删除的节点右子树为空(只有左子树)
// 右为空
else if (cur->_right == nullptr) // 父亲节点的右指向我的左
{
if (cur == _root) // 如果要删除的是根节点,(改变根节点)让孩子自己变成根
{
_root = cur->_left; // 上面是右为空,所以让父亲指向我的左
// 让左孩子成为新的根
}
else
{
if (cur == parent->_left)
{
parent->_left = cur->_left; // 父节点的左指针指向cur的左孩子
}
else
{
parent->_right = cur->_left; // 父节点的右指针指向cur的左孩子
}
}
delete cur; // 释放节点内存
return true; // 删除成功
}
// 情况3:要删除的节点左右子树都不为空(最复杂的情况!!!)
else // 左右均不为空
{
// 策略:用右子树的最小节点(中序后继)来替代当前节点
// 找cur右子树的最小节点替代
Node* replaceParent = cur; // 替代节点的父节点,replace节点的parent,没有这个就不好删
Node* replace = cur->_right; // 从右子树开始找
// 在右子树中一直向左找,找到最小的节点(最左节点)
while (replace->_left) // 找最左节点,不为空就继续,等于空就找到了
{
replaceParent = replace; // 把replace给过去,每次都给
replace = replace->_left; // 左不为空,就不断往左边找
}
// 用替代节点的值覆盖要删除节点的值
cur->_key = replace->_key; // 不需要交换,替代的本质是把replace节点的值传过去
// 需要判断一下
// 删除替代节点(替代节点要么是叶子节点,要么只有右子树)
if (replaceParent->_left == replace) // 如果左指向replace
replaceParent->_left = replace->_right;
// 连接替代节点的右子树,让左指向replace的右
else // 如果右指向replace
replaceParent->_right = replace->_right;
// 连接替代节点的右子树,让右指向replace的右
delete replace; // 释放替代节点内存,彻底删除replace
return true; // 删除成功
}
}
}
return false; // 没找到删除的节点,直接return false
}
这里是删8是会出问题的!我们要改一改。

