
国产半导体现在的打法就是P2P,想要取胜就是两点,性能和价格的双赢,当然了价格这个原因很多,但是性能和参数确实是硬实力;其实今天这个也算老朋友了,在今年的三月份就介绍过他们一些东西了,经过几个月的打磨现在又拿出了不错的东西。
先来简单的回忆一下他们吧!

聚芯微
也是一家专门做 ADC 的公司,基本上常见构架的都有产品:

主要还是分四个场景,工业过程,医疗测量,军工以及集成的 AFE 方案

精度和采样率
在大的牌面上,是没有明显的短板的,基本上大对数应用都可以找到产品。
这次我拿到的是俩颗 SD 构架的 P2P 产品:SW201X是对标TI ADS1278的, SW201SX是在基础上升级的,最多可以到400K,8通道的输出。

特点就是通道多,采样率高以及真同步,在对相位敏感的场景是非常适合的

看见框图确实是这样的

一眼就知道是P2P 的
想要完全把芯片的功能发挥出来,得 FPGA驱动,先来看一下官方的评估板:

布局是很美观的

完整测试图
这个渲染一眼嘉立创,为了完全评估其性能,里面的 LDO 都是 LT30xx 系列:

用料豪华
这个评估板的内容,可以再写一篇,这篇还是以本身的性能为主。

我先放一个实测图
对,重点再强调一下带 S 的版本采样率是可以到 400K 的:

image-20250807114428266
带s的是升级款,主要就是在速率上做了扩展,其他是一样的。软硬件也是兼容1278的,在实测环节里面,看不带 S 和带 S 的版本温漂这些是差不多的,静态性能是一样的,动态性能差别比较大。

这是 S 版本性能汇总,可以看到在高精度 SINC 开启的情况下噪音最低可以到 4.5
除了喜闻乐见的参数呈现和一些仿真以外,这次也是拿到了原厂的测试结果,数据保真,欢迎测试使用~
开始!

就是这样
这个参数的呈现不是最好看的,我选择了一些易读的表达方式。

这个数据取自特性
展示了 SW201x(SW2014/SW2018)芯片在不同模式(HS、HR、LP、LS)下的关键性能指标:
HR 模式 SNR 达到 111.7 dB,THD 低至 -122.9 dB
LP 模式 THD 表现最佳(-124.3 dB)
所有模式 THD 均低于 -118 dB,线性失真极低
对比 FIR 与 SINC 滤波器在各模式下的噪声表现
SINC 滤波器总是更低噪声
最佳配置为:HR + SINC(4.5 μVrms)
功耗从 HS 的 34 mW 降至 LS 的仅 2.7 mW
LP 模式 仅用一半功耗维持接近 HR 的性能
好的,现在开始给大家喂饭,少安毋躁~
因为是数据手册参数好多,那我就直接抽取出来我平时感兴趣的东西。
模式 | SNR (dB) | THD (dB) | FIR 噪声 (μVrms) | SINC 噪声 (μVrms) | 功耗 (mW/通道) |
|---|---|---|---|---|---|
HS | 108.0 | -122.3 | 7.5 | 5.6 | 34.0 |
HR | 111.7 | -122.9 | 5.5 | 4.5 | 20.8 |
LP | 108.7 | -124.3 | 6.5 | 5.0 | 10.9 |
LS | 109.0 | -118.1 | 6.3 | 4.9 | 2.7 |
支持4/8通道同步采样
最高数据速率:144kSps
滤波器可选:高带宽 FIR / 低延迟 SINC
增益误差:< 1‰
增益温漂:1.08 ppm/°C
Offset:< ±60 μV
Offset drift:0.67 μV/°C
参数类别 | 数值 |
|---|---|
输入电压范围 | ±2.5V(满量程差分) |
输入阻抗 | > 1 MΩ |
推荐输入电容 | ≤ 10 pF |
输入偏置电流 | ±1 nA 典型 |
参考电压范围 | 2.5V(典型),输入为差分 |
参考电流(IREF) | 50 μA 典型 |
输入共模范围 | 0V ~ VREF |
推荐参考电容 | 1 μF(每端接地) |
电源类型 | 名称 | 范围 | 典型值 | 描述 |
|---|---|---|---|---|
模拟电源 | AVDD | 3.0–3.6 V | 3.3 V | 主模拟供电 |
数字核心电源 | DVDD | 1.7–1.9 V | 1.8 V | 内核与逻辑 |
数字接口电源 | IOVDD | 1.7–3.6 V | 3.3 V | I/O 接口 |
功耗(总典型) | 所有通道合计 | 8 通道 ≈200 mW | 各模式下不同 |
SW201x 提供两种数字滤波器选项,通过 FILTER 引脚切换:
滤波器类型 | 支持模式 | 带宽(BW) | 群延迟(typ) | 优点 |
|---|---|---|---|---|
FIR | HR/LP | 宽 | 高(几十采样) | 高 SNR,低 THD |
SINC | HS/LS | 中等 | 低(几采样) | 低延迟,快响应 |
滤波器类型 | 特点 | -3dB带宽(占 fDATA) | 群延时 |
|---|---|---|---|
FIR | 线性相位、带内平坦、通带宽 | 0.49×fDATA | 38/fs |
SINC | 更低延迟、更好噪声性能 | 0.186×fDATA | 6/fs |
FIR 的纹波控制在 ±0.005dB,建议加前级 RC 抗混叠滤波器
SINC 适合测量直流或低频(更低延迟、更低噪声)
注:滤波器带宽随 ODR / 模式动态变化,手册建议用 decimation rate 设置调节带宽。
参数 | 数值 |
|---|---|
分辨率 | 24 位 |
通道类型 | 差分输入 |
通道选择方式 | 同步采样 / 独立关闭 |
输入过压保护 | ±6V(瞬时) |
噪声频带宽度 | 0.01 Hz 到 Nyquist |
INL(积分非线性) | ±6 ppm(典型) |
噪声性能(短路输入):
HS/SINC:5.6 μVrms
HR/SINC:4.5 μVrms(性能最好)
把我抽取出来的参数都可视化

