树是⼀种非线性的数据结构,它是由 n(n>=0)个有限结点组成⼀个具有层次关系的集合。把它叫
做树是因为它看起来像⼀棵倒挂的树,也就是说它是根朝上,而叶朝下的。
有⼀个特殊的结点,称为根结点,根结点没有前驱结点。
除根结点外,其余结点被分成 M(M>0) 个互不相交的集合 T1、T2、……、Tm ,其中每⼀个集合
Ti(1 <= i <= m) ⼜是⼀棵结构与树类似的⼦树。每棵子树的根结点有且只有⼀个前驱,可以有0个
或多个后继。因此,树是递归定义的。
树形结构中,子树之间不能有交集,否则就不是树形结构。
非树形结构:


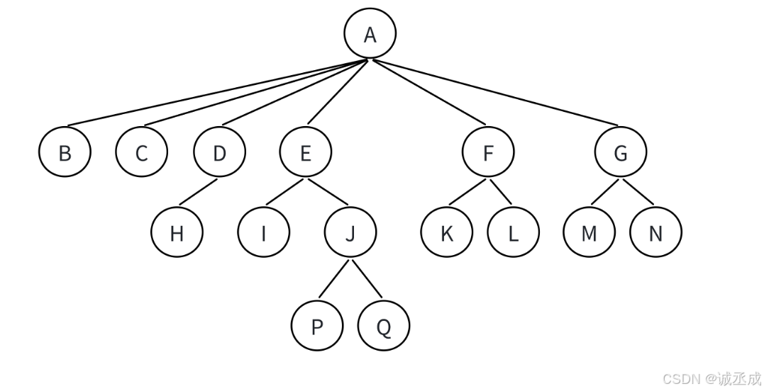
节点的度:一个节点含有的子树的个数称为该节点的度;如上图:A的为6
叶节点或终端节点:度为0的节点称为叶节点;如上图:B、C、H、I...等节点为叶节点
非终端节点或分支节点:度不为0的节点;如上图:D、E、F、G...等节点为分支节点
双亲节点或父节点:若一个节点含有子节点,则这个节点称为其子节点的父节点;如上图:A是B的父节点
孩子节点或子节点:一个节点含有的子树的根节点称为该节点的子节点;如上图:B是A的孩子节点
兄弟节点:具有相同父节点的节点互称为兄弟节点;如上图:B、C是兄弟节点
树的度:一棵树中,最大的节点的度称为树的度;如上图:树的度为6
节点的层次:从根开始定义起,根为第1层,根的子节点为第2层,以此类推;
树的高度或深度:树中节点的最大层次;如上图:树的高度为4
堂兄弟节点:双亲在同一层的节点互为堂兄弟;如上图:H、I互为兄弟节点
节点的祖先:从根到该节点所经分支上的所有节点;如上图:A是所有节点的祖先
子孙:以某节点为根的子树中任一节点都称为该节点的子孙。如上图:所有节点都是A的子孙
森林:由m(m>0)棵互不相交的树的集合称为森林;
较为常用的概念已用红色标出。
树结构相对线性表就⽐较复杂了,要存储表示起来就比较⿇烦了,既然保存值域,也要保存结点和结点之间的关系,实际中树有很多种表示方式如:双亲表示法,孩⼦表示法、孩子双亲表示法以及孩子兄弟表示法等。我们这⾥就简单的了解其中最常用孩子兄弟表示法。
struct TreeNode
{
struct Node* child; //左边开始的第一个孩子结点
struct Node* brother; //指向其右边的下一个兄弟结点
int data; //结点中的数据域
};

⽂件系统是计算机存储和管理⽂件的⼀种⽅式,它利⽤树形结构来组织和管理⽂件和⽂件夹。在⽂件系统中,树结构被⼴泛应⽤,它通过⽗结点和⼦结点之间的关系来表⽰不同层级的⽂件和⽂件夹之间的关联。
例如,文件系统的表示就是一种树形结构。

在树形结构中,我们最常⽤的就是⼆叉树。
⼀棵⼆叉树是结点的⼀个有限集合,该集合由⼀个根结点加上两棵别称为左⼦树和右⼦树的⼆叉树
组成或者为空。

从上图可以看出⼆叉树具备以下特点:
⼆叉树不存在度⼤于 2 的结点⼆叉树的⼦树有左右之分,次序不能颠倒,因此⼆叉树是有序树。
注意:对于任意的⼆叉树都是由以下⼏种情况复合⽽成的。

现实中的二叉树。

满二叉树 ⼀个⼆叉树,如果每⼀个层的结点数都达到最⼤值,则这个⼆叉树就是满⼆叉树。
也就是说,如果⼀个⼆叉树的层数为 k ,且结点总数是2^k-1,则它就是满⼆叉树。
完全二叉树 完全⼆叉树是效率很⾼的数据结构,完全⼆叉树是由满⼆叉树⽽引出来的。对于深度为 K 的,有 n 个结点的⼆叉树,当且仅当其每⼀个结点都与深度为K的满⼆叉树中编号从1⾄ n 的结点⼀⼀对应时称之为完全⼆叉树。要注意的是满⼆叉树是⼀种特殊的完全⼆叉树。

二叉树的性质:
注意:关于第四点性质,在此处简单讲解一下: 二叉树是由一个个度为0的节点依次连接而成的,假设此时有1个度为0的节点A并插入一个节点B,此时A节点的度变为1,B节点的度依然还是0,度为0的节点数还是1个,度为1的节点数由0变成1个,而度为2的节点是由度为1的节点演化而来,当增加一个度为2的节点时,度为0的节点也会增加一个,类推即可得性质4.
⼆叉树⼀般可以使⽤两种结构存储,⼀种顺序结构,⼀种链式结构
顺序结构存储就是使用数组来存储,一般使用数组只适合表示完全二叉树,因为不是完全二叉树会有空间的浪费。
而现实中使用中只有堆才会使用数组来存储,关于堆我们后面的章节会专门讲解。
二叉树顺序存储在物理上是一个数组,在逻辑上是一颗二叉树。

二叉树的链式存储结构是指,用链表来表示一棵二叉树,即用链来指示元素的逻辑关系。
通常的方法是链表中每个结点由三个域组成,数据域和左右指针域,左右指针分别用来给出该结点
左孩子和右孩子所在的链结点的存储地址 。链式结构又分为二叉链和三叉链,当前我们学习中一
般都是二叉链。