改变根节点,让这个孩子自己变成根——


需要全部再删一次,重复删不会报错。
运行一下——

成功删掉了,功能顺利验证。


#pragma once
#include<iostream>
using namespace std;
// 这里名字简写不雅观,就像车牌号,浙江的浙B、海南的琼B,有点尴尬😅
// // 定义节点
//template<class K>
////struct SearchBinaryTreeNode // 名字太长
////struct SBTreeNode // 简写,简写一般可以考虑用首字母,但是这个简写有些不雅观
// // 那这个地方我们可以稍微调整一下,因为它可以叫二叉搜索树也可以叫搜索二叉树
//struct BSTreeNode // 叫二叉搜索树,这样就不会太尴尬了
//{
//
//};
//
// // 名字太长了,上面再定义节点,名字太长
//template<class K>
////class SearchBinaryTree // 简写一般可以考虑用首字母
////class SBTree // 但是这个简写有些不雅观,写个数据结构出来人家以为在骂人那不行
//class BSTree // 叫二叉搜索树,这样就不会太尴尬了
//{
//
//};
// 接下来正式开始定义
template<class K>
struct BSTreeNode
{
BSTreeNode<K>* _left;
BSTreeNode<K>* _right;
K _key; // K就是key
// 构造,构造完节点就没问题了
BSTreeNode(const K& key)
:_left(nullptr)
,_right(nullptr)
,_key(key)
{ }
};
// 不允许相等的值输入
template<class K>
class BSTree
{
typedef BSTreeNode<K> Node; // 节点名字有点长,可以typedef一下,因为要大量用到节点
public:
// 不允许相等的值插入
// 也可以允许相等的值插入,这样就要继续插入下去,但是要统一一下插入到左边还是右边,这样更好一点
bool Insert(const K& key) // 实现插入
{
if (_root == nullptr) // 根节点为空
{
_root = new Node(key); // 直接在根节点new一个
return true;
}
Node* parent = nullptr; // 要给一个父节点的指针,因为链式结构要插入要完成链接
Node* cur = _root;
while (cur) // 查找到空就截止
{
if (cur->_key < key) // 比cur大就往右走
{
parent = cur; // cur要往下走,要给parent
cur = cur->_right;
}
else if (cur->_key > key) // 比cur小就往左走
{
parent = cur;
cur = cur->_left;
}
else
{
return false; // 相等就return false
}
}
cur = new Node(key); // 新节点能不能直接给这个cur?不能,cur是个局部变量,除了作用域就销毁了
// cur这个时候为空,接下来要继续链接,要再比较一次,链接到左边还是右边
if (parent->_key < key)
{
parent->_right = cur; // 比parent大,插入在右边
}
else
{
parent->_left = cur; // 比parent小,插入在左边
}
return true;
}
// 查找——也可以递归写,但是没有递归更好
bool Find(const K& key)
{
Node* cur = _root; // 把根节点给cur,比它小往左边走,比它大往右边走
while (cur)
{
if (cur->_key < key)
{
// 查找也不需要parent
cur = cur->_right;
}
else if (cur->_key > key)
{
// 查找也不需要parent
cur = cur->_left;
}
else
{
return true; // 相等就找到了,return true
}
}
return false; // 找不到就return false
}
// 搜索二叉树这个部分,删除是很麻烦的,先找到再删除,找到不难,但是删除很难
// 面试如果考,一定不会考插入、查找,肯定会考删除
bool Erase(const K& key)
{
Node* parent = nullptr; // 记录当前节点的父节点
Node* cur = _root; // 从根节点开始搜索
// 1、查找要删除的节点
while (cur)
{
if (cur->_key < key) // 目标key比当前节点大,向右子树搜索
{
parent = cur;
cur = cur->_right;
}
else if (cur->_key > key) // 目标key比当前节点小,向左子树搜索
{
parent = cur;
cur = cur->_left;
}
else // 找到要删除的节点cur——要干掉的节点
{
// 情况1:要删除的节点左子树为空(只有右子树或没有子树)
// 左为空
if (cur->_left == nullptr) // 父亲节点的左指向我的右
{
//if (cur == parent->_left) // 13没删掉
if (cur == _root) // 如果要删除的是根节点,(改变根节点)让孩子自己变成根
{
_root = cur->_right; // 上面是左为空,所以让父亲指向我的右
// 让右孩子成为新的根
}
else
{
// 判断cur是父节点的左孩子还是右孩子