image-20250808145138175
图表共分为六个板块,涵盖关键指标:
SNR & THD 折线图:HR 模式 SNR 最佳(111.7 dB),LP 模式 THD 最小(-124.3 dB)。
输入噪声柱状图:SINC 滤波器普遍噪声更低,HR+SINC 为最佳配置。
每通道功耗柱状图:HS 模式最高(34 mW),LS 模式最省电(2.7 mW)。
模拟输入 & 参考参数雷达图:展示输入阻抗、电流、参考电流、共模范围等关键特性。
供电电压柱状图:AVDD(3.3V)、DVDD(1.8V)、IOVDD(3.3V)均为标准供电。
FIR vs SINC 滤波器性能图(带宽 vs 延迟):FIR 延迟大但带宽高;SINC 适合低延迟场景。

SW201x 中两种数字滤波器结构的特性差异
滤波器类型 | 带宽特性 | 纹波 / 抑制 | 延迟特性 | 适用场景 |
|---|---|---|---|---|
FIR | 带宽较宽(~200 Hz) | 纹波更平滑,过渡带陡峭 | 较大(~38 个采样周期) | 高精度、稳态滤波,适合 HR 模式 |
SINC | 带宽较窄(~100 Hz) | 主瓣宽,旁瓣有明显衰减 | 延迟小(~6 个采样周期) | 低功耗、实时响应,适合 LP/LS 模式 |
手册里面有着 4 种模式下的动态测试:

如图所示
我这里只写高速和高精度模式,感觉很有代表性。
图是 SW201x 系列 ADC 在 HS(High Speed)模式下的典型频谱测试结果,展示了不同输入幅度、不同滤波器(FIR/SINC)配置下的输出频谱和关键性能参数。
共分为六个子图,左侧为 FIR 滤波器,右侧为 SINC 滤波器,每列对应不同的输入幅度(-0.5 dBFS、-20 dBFS、-40 dBFS)。
温度:25 °C
工作模式:HS 模式(高速)
电源电压:
AVDD = +5 V
DVDD = +1.8 V
IOVDD = +3.3 V
参考电压:VREFP = 2.5 V,VREFN = 0 V
时钟:fCLK = 27 MHz
采样率:105.47 kSps
样本点数:32768 points

