🔥个人主页:@草莓熊Lotso 🎬作者简介:C++研发方向学习者 📖个人专栏: 《C语言》 《数据结构与算法》《C语言刷题集》《Leetcode刷题指南》 ⭐️人生格言:生活是默默的坚持,毅力是永久的享受。
前言: 在之前的博客中我们学习了顺序表和链表,栈和队列,那么现在我们准备开始进去树和二叉树的学习了,这一块的知识会比前面难很多,我们第一个这个先导篇主要是为大家介绍一下其中的一些概念
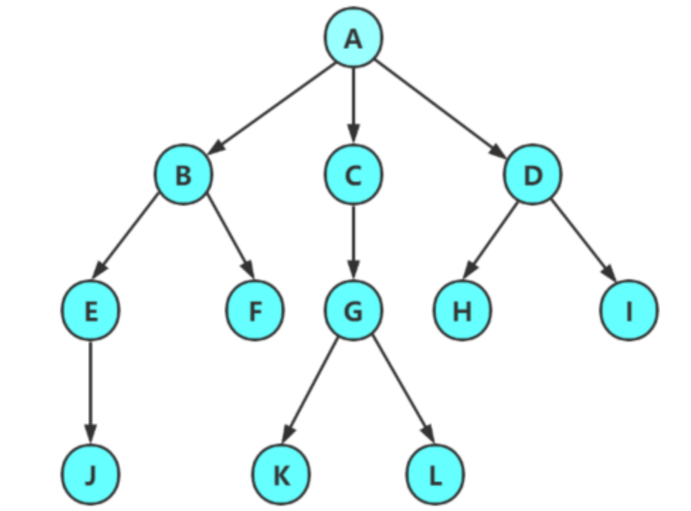
--树是一种非线性的数据结构,它是由n(n>=0)个有限的节点组成的一个具有关系层次的集合。把它叫做树是因为它看起来像一颗倒挂的树,其根是朝上的,叶子朝下。


树形结构中,子树之间一定没有交集,否则就不是树形结构了,我们来看一些非树形结构

树的性质:

这些小概念看起来很多,其实理解起来很简单,大家对这些概念需要比较熟悉,后面有的地方会用到
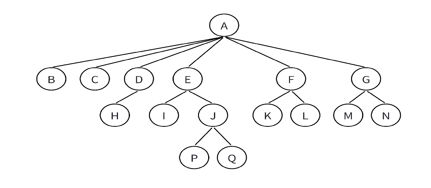
--树的结构比较复杂,存储起来很麻烦,实际中我们树有很多种表示方法,比如孩子表示法,但我们树的表示如果全用孩子节点的话需要的个数会很多,很不方便。所以我们最常用的是孩子兄弟表示法,我们一起来看一下这个方法吧。
struct TreeNode
{
struct Node* child; // 左边开始的第⼀个孩⼦结点
struct Node* brother; // 指向其右边的下⼀个兄弟结点
int data; // 结点中的数据域
};
--文件系统是计算机存储和管理文件的一种方式,它利用树形结构来组织和管理文件以及文件夹。在文件系统中,树结构的运用十分广泛,它通过父节点和子节点之间的关系来表示不同层次文件之间的关联


--在树形结构中,如果我们直接使用太过复杂,我们比较常用的一般是二叉树,一颗二叉树是结点的一个有效集合,该集合由一个根结点加上两颗分别称为左子树和右子树的二叉树组成或者为空。

通过上述图片我们可以看出二叉树具有以下特点:
注意:对于任意的二叉树都是由以下几种情况符合而成的

一个二叉树如果每一个层的结点数都达到最大值,则这个二叉树就是满二叉树,也就是说,如果一个二叉树层次为k,其结点总数就是2^k-1,则它就是满二叉树。

完全二叉树是效率很高的数据结构,完全二叉树是由满二叉树而引出来的。对于深度为k的,有n个结点的二叉树,当且仅当其每一个结点都与深度为k的满二叉树中编号从1至n的结点一一对应时称之为完全二叉树。注意满二叉树是一种特殊的完全二叉树。

📝二叉树的性质: --根据满二叉树的性质可知:
--完全二叉树最后一层结点个数<=2^(i-1)
--二叉树一般可以使用两种结构存储,一种是顺序结构,一种是链式结构。
--顺序结构存储就是使用数组来存储,一般使用数组只适合表示完全二叉树,因为不是完全二叉树会有空间的浪费,完全二叉树更适合使用顺序结构存储。


现实中我们通常把堆(一种二叉树)使用顺序结构的数组来存储,需要注意的是这里的堆和操作系统虚拟进程地址空间中的堆是两回事,⼀个是数据结构,⼀个是操作系统中管理内存的⼀块区域分段。
二叉树的链式存储结构是指,用链表来表示一棵二叉树,即用链来指示元素的逻辑关系。 通常的方法是链表中每个结点由三个域组成,数据域和左右指针域,左右指针分别用来给出该结点左孩子和右孩子所在的链结点的存储地址 。链式结构又分为二叉链和三叉链,当前我们学习的二叉树⼀般都是二叉链,后续红黑树等高阶数据结构的学习会用到三叉树


往期回顾:
结语:这篇博客带大家了解了树和二叉树的一些概念与术语以及两种存储结构的概念和思想,在后续的博客中我会带大家深入了解这两种结构,并进行代码的实现,如果文章对你有帮助的话,欢迎评论,点赞,收藏加关注,感谢大家的支持。