if (cur == parent->_left) // 父亲节点的左指向我的右,父节点的左指针指向cur的右孩子
{
parent->_left = cur->_right;
}
else // 父亲节点的右指向我的左
{
parent->_right = cur->_right; // 父节点的右指针指向cur的右孩子
}
}
delete cur; // 删除cur,释放节点内存
return true; // 找到了,删除成功
}
// 情况2:要删除的节点右子树为空(只有左子树)
// 右为空
else if (cur->_right == nullptr) // 父亲节点的右指向我的左
{
if (cur == _root) // 如果要删除的是根节点,(改变根节点)让孩子自己变成根
{
_root = cur->_left; // 上面是右为空,所以让父亲指向我的左
// 让左孩子成为新的根
}
else
{
if (cur == parent->_left)
{
parent->_left = cur->_left; // 父节点的左指针指向cur的左孩子
}
else
{
parent->_right = cur->_left; // 父节点的右指针指向cur的左孩子
}
}
delete cur; // 释放节点内存
return true; // 删除成功
}
// 情况3:要删除的节点左右子树都不为空(最复杂的情况!!!)
else // 左右均不为空
{
// 策略:用右子树的最小节点(中序后继)来替代当前节点
// 找cur右子树的最小节点替代
//Node* replaceParent = nullptr; // 如果左边直接是空,那么cur直接是父亲节点
Node* replaceParent = cur; // 替代节点的父节点,replace节点的parent,没有这个就不好删
Node* replace = cur->_right; // 从右子树开始找
// 在右子树中一直向左找,找到最小的节点(最左节点)
while (replace->_left) // 找最左节点,不为空就继续,等于空就找到了
{
replaceParent = replace; // 把replace给过去,每次都给
replace = replace->_left; // 左不为空,就不断往左边找
}
// 用替代节点的值覆盖要删除节点的值
cur->_key = replace->_key; // 不需要交换,替代的本质是把replace节点的值传过去
// 需要判断一下
// 删除替代节点(替代节点要么是叶子节点,要么只有右子树)
if (replaceParent->_left == replace) // 如果左指向replace
replaceParent->_left = replace->_right;
// 连接替代节点的右子树,让左指向replace的右
else // 如果右指向replace
replaceParent->_right = replace->_right;
// 连接替代节点的右子树,让右指向replace的右
delete replace; // 释放替代节点内存,彻底删除replace
return true; // 删除成功
}
}
}
return false; // 没找到删除的节点,直接return false
}
// 在类里面的递归基本上要这样玩,尤其是树的递归,因为树的递归起始条件一般是根,都要套一层(内部/外部)
void InOrder() // 套一层,因为外部拿不到根,内部是可以拿到根的,这种方式是最推荐的拿根方式
{
// 调的是不需要传根的,但是再去调用这个子函数,把根传过去
// 这样外面就不需要传了,也不需要提供get root,不过get root调用的时候也方便
_InOrder(_root); // 树的起始条件
cout << endl; // 打印完了最好在这里换个行
}
private:
// 中序遍历:最简单的递归
// 写出一个中序遍历出来,中序遍历有序,并且数据都在,能够验证功能
void _InOrder(Node* root) // 套一层,把它变成一个子函数
{
if (root == nullptr)
return;
_InOrder(root->_left); // 先递归访问左子树,传左子树的根
cout << root->_key << " "; // 再看这个地方的值
_InOrder(root->_right); // 再递归访问右子树,传右子树的根
}
private:
Node* _root = nullptr; // 默认构造时让根节点初始化一下就可以了
};#define _CRT_SECURE_NO_WARNINGS 1
#include"SearchBinaryTree.h"
int main()
{
int a[] = { 8,3,1,10,1,6,4,7,14,13 }; // 给一个数组
BSTree<int> t; // 定义一棵树
for (auto e : a) // 数组也支持访问for
{
t.Insert(e); // 把数据插入进去
}
t.InOrder(); // C++递归很麻烦,这里要传根,但是根是私有的
// 打印结果:1 3 4 6 7 8 10 13 14(成功,并且是有序的——中序遍历)
// 这样基本上说明插入是没问题的
t.Find(1);
t.InOrder();
t.Erase(3); // 没啥问题
t.Erase(8);
t.InOrder();
t.Erase(1); // 没啥问题
t.InOrder();
t.Erase(10); // 左为空
t.InOrder();
for (auto e : a) // 需要全部再删一次,重复删不会报错
{
t.Insert(e);
}
return 0;
}