image-20250808150959041
特性 | FIR 滤波器 | SINC 滤波器 |
|---|---|---|
带宽 | 更宽,频响陡峭 | 略窄,主瓣宽 |
SNR | 稍低 | 更高(见图4) |
THD | 极低,线性优 | 略高但仍优秀 |
SFDR | 两者相近 | 略优于 FIR |
低信号性能 | 热噪更明显 | SNR 更高,信号保持性更好 |
若追求最高分辨率与准确度:使用 HS + FIR + 满幅输入。
若低幅信号更常见(如微弱传感):建议使用 SINC 滤波器。
若关注带宽与实时响应:使用 FIR,可与 HR 模式结合。

image-20250808182759614
将 SW201x 在 HS 模式下的频谱特性按输入幅度逐级展示(-0.5 dBFS、-20 dBFS、-40 dBFS),对比了 FIR 滤波器 与 SINC 滤波器 的性能:
输入幅度 | 滤波器 | SNR (dB) | THD (dB) | SFDR (dB) | SINAD (dB) |
|---|---|---|---|---|---|
-0.5 dBFS | FIR | 106.7 | -123.5 | 127.8 | 106.6 |
-0.5 dBFS | SINC | 109.3 | -122.6 | 126.7 | 109.1 |
-20 dBFS | FIR | 88.6 | -106.8 | 112.1 | 86.6 |
-20 dBFS | SINC | 92.1 | -105.5 | 113.4 | 92.2 |
-40 dBFS | FIR | 67.9 | -91.0 | 97.3 | 67.9 |
-40 dBFS | SINC | 71.7 | -91.0 | 97.6 | 71.6 |
来绘制一下相位噪声谱、频域纹波变化:

image-20250808183101553
FIR 与 SINC 滤波器在 频域性能 上的差异对比:
FIR 滤波器
低频段(<1 kHz)表现优越,近端噪声低;远端(>10 kHz)噪声滚降略慢。
SINC 滤波器
在远端具有更平滑的衰减,适合对高频噪声更敏感的应用,但在近端相位噪声略高于 FIR。
FIR 滤波器:通带内有轻微波纹(passband ripple);截止频率处滚降更陡峭,提供更好抑制。
SINC 滤波器:通带较平滑,纹波小,适合高保真应用;截止区过渡带更宽,rolloff 较缓。

第二张
测试条件和上面是一样的。
项目 | FIR 滤波器 | SINC 滤波器 |
|---|---|---|
RMS 噪声 | 6.08 μV | 4.48 μV |
Peak-to-peak 噪声 | 52.8 μV | 34 μV |
波形形态 | 噪声振幅较大 | 波形更紧凑、均匀 |
观察 | 高动态范围下 FIR 输出噪声略大,纹理更粗 | SINC 滤波器噪声抑制更优,纹理更细腻 |
特征 | FIR 滤波器 | SINC 滤波器 |
|---|---|---|
分布形态 | 高斯分布良好 | 同样接近高斯分布 |
分布宽度 | 更宽,σ ≈ 6.08 μV | 更窄,σ ≈ 4.48 μV |
峰值频率 | 较低 | 更集中 |
FIR 滤波器:虽然能提供更高的 SNR(见前页频谱),但其通带更宽、抗混叠能力略逊 → 噪声积分范围大 → 输出 RMS 噪声更高。
SINC 滤波器:虽然 SNR 稍逊,但带宽受限 + 滤波平滑 → 显著降低 RMS/峰-峰 噪声,更适合 高稳定度直流测量。
用用 Python 重现一下直方图以及叠加高斯拟合:

image-20250808183641036
FIR 和 SINC 滤波器在典型测试条件下输出噪声的直方图分布,并叠加了高斯拟合曲线,用于比较两种滤波器对随机噪声的抑制能力。
RMS 噪声(Noiserms):约 6.07 μV
直方图分布:呈现近似对称的高斯分布
高斯拟合标准差(σ):约为 6.07 μV,与图中标注的 6.08 μV 极为接近
FIR 滤波器具有更宽的输出噪声分布,意味着其对带外噪声的衰减可能不如 SINC 滤波器
RMS 噪声(Noiserms):约 4.48 μV
直方图分布:同样接近高斯分布,中心集中度更高
高斯拟合标准差(σ):约为 4.48 μV,拟合良好
SINC 滤波器在相同采样率下能实现更低输出噪声,说明其低通特性更加陡峭,有效抑制了高频噪声

