
rm(list = ls())
library(Scillus)
library(Seurat)
library(ggplot2)
library(qs)
scRNA <- qread("sc_dataset.qs")
DimPlot(scRNA,label = T)
colnames(scRNA@meta.data)
plot_scdata(scRNA,
color_by = "celltype",
split_by = NA,
pal_setup = "Set1"
)
ggsave("celltype.pdf",width = 9,height = 7)
plot_scdata(scRNA,
color_by = "celltype",
split_by = "hpv",
pal_setup = "Set1" # Dark2,也可以自定义颜色
)
ggsave("celltype.pdf",width = 18,height = 7)
#"group_count", "prop_fill", and "prop_multi". 三种模式
plot_stat(scRNA,
plot_type = "group_count", #"group_count", "prop_fill", and "prop_multi".
group_by = "hpv",
pal_setup = "Set2",
plot_ratio = 1,
text_size = 10,
tilt_text = FALSE)
plot_stat(scRNA,
plot_type = "prop_fill", #"group_count", "prop_fill", and "prop_multi".
group_by = "hpv",
pal_setup = "Set2",
plot_ratio = 1,
text_size = 10,
tilt_text = FALSE)
plot_stat(scRNA,
plot_type = "prop_multi", #"group_count", "prop_fill", and "prop_multi".
group_by = "hpv",
pal_setup = "Set2",
plot_ratio = 1,
text_size = 10,
tilt_text = FALSE)
# 正式绘图
markers <- FindAllMarkers(scRNA, logfc.threshold = 0.1, min.pct = 0, only.pos = T)
plot_heatmap(dataset = scRNA,
markers = markers,
sort_var = c("celltype","hpv"),
anno_var = c("celltype","hpv"),
anno_colors = list("Set2",
c("tomato","#009CB8")
))
plot_heatmap(dataset = scRNA,
n = 6,# 每个聚类要绘制的基因数量。若指定标记基因,则此参数将不会被使用。
markers = markers,
sort_var = c("celltype","hpv"),
anno_var = c("celltype","hpv"),
anno_colors = list("Set2",
c("tomato","#009CB8")
),
hm_limit = c(-1,0,1),
hm_colors = c("purple","black","yellow"))

# 默认提取前100个基因
# 采用的是FinderMarker后的差异基因
plot_cluster_go(markers,
cluster_name = "myeloid cells",
org = "human", # 物种
ont = "CC") # Go分析的方法
# 全部细胞
plot_all_cluster_go(markers, org = "human", ont = "CC")
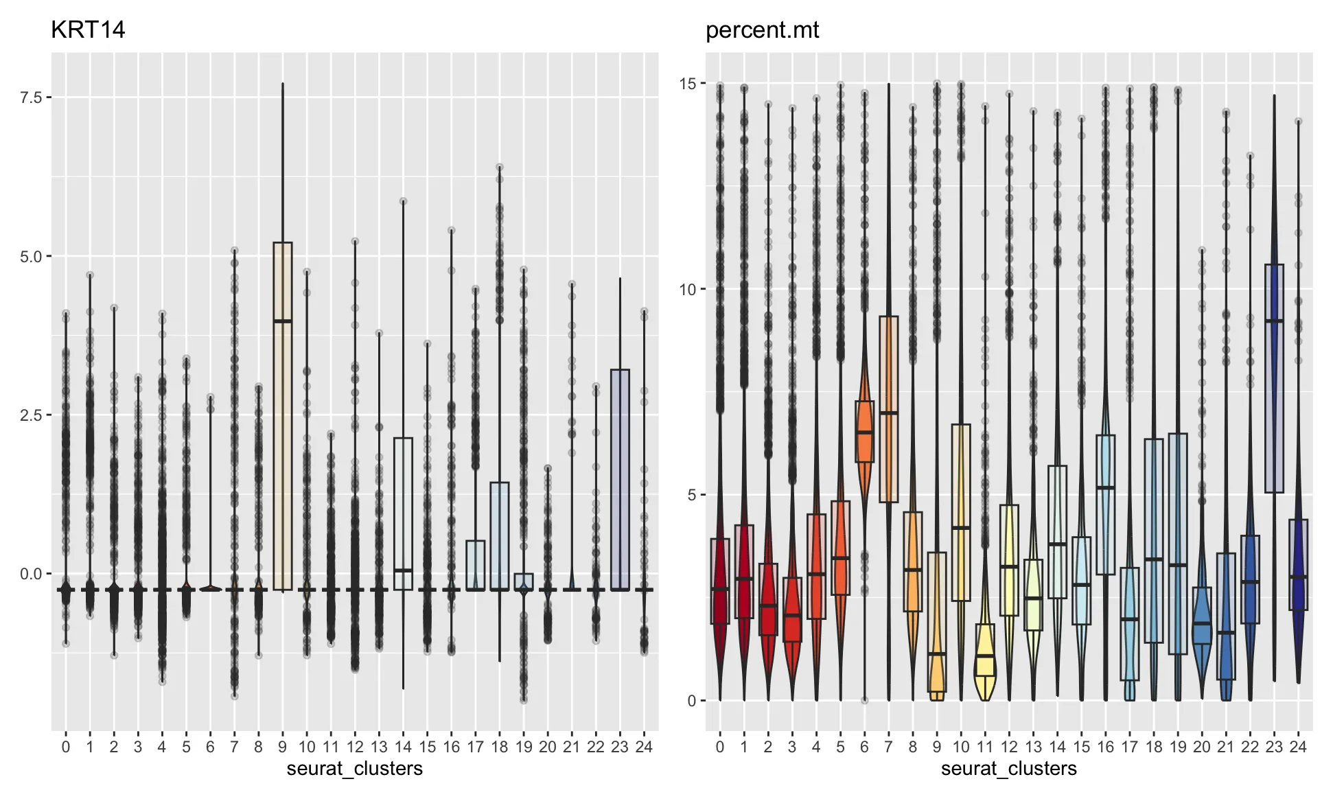
#在元数据中,这些测量指标被定义为连续变量,与基因表达值类似。函数 plot_measure() 和 plot_measure_dim()分别用于以箱线图或小提琴图,以及降维可视化的方式对这些变量进行汇总展示。参数 group_by、split_by 和 pal_setup 的使用方式与前述部分一致。
plot_measure(dataset = scRNA,
measures = c("KRT14","percent.mt"),
group_by = "seurat_clusters",
pal_setup = "Set2")
好像暂时不能用了
plot_measure_dim(dataset = scRNA,
measures = c("nFeature_RNA"))
# split_by = "GSE_num")de <- find_diff_genes(dataset = scRNA,
clusters = "fibroblasts",
comparison = c("hpv",
"HPV-","HPV+"),
logfc.threshold = 0, # threshold of 0 is used for GSEA
min.cells.group = 1) # To include clusters with only 1 cell
gsea_res <- test_GSEA(de,
pathway = pathways.hallmark)
plot_GSEA(gsea_res, p_cutoff = 0.1,
colors = c("#0570b0", "grey", "#d7301f"))
1.Scillus:https://scillus.netlify.app/
注:若对内容有疑惑或者有发现明确错误的朋友,请联系后台。更多相关内容可关注公众号:生信方舟 。
原创声明:本文系作者授权腾讯云开发者社区发表,未经许可,不得转载。
如有侵权,请联系 cloudcommunity@tencent.com 删除。
原创声明:本文系作者授权腾讯云开发者社区发表,未经许可,不得转载。
如有侵权,请联系 cloudcommunity@tencent.com 删除。