只有key作为关键码,结构中只需要存储key即可,关键码即为需要搜索到的值,搜索场景只需要判断key在不在。key的搜索场景实现的二又树搜索树支持增删查,但是不支持修改,修改key破坏搜索树结构了。
场景1:小区无人值守车库,小区车库买了车位的业主车才能进小区,那么物业会把买了车位的业主的车牌号录入后台系统,车辆进入时扫描车牌在不在系统中,在则抬杆,不在则提示非本小区车辆,无法进入。

场景2:检查一篇英文文章单词拼写是否正确,将词库中所有单词放入二叉搜索树,读取文章中的单词,查找是否在二叉搜索树中,不在则波浪线标红提示。
每一个关键码key,都有与之对应的值value,value可以任意类型对象。树的结构中(结点)除了需要存储key还要存储对应的value,增/删/查还是以key为关键字走二叉搜索树的规则进行比较,可以快速查找到key对应的value。key/value的搜索场景实现的二叉树搜索树支持修改,但是不支持修改key,修改key破坏搜索树性质了,可以修改value。
场景1:简单中英互译字典,树的结构中(结点)存储key(英文)和vlaue(中文),搜索时输入英文,则同时查找到了英文对应的中文。

场景2:商场无人值守车库,入口进场时扫描车牌,记录车牌和入场时间,出口离场时,扫描车牌,查找入场时间,用当前时间-入场时间计算出停车时长,计算出停车费用,缴费后抬杆,车辆离场——

场景3:统计一篇文章中单词出现的次数,读取一个单词,查找单词是否存在,不存在这个说明第一次出现,( 单词 , 1),单词存在,则++单词对应的次数。
key / value场景下的代码实现如下所示——
// Alice:key / value场景
namespace key_value
{
// 开始定义
template<class K,class V>
struct BSTreeNode
{
BSTreeNode<K,V>* _left;
BSTreeNode<K,V>* _right;
K _key; // K就是key
V _value;
// 构造,构造完节点就没问题了
BSTreeNode(const K& key,const V& value)
:_left(nullptr)
, _right(nullptr)
, _key(key)
,_value(value)
{
}
};
// 不允许相等的值输入
template<class K,class V>
class BSTree
{
typedef BSTreeNode<K,V> Node; // 节点名字有点长,可以typedef一下,因为要大量用到节点
public:
// 不允许相等的值插入
// 也可以允许相等的值插入,这样就要继续插入下去,但是要统一一下插入到左边还是右边,这样更好一点
bool Insert(const K& key,const V& value) // 实现插入
{
if (_root == nullptr) // 根节点为空
{
_root = new Node(key,value); // 直接在根节点new一个
return true;
}
Node* parent = nullptr; // 要给一个父节点的指针,因为链式结构要插入要完成链接
Node* cur = _root;
while (cur) // 查找到空就截止
{
if (cur->_key < key) // 比cur大就往右走
{
parent = cur; // cur要往下走,要给parent
cur = cur->_right;
}
else if (cur->_key > key) // 比cur小就往左走
{
parent = cur;
cur = cur->_left;
}
else
{
return false; // 相等就return false
}
}
cur = new Node(key, value);// 新节点能不能直接给这个cur?不能,cur是个局部变量,除了作用域就销毁了
// cur这个时候为空,接下来要继续链接,要再比较一次,链接到左边还是右边
if (parent->_key < key)
{
parent->_right = cur; // 比parent大,插入在右边
}
else
{
parent->_left = cur; // 比parent小,插入在左边
}
return true;
}
// 查找——也可以递归写,但是没有递归更好
Node* Find(const K& key)
{
Node* cur = _root; // 把根节点给cur,比它小往左边走,比它大往右边走
while (cur)
{
if (cur->_key < key)
{
// 查找也不需要parent
cur = cur->_right;
}
else if (cur->_key > key)
{
// 查找也不需要parent
cur = cur->_left;
}
else
{
return cur; // 相等就找到了,return cur
}
}
return nullptr; // 找不到就return nullptr
}
// 搜索二叉树这个部分,删除是很麻烦的,先找到再删除,找到不难,但是删除很难
// 面试如果考,一定不会考插入、查找,肯定会考删除
bool Erase(const K& key)
{
Node* parent = nullptr; // 记录当前节点的父节点
Node* cur = _root; // 从根节点开始搜索
// 1、查找要删除的节点
while (cur)
{
if (cur->_key < key) // 目标key比当前节点大,向右子树搜索
{
parent = cur;
cur = cur->_right;
}
else if (cur->_key > key) // 目标key比当前节点小,向左子树搜索