最后一个
在 HS 模式、fCLK = 37 MHz、不同输入电平(-0.5dBFS、-20dBFS、-40dBFS)下,分别使用 FIR 滤波器 与 SINC 滤波器 后的输出频谱图(共 6 张图,图11~图16),目的是评估在不同信号幅度下滤波器的频域性能表现。
测试环境是一样的,内容继续解读。
图号 | 输入电平 | 滤波器 | SNR (dB) | SINAD (dB) | THD (dB) | SFDR (dB) | 备注 |
|---|---|---|---|---|---|---|---|
图11 | -0.5 dBFS | FIR | 106.2 | 106.1 | -122.3 | 124.6 | 主信号 > 1 kHz,侧瓣低 |
图12 | -20 dBFS | FIR | 88.8 | 88.7 | -107.6 | 111.6 | 噪声底升高,失真显现 |
图13 | -40 dBFS | FIR | 68.1 | 68.1 | -91.7 | 96.7 | 信噪比明显下降,仍无明显 spurious |
图14 | -0.5 dBFS | SINC | 109.3 | 109.1 | -121.1 | 126.6 | 比 FIR 更高 SNR,但略高底噪纹波 |
图15 | -20 dBFS | SINC | 92.6 | 92.4 | -106.7 | 109.6 | 比 FIR 有更好的噪声底,但 SFDR 稍低 |
图16 | -40 dBFS | SINC | 72.4 | 72.4 | -92.7 | 100.1 | 整体保持更高动态指标 |
SINC 滤波器整体在 SNR、SINAD 指标上优于 FIR,尤其在低输入电平时(图15, 图16)表现更稳定。
FIR 滤波器在 -0.5dBFS 时具有略更低的 THD,噪声底也较干净,但随着信号幅度降低,SNR/SFDR 降低更快。
从 -0.5 → -40 dBFS:SNR 从约 106 → 68(FIR),109 → 72(SINC),这体现了 ADC 在低电平下的本底噪声限制。
动态范围估算:
FIR: ≈ 106.2 - 68.1 = 38.1 dB
SINC: ≈ 109.3 - 72.4 = 36.9 dB
即在高带宽配置下,动态范围约为 37–38 dB
两种滤波器在 -0.5 dBFS 时 THD < -121 dB,极为优秀,适合高保真应用。
在 -40 dB;FS 时,FIR 的 SFDR 降至 ~96 dB,而 SINC 仍保持 ~100 dB。
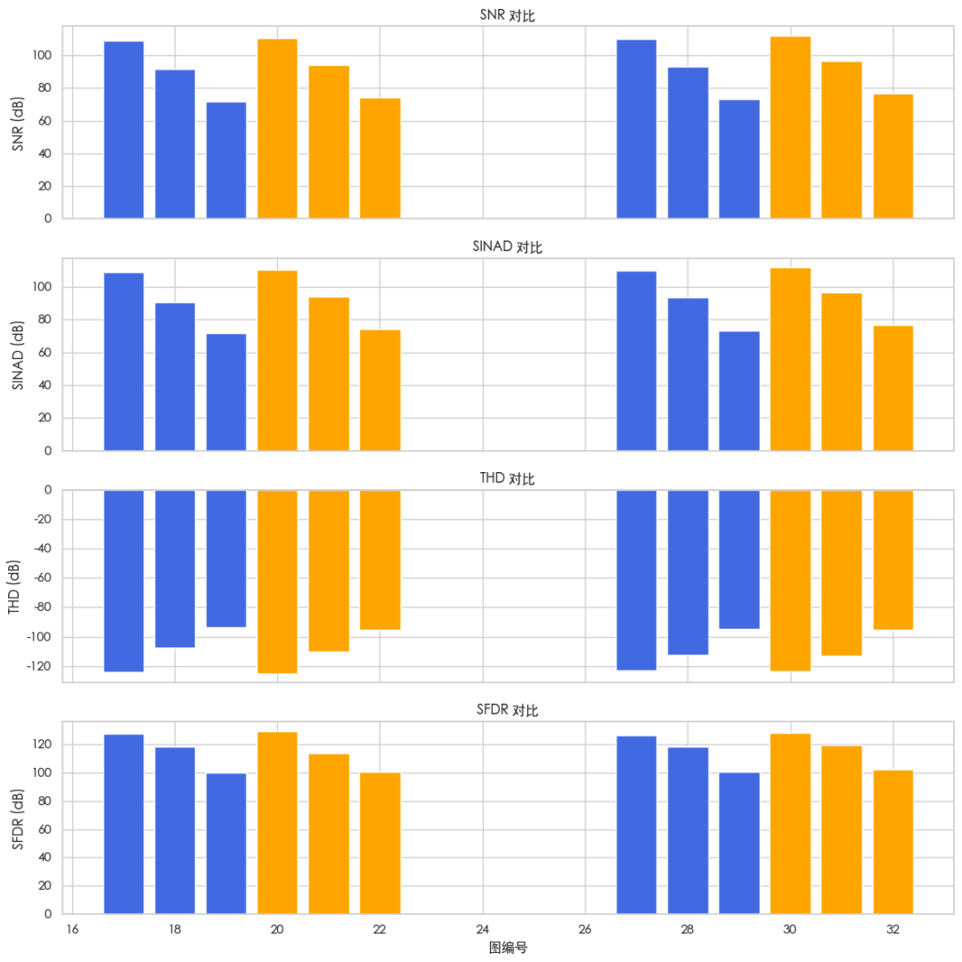
图号 | fCLK | 输入 | 滤波器 | SNR (dB) | SINAD (dB) | THD (dB) | SFDR (dB) | Data Rate (kS/s) |
|---|---|---|---|---|---|---|---|---|
图1 | 27 MHz | -0.5 | FIR | 106.7 | 106.6 | -123.5 | 127.8 | 105.47 |
图2 | 27 MHz | -20 | FIR | 88.6 | 86.6 | -106.8 | 97.3 | 105.47 |
图3 | 27 MHz | -40 | FIR | 67.9 | 67.9 | -91.0 | 97.3 | 105.47 |
