首页
学习
活动
专区
圈层
工具
发布
首页
学习
活动
专区
圈层
工具
MCP广场
社区首页 >专栏 >基于ORB-SLAM、A*及DWA的自主导航方案

基于ORB-SLAM、A*及DWA的自主导航方案

作者头像
用户2423478
发布2025-10-31 18:35:50
发布2025-10-31 18:35:50
330
举报
文章被收录于专栏:具身小站具身小站

REF:基于 SLAM 技术的路径规划及避障研究

1. SLAM建图

RGB-D SLAM 算法包括前端和后端,前端对 RGB 图像和深度信息进行特征提取和匹配,提取关键帧和位姿估计后,构建地图和位姿优化,后端对传输的地图、位姿再次进行位姿优化和重定位,最终输出位姿和全局地图。

8622ac17bc3ffa6995a505086f103e0f.png
8622ac17bc3ffa6995a505086f103e0f.png

图像间的距离表示如下,其中:

  • Ra 、Rb 和 t a 、t b :分别表示 2 个图像帧的选择矩阵和平移向量
  • r :表示权重系数。根据旋转对应的相机位姿变化,设置为 1. 6
0ad03f68092929ca8cfd3e8bb31e7871.png
0ad03f68092929ca8cfd3e8bb31e7871.png

2. 路径规划

  • 基于剩余距离优化A*算法启发函数:基于当前节点 n 和起始点 s 到目标点 t 的距离的比值,作为启发函数权重
7a1eefd081a29a44ef74675f25c871a6.png
7a1eefd081a29a44ef74675f25c871a6.png
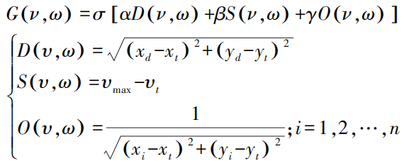
  • DWA评价函数:
    • σ、α、β、γ:分别为总代价、目标距离代价、速度代价、障碍物距离代价的单位代价加权系数,分别为 0. 05、0. 08、0. 1 和 0. 3
    • (xt,yt )、(xd,yd) 、(xi,yi ):分别表示预测节点、目标节点和第 i 个障碍物的坐标位置
    • υmax 和 υt :分别为自动导引小车的最大速度和预测速度空间的速度
    • D(ν,ω) 和 O(ν,ω) :表示速度采样空间至目标点位置和障碍物的距离代价
    • G(ν,ω) 和 S(ν,ω) :分别为速度采样空间的总代价和速度代价
    51e441b13711aeab25f58cf120c69e9a.png
    51e441b13711aeab25f58cf120c69e9a.png
  • 融合A*和DWA:改进 A∗-DWA 算法流程主要分为五个步骤
    1. 初始化栅格地图和AGV参数,初设当前搜索节点
    2. 采用加权启发函数求出当前节点的 f(n) 、p (n) 、h(n) 值,并确定搜索节点
    3. 更新搜索节点,对目标节点提取关键节点并删除冗余节点和拐点,并更新全局最优路径
    4. 采用DWA算法进行AGV速度选择,并构建基于 AGV 运动学模型模拟小车运动轨迹
    5. 根据全局最优路径的评价函数选择最优轨迹,从而驱动AGV进行运动,最后达到目标点则得到最优路径,算法终止。
    3ccc819e523c4fd1e869b7bd5215f544.png
    3ccc819e523c4fd1e869b7bd5215f544.png
本文参与 腾讯云自媒体同步曝光计划,分享自微信公众号。
原始发表:2025-10-26,如有侵权请联系 cloudcommunity@tencent.com 删除

本文分享自 具身小站 微信公众号,前往查看

如有侵权,请联系 cloudcommunity@tencent.com 删除。

本文参与 腾讯云自媒体同步曝光计划  ,欢迎热爱写作的你一起参与!

评论
登录后参与评论
0 条评论
热度
最新
推荐阅读
目录
  • 1. SLAM建图
  • 2. 路径规划
领券
问题归档专栏文章快讯文章归档关键词归档开发者手册归档开发者手册 Section 归档