{
parent = cur;
cur = cur->_left;
}
else // 找到要删除的节点cur——要干掉的节点
{
// 情况1:要删除的节点左子树为空(只有右子树或没有子树)
// 左为空
if (cur->_left == nullptr) // 父亲节点的左指向我的右
{
//if (cur == parent->_left) // 13没删掉
if (cur == _root) // 如果要删除的是根节点,(改变根节点)让孩子自己变成根
{
_root = cur->_right; // 上面是左为空,所以让父亲指向我的右
// 让右孩子成为新的根
}
else
{
// 判断cur是父节点的左孩子还是右孩子
if (cur == parent->_left) // 父亲节点的左指向我的右,父节点的左指针指向cur的右孩子
{
parent->_left = cur->_right;
}
else // 父亲节点的右指向我的左
{
parent->_right = cur->_right; // 父节点的右指针指向cur的右孩子
}
}
delete cur; // 删除cur,释放节点内存
return true; // 找到了,删除成功
}
// 情况2:要删除的节点右子树为空(只有左子树)
// 右为空
else if (cur->_right == nullptr) // 父亲节点的右指向我的左
{
if (cur == _root) // 如果要删除的是根节点,(改变根节点)让孩子自己变成根
{
_root = cur->_left; // 上面是右为空,所以让父亲指向我的左
// 让左孩子成为新的根
}
else
{
if (cur == parent->_left)
{
parent->_left = cur->_left; // 父节点的左指针指向cur的左孩子
}
else
{
parent->_right = cur->_left; // 父节点的右指针指向cur的左孩子
}
}
delete cur; // 释放节点内存
return true; // 删除成功
}
// 情况3:要删除的节点左右子树都不为空(最复杂的情况!!!)
else // 左右均不为空
{
// 策略:用右子树的最小节点(中序后继)来替代当前节点
// 找cur右子树的最小节点替代
//Node* replaceParent = nullptr; // 如果左边直接是空,那么cur直接是父亲节点
Node* replaceParent = cur; // 替代节点的父节点,replace节点的parent,没有这个就不好删
Node* replace = cur->_right; // 从右子树开始找
// 在右子树中一直向左找,找到最小的节点(最左节点)
while (replace->_left) // 找最左节点,不为空就继续,等于空就找到了
{
replaceParent = replace; // 把replace给过去,每次都给
replace = replace->_left; // 左不为空,就不断往左边找
}
// 用替代节点的值覆盖要删除节点的值
cur->_key = replace->_key; // 不需要交换,替代的本质是把replace节点的值传过去
cur->_value = replace->_value;
// 需要判断一下
// 删除替代节点(替代节点要么是叶子节点,要么只有右子树)
if (replaceParent->_left == replace) // 如果左指向replace
replaceParent->_left = replace->_right;
// 连接替代节点的右子树,让左指向replace的右
else // 如果右指向replace
replaceParent->_right = replace->_right;
// 连接替代节点的右子树,让右指向replace的右
delete replace; // 释放替代节点内存,彻底删除replace
return true; // 删除成功
}
}
}
return false; // 没找到删除的节点,直接return false
}
// 在类里面的递归基本上要这样玩,尤其是树的递归,因为树的递归起始条件一般是根,都要套一层(内部/外部)
void InOrder() // 套一层,因为外部拿不到根,内部是可以拿到根的,这种方式是最推荐的拿根方式
{
// 调的是不需要传根的,但是再去调用这个子函数,把根传过去
// 这样外面就不需要传了,也不需要提供get root,不过get root调用的时候也方便
_InOrder(_root); // 树的起始条件
cout << endl; // 打印完了最好在这里换个行
}
private:
// 中序遍历:最简单的递归
// 写出一个中序遍历出来,中序遍历有序,并且数据都在,能够验证功能
void _InOrder(Node* root) // 套一层,把它变成一个子函数
{
if (root == nullptr)
return;
_InOrder(root->_left); // 先递归访问左子树,传左子树的根
cout << root->_key << " "; // 再看这个地方的值
_InOrder(root->_right); // 再递归访问右子树,传右子树的根
}
private:
Node* _root = nullptr; // 默认构造时让根节点初始化一下就可以了
};
}


运行一下——

运行一下——

^Z:Ctrl + Z + Enter(回车),就能取消运行。


往期回顾:
结语:都看到这里啦!那请大佬不要忘记给博主来个“一键四连”哦!
🗡博主在这里放了一只小狗,大家看完了摸摸小狗放松一下吧!🗡 ૮₍ ˶ ˊ ᴥ ˋ˶₎ა