图4 | 27 MHz | -0.5 | SINC | 109.3 | 109.1 | -122.6 | 126.7 | 105.47 |
图5 | 27 MHz | -20 | SINC | 93.0 | 92.9 | -110.5 | 113.4 | 105.47 |
图6 | 27 MHz | -40 | SINC | 71.7 | 71.6 | -91.0 | 97.6 | 105.47 |
图11 | 37 MHz | -0.5 | FIR | 106.2 | 106.1 | -122.3 | 124.6 | 144.53 |
图12 | 37 MHz | -20 | FIR | 88.8 | 88.7 | -107.6 | 111.6 | 144.53 |
图13 | 37 MHz | -40 | FIR | 68.1 | 68.1 | -91.7 | 96.7 | 144.53 |
图14 | 37 MHz | -0.5 | SINC | 109.3 | 109.1 | -121.1 | 126.6 | 144.53 |
图15 | 37 MHz | -20 | SINC | 92.6 | 92.4 | -106.7 | 109.6 | 144.53 |
图16 | 37 MHz | -40 | SINC | 72.4 | 72.4 | -92.7 | 100.1 | 144.53 |
指标 | FIR | SINC | 说明 |
|---|---|---|---|
SNR | 106–68 dB | 109–72 dB | SINC 稍优,尤其在低幅度下性能更稳 |
SINAD | 几乎等同 | 同 FIR | 总体差异不大 |
THD | -91~ -123 dB | -92~ -122 dB | 两者相近,FIR 在高输入时 THD 略优 |
SFDR | 97~128 dB | 97~127 dB | SINC 在 -20 dBFS 表现更好 |
纹波 | 更低,干净 | 有周期性波动 | 可视化频谱图可见 |
随着输入幅度从 -0.5 dBFS 降至 -40 dBFS:
SNR/SFDR 全线下降约 30–40 dB,说明在弱信号下噪声主导。
THD 几乎保持一致,说明非线性失真主要由内部电路而非输入信号主导。
SINC 相比 FIR 在低输入幅度下保持更高的 SNR 和 SFDR。
数据速率从 ~105.5 kS/s 提升到 ~144.5 kS/s,**提升约 37%**。
所有指标(SNR, SINAD, THD, SFDR)差异极小,说明滤波器的频率响应可很好适应主时钟变动。
频谱图中主频信号仍保持在 1 kHz 左右,带外噪声纹波保持一致,时钟切换对谱形无明显影响。
图号 | 滤波器 | Noiserms (μV) | Noisepp (μV) | 噪声分布 | 特点 |
|---|---|---|---|---|---|
图7 | FIR | 6.08 | 52.8 | 高斯分布 | 时域噪声略高,边缘偶有尖峰 |
图8 | FIR | 同上 | 对称正态 | 拟合优良 | |
图9 | SINC | 4.48 | 34 | 稍窄对称 | 更低的 RMS 和 PP 噪声 |
图10 | SINC | 同上 | 更集中 | 噪声方差较小,利于微弱信号 |
以上就是所有 HS 模式的测试图的详细解读,接下来就总结一下:

image-20250808183940123
在 HS 模式下,不同输入电平(-0.5 dBFS、-20 dBFS、-40 dBFS)和时钟频率(27 MHz / 37 MHz)下,FIR 与 SINC 滤波器的性能表现,包括:
SINC 滤波器在所有电平下 SNR 更优,尤其是在较高输入幅度时差距最大(约 +2~3 dB)。
随输入电平减小,SNR 等比例下降,呈线性趋势;提高 fCLK(从 27 → 37 MHz)对 SNR 提升有限。
SFDR 同样随输入电平下降而降低,但下降趋势比 SNR 更陡;在 -0.5 dBFS 处,SINC 滤波器 SFDR 稍优(+1~2 dB)。
FIR 滤波器在 -20 dBFS、-40 dBFS 时表现出更强的底噪抑制稳定性(部分因为主次谐波位置不同,SINC 会保留更多旁瓣)。
数据丰富,可以继续研究:

image-20250808184007697
HS 模式下,FIR 与 SINC 滤波器在不同输入电平(dBFS)和主时钟频率(fCLK = 27 MHz / 37 MHz)下的 SINAD 与 THD 性能对比,分为两个子图:
SINAD(信噪失真比)随着输入电平增加而上升
SINC 滤波器整体优于 FIR 滤波器,约提升 2~3 dB
fCLK = 37 MHz 时,SINAD 稍优于 27 MHz,特别是在中等输入电平(-20 dBFS)时更明显
THD(总谐波失真)在高输入电平下更优(数值更高表示失真更小)
SINC 滤波器在低输入电平(-20, -40 dBFS)下明显优于 FIR,尤其在 27 MHz 时差异更大,两种滤波器在接近满幅输入时性能差异缩小
上面也说了足够多的频域的数据分析,相信大家之后也可以自己评估一个数据手册的数据怎么样,但是还有一个 HR 模式没有写,这里就简单的写一下。
HR 模式下数据率为 52.73kS/s(由 fCLK=27 MHz 经抽取后得到),比 HS 模式下的 105~144kS/s 更低,换来了更优的噪声性能。

这个抽取率直接在这个图上面
有需要的朋友可以拿数据手册自己看从图17~图22 和 图27图32 提取:

image-20250808191547204
图表分别展示了 HR 模式下 FIR 和 SINC 两类数字滤波器的关键性能参数(所有的数据都是两个滤波器下的比较):
参数 | FIR 滤波器特点 | SINC 滤波器特点 |
|---|---|---|
SNR | 在高信号电平时略低于 SINC,但随输入幅度下降保持较高 SNR | SNR 在高信号时最强,但在低电平下略有下降 |
SINAD | FIR 和 SINC 在中高电平下相近,FIR 在低电平略优 | 同上 |
THD | 总体略逊于 SINC,但仍维持良好线性度 | 在高电平时 THD 非常优秀(< -125 dB) |
SFDR | SINC 在多数情况下 SFDR 更高,尤其在接近满量程输入下 | SINC 明显优于 FIR,杂散动态范围更好 |
如同 HS 模式一下,再总结一下 HR 模式的特点:
HR 模式(High Resolution):顾名思义,该模式优化高精度、低噪声采样,适合对信号保真度与低噪声要求极高的场景。
测试条件(如无特别说明):
温度:+25 °C
AVDD = 5V,DVDD = 1.8V,IOVDD = 3.3V
f_CLK = 27 MHz(部分图页为 37 MHz)
VREFP = 2.5V or 3V, VREFN = 0V
从图 17~32 中做出对比表:
项目 | 滤波器 | -0.5 dBFS | -20 dBFS | -40 dBFS | Output Noise RMS | Peak-to-Peak |
|---|---|---|---|---|---|---|
SNR (dB) | FIR | 109.0 | 91.7 | 71.6 | 4.92 μV | 40.5 μV |
SINC | 110.5 | 93.96 | 74.0 | 4.00 μV | 26.2 μV | |
SINAD (dB) | FIR | 108.9 | 91.6 | 71.5 | — | — |
SINC | 110.3 | 93.97 | 74.0 | — | — | |
THD (dB) | FIR | -124.3 | -111.6 | -93.6 | — | — |
SINC | -125.0 | -113.1 | -95.3 | — | — | |
SFDR (dB) | FIR | 127.4 | 117.9 | 100.1 | — | — |
SINC | 129.3 | 113.8 | 100.4 | — | — | |
Data Rate | FIR/SINC | 52.734 kS/s | 同左 | 同左 | — | — |
FIR 滤波器:频谱中高频衰减更平缓,transition band 较宽,杂散成分控制良好;低电平时(-40 dBFS)噪声基底上升更明显。
SINC 滤波器:杂散抑制能力最强(SFDR 最高达 129.3 dB),THD 也低,频率响应 sharper,截止带陡峭。
通过图 23–26 提供的时间波形 + 噪声直方图:
滤波器类型 | RMS 噪声(μV) | Pk-Pk 噪声(μV) | 直方图形态 |
|---|---|---|---|
FIR | 4.92 | 40.5 | 对称,偏峰锐 |
SINC | 4.00 | 26.2 | 峰度更高,噪声更集中 |
SINC 噪声密度更集中、总幅度更小,更适合用于低频、微弱信号采集。
VREFP = 3V 而非 2.5V,能有效提升 SNR 与动态范围。f_CLK = 27MHz 或 37MHz 密切相关,应在系统中确保时钟源稳定。HR 模式提供低速高分辨率采样能力,配合 FIR / SINC 可分别优化带宽或噪声性能,是高精度低频应用场景(如医疗、电化学、精密测量)中的首选配置。
把 HR 和 HS 的数据对比一下:
Mode Filter Input_Level SNR SINAD THD SFDR Noise_RMS \
0 HR FIR -0.5dBFS 109.00 108.90 -124.30 127.4 4.92
1 HR FIR -20dBFS 91.65 91.60 -111.60 117.9 NaN
2 HR FIR -40dBFS 71.55 71.53 -93.61 100.1 NaN
3 HS FIR -0.5dBFS 106.20 106.10 -122.30 124.6 NaN
4 HS FIR -20dBFS 88.70 88.72 -107.60 111.6 NaN
Noise_Peak
0 40.5
1 NaN
2 NaN
3 NaN
4 NaN

图标好看一些
HR 模式与 HS 模式在不同输入电平(-0.5dBFS、-20dBFS、-40dBFS)下,FIR 与 SINC 滤波器对应的关键性能参数对比表,包括:
SNR(信噪比),SINAD(总谐波+噪声失真比),THD(总谐波失真),SFDR(杂散动态范围),RMS 噪声与峰峰值(仅适用于噪声图对应输入电平)。
图表的形式不好看,可以画成雷达图统一对比,图为 HR 与 HS 模式在不同输入电平(-0.5dBFS、-20dBFS、-40dBFS)下的性能雷达图,覆盖以上除了 RMS 以外的四个核心指标:

-0.5dBFS
HR 模式(尤其 SINC 滤波器)在所有维度上全面优于 HS 模式;THD 方面 HR_SINC 达到 -125 dB,优于其它所有配置。

-20dBFS
所有配置的性能略有下降,HR 模式依旧保持优势;HR_SINC 的 SFDR 明显高于 HS 模式,表现稳定。

-40dBFS
差距进一步拉大,HS 模式性能衰减明显,尤其在 SFDR 和 THD 上;HR_SINC 依然保持稳定的高性能,是低电平输入下的优选模式。
这篇文章够长了,欢迎留言关于这个芯片感兴趣的内容,可以作为之后写作的主题。