
动态规划(Dynamic Programming,简称DP)是一种算法思想,它将问题分解为更小的子问题,然后将子问题的解存起来,避免重复计算。
所以动态规划中每一个状态都是由上一个状态推导出来的,这一点就区别于贪心,贪心没有状态推导。
并且动态规划问题可以分为很多种类,如线性DP、区间DP、背包DP、树形DP、状态压缩DP、数位DP、计数型DP、递推型DP、博弈型DP和记忆化搜索等。每种类型都有其特定的问题模型和解决方法。如线性DP通常通过处理一维数组或字符串,区间DP处理二维区间,背包问题处理物品的选择问题。

这说的的都是啥玩意啊?怎么字都认识?连在一起,就都不懂了?
我们来看下,网上比较流行的一个例子:
有一道题,挺适合启蒙思想的-青蛙跳阶问题 这里我们只是带入思想,不给出题解,相信大家,在看完本文后,肯定能解决。
leetcode原题:一只青蛙一次可以跳上1级台阶,也可以跳上2级台阶。求该青蛙跳上一个 10 级的台阶总共有多少种跳法。
所以可以推导,得出这么一个结论:
f(10) = f(9)+f(8)
f (9) = f(8) + f(7)
f (8) = f(7) + f(6)
...
f(3) = f(2) + f(1)
f(n) = f(n-1) + f(n-2)而 f(n) = f(n-1) + f(n-2); 又叫做递推公式,这也是动态规划的核心。
Carl对动态规划,总结成了5步,如果这5步都能合理的掌握并运用,相当于神功大成\( ̄︶ ̄*\))
好啦,接下来举例子:
斐波那契数 (通常用 F(n) 表示)形成的序列称为 斐波那契数列 。该数列由 0 和 1 开始,后面的每一项数字都是前面两项数字的和。也就是:
F(0) = 0,F(1) = 1
F(n) = F(n - 1) + F(n - 2),其中 n > 1给定 n ,请计算 F(n) 。
示例 1:
输入:n = 2
输出:1
解释:F(2) = F(1) + F(0) = 1 + 0 = 1示例 2:
输入:n = 3
输出:2
解释:F(3) = F(2) + F(1) = 1 + 1 = 2示例 3:
输入:n = 4
输出:3
解释:F(4) = F(3) + F(2) = 2 + 1 = 3提示:
0 <= n <= 30这道题目,作例子,再合适不过了。
在示例1~3中:递归公式,给的在明显不过了。
f(n) = f(n-1) + f(n-2);
咱们在开篇时已经讲过:动态规划是 将问题分解为更小的子问题,然后将子问题的解存起来,避免重复计算。
重点是存起来,所以就需要用到数组喽,如下:
arr[0]=0;
arr[1]=1;
for(int i=2; i<=n; ++i){
arr[i]=arr[i-1]+arr[i-2];
}这就是递推,本题的总代码如下:
class Solution {
public:
int fib(int n) {
// 排除意外
if(n==0) return 0;
else if(n==1) return 1;
vector<int> arr(n+1);
arr[0]=0;
arr[1]=1;
for(int i=2; i<=n; ++i){
arr[i]=arr[i-1]+arr[i-2];
}
return arr[n];
}
};相信到这里,大家已经基本对动态规划有了大致了解,接下来可以安心开刷了( •̀ ω •́ )✧
6、整数拆分-(解析)-需要考虑,数字拆成几个?需要有一定推理能力
7、不同的二叉搜索树-(解析)-需要有能力,跳出数字约束,进入宏观层面
假设你正在爬楼梯。需要 n 阶你才能到达楼顶。
每次你可以爬 1 或 2 个台阶。你有多少种不同的方法可以爬到楼顶呢?
示例 1:
输入:n = 2
输出:2
解释:有两种方法可以爬到楼顶。
1. 1 阶 + 1 阶
2. 2 阶示例 2:
输入:n = 3
输出:3
解释:有三种方法可以爬到楼顶。
1. 1 阶 + 1 阶 + 1 阶
2. 1 阶 + 2 阶
3. 2 阶 + 1 阶提示:
1 <= n <= 45class Solution {
// 线性dp基础练习
public:
int climbStairs(int n) {
if(n==1) return 1;
if(n==2) return 2;
vector<int> res(n+1);
res[1]=1;
res[2]=2;
for(int i=3; i<=n; ++i){
res[i] = res[i-1] + res[i-2];
}
return res[n];
}
};给你一个整数数组 cost ,其中 cost[i] 是从楼梯第 i 个台阶向上爬需要支付的费用。一旦你支付此费用,即可选择向上爬一个或者两个台阶。
你可以选择从下标为 0 或下标为 1 的台阶开始爬楼梯。
请你计算并返回达到楼梯顶部的最低花费。
示例 1:
输入:cost = [10,15,20]
输出:15
解释:你将从下标为 1 的台阶开始。
- 支付 15 ,向上爬两个台阶,到达楼梯顶部。
总花费为 15 。示例 2:
输入:cost = [1,100,1,1,1,100,1,1,100,1]
输出:6
解释:你将从下标为 0 的台阶开始。
- 支付 1 ,向上爬两个台阶,到达下标为 2 的台阶。
- 支付 1 ,向上爬两个台阶,到达下标为 4 的台阶。
- 支付 1 ,向上爬两个台阶,到达下标为 6 的台阶。
- 支付 1 ,向上爬一个台阶,到达下标为 7 的台阶。
- 支付 1 ,向上爬两个台阶,到达下标为 9 的台阶。
- 支付 1 ,向上爬一个台阶,到达楼梯顶部。
总花费为 6 。提示:
2 <= cost.length <= 10000 <= cost[i] <= 999class Solution {
// 稍稍具有一点,推导能力的线性dp
public:
int minCostClimbingStairs(vector<int>& cost) {
vector<int> res(cost.size()+1);
res[0] = 0;
res[1] = 0;
for(int i=2; i<=cost.size(); ++i){
res[i] = min(res[i-1]+cost[i-1], res[i-2]+cost[i-2]);
}
return res[cost.size()];
}
};一个机器人位于一个 m x n 网格的左上角 (起始点在下图中标记为 “Start” )。
机器人每次只能向下或者向右移动一步。机器人试图达到网格的右下角(在下图中标记为 “Finish” )。
问总共有多少条不同的路径?
示例 1:

输入:m = 3, n = 7
输出:28示例 2:
输入:m = 3, n = 2
输出:3
解释:
从左上角开始,总共有 3 条路径可以到达右下角。
1. 向右 -> 向下 -> 向下
2. 向下 -> 向下 -> 向右
3. 向下 -> 向右 -> 向下示例 3:
输入:m = 7, n = 3
输出:28示例 4:
输入:m = 3, n = 3
输出:6提示:
1 <= m, n <= 1002 * 109class Solution {
// 入门的区间dp
public:
int uniquePaths(int m, int n) {
vector<vector<int>> res(m,vector<int>(n));
for(int i=0; i<n; ++i) res[0][i]=1;
for(int j=0; j<m; ++j) res[j][0]=1;
for(int i=1; i<m; ++i){
for(int j=1; j<n; ++j){
res[i][j]=res[i-1][j]+res[i][j-1];
}
}
return res[m-1][n-1];
}
};给定一个 m x n 的整数数组 grid。一个机器人初始位于 左上角(即 grid[0][0])。机器人尝试移动到 右下角(即 grid[m - 1][n - 1])。机器人每次只能向下或者向右移动一步。
网格中的障碍物和空位置分别用 1 和 0 来表示。机器人的移动路径中不能包含 任何 有障碍物的方格。
返回机器人能够到达右下角的不同路径数量。
测试用例保证答案小于等于 2 * 109。
示例 1:

输入:obstacleGrid = [[0,0,0],[0,1,0],[0,0,0]]
输出:2
解释:3x3 网格的正中间有一个障碍物。
从左上角到右下角一共有 2 条不同的路径:
1. 向右 -> 向右 -> 向下 -> 向下
2. 向下 -> 向下 -> 向右 -> 向右示例 2:

输入:obstacleGrid = [[0,1],[0,0]]
输出:1提示:
m == obstacleGrid.lengthn == obstacleGrid[i].length1 <= m, n <= 100obstacleGrid[i][j] 为 0 或 1class Solution {
// 入门的区间dp
public:
int uniquePathsWithObstacles(vector<vector<int>>& obstacleGrid) {
int row = obstacleGrid.size();
int col = obstacleGrid[0].size();
vector<vector<int>> res(row,vector<int>(col, 0));
for(int i=0; i<row; ++i){
if(obstacleGrid[i][0]==1) break;
res[i][0] = 1;
}
for(int i=0; i<col; ++i){
if(obstacleGrid[0][i]==1) break;
res[0][i] = 1;
}
for(int i=1; i<row; ++i){
for(int j=1; j<col; ++j){
if(obstacleGrid[i][j]==1) continue;
res[i][j] = res[i-1][j] + res[i][j-1];
}
}
return res[row-1][col-1];
}
};给定一个正整数 n ,将其拆分为 k 个 正整数 的和( k >= 2 ),并使这些整数的乘积最大化。
返回 你可以获得的最大乘积 。
示例 1:
输入: n = 2
输出: 1
解释: 2 = 1 + 1, 1 × 1 = 1。示例 2:
输入: n = 10
输出: 36
解释: 10 = 3 + 3 + 4, 3 × 3 × 4 = 36。提示:
2 <= n <= 58class Solution {
// 本题的思考角度在于,一个数字,能被拆几次。(2~n此,因为拆的次数多了,所以才有无限可能...
public:
int integerBreak(int n) {
vector<int> dp(n+1, 0);
dp[0] = dp[1]=0;
for(int i=2; i<=n; ++i){
for(int j=1; j<i; ++j){
dp[i] = max(dp[i], max(j*(i-j),j*dp[i-j]));
}
}
return dp[n];
}
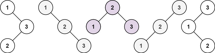
};给你一个整数 n ,求恰由 n 个节点组成且节点值从 1 到 n 互不相同的 二叉搜索树 有多少种?返回满足题意的二叉搜索树的种数。
示例 1:

输入:n = 3
输出:5示例 2:
输入:n = 1
输出:1提示:
1 <= n <= 19class Solution {
// 实现宏观抽象,不要看具体的数据,跳过数据看规律。
public:
int numTrees(int n) {
vector<int> dp(n+1,0);
dp[0]=1;
for(int i=1; i<=n; ++i){
for(int j=0; j<i; ++j){
dp[i] += dp[i-1-j]*dp[j];
}
}
// for(int i : dp) cout<<i<<endl;
return dp[n];
}
};需要有,跳出数据,从宏观逻辑分析的能力。

借鉴博客:
1、动态规划理论基础