
本文是机器学习分类算法基石,通过医疗诊断、金融风控等真实案例,零基础掌握逻辑回归的核心思想、数学原理和实战技巧。无需复杂数学背景,高中知识就能轻松理解!
接上一篇:七天学完十大机器学习经典算法-01.线性回归:用一根直线破解现实世界的密码
想象你要解决:
这些问题的共同点:需要做二分类决策。而逻辑回归正是解决这类问题的黄金算法。
行业应用统计:
某班级学生数据:
学习时长(小时) | 是否通过(1=通过, 0=未通过) |
|---|---|
2 | 0 |
5 | 0 |
8 | 1 |
12 | 1 |
15 | 1 |
关键观察:学习时间越长,通过概率越高
若用线性回归拟合:
问题:当时长=20小时,概率=1.8(>100%!)→ 概率必须限制在0-1之间
这时我们就会发现线性回归的局限性了。

其中 z = w·x + b(线性回归结果)
函数特性:
当 z=0 时:

表示模型无法判断(中立状态)
设定阈值(通常0.5):
几何意义:在特征空间中寻找最优分割平面
为什么不用平方误差?
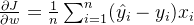
交叉熵定义:
![J(w,b) = -\frac{1}{n}\sum_{i=1}^{n} [y_i \log(\hat{y_i}) + (1-y_i)\log(1-\hat{y_i})]](https://developer.qcloudimg.com/http-save/yehe-100000/ee1c5a2a8bce041d2af7f7cd7a2ac86e.png)
其中 ŷ = σ(w·xᵢ + b)
案例计算: 假设某学生:
交叉熵损失:
L = -[1*log(0.3) + (1-1)*log(1-0.3)] = -log(0.3) ≈ 1.2
若预测提高到 ŷ=0.8:

其中 α 为学习率
通过链式法则:

惊人发现:形式与线性回归相同!

6. 重复直到收敛
from sklearn.datasets import load_breast_cancer
from sklearn.linear_model import LogisticRegression
from sklearn.metrics import accuracy_score
# 加载数据
data = load_breast_cancer()
X = data.data # 30个医学特征
y = data.target # 0=恶性, 1=良性
# 划分训练集/测试集
X_train, X_test, y_train, y_test = train_test_split(X, y, test_size=0.2, random_state=42)
# 创建模型(增加L2正则化防止过拟合)
model = LogisticRegression(penalty='l2', C=1.0, max_iter=1000)
# 训练模型
model.fit(X_train, y_train)
# 预测测试集
y_pred = model.predict(X_test)
# 评估准确率
accuracy = accuracy_score(y_test, y_pred)
print(f"模型准确率: {accuracy:.4f}") # 输出: 0.9649# 获取特征权重
feature_importance = pd.DataFrame({
'Feature': data.feature_names,
'Weight': model.coef_[0]
}).sort_values('Weight', ascending=False)输出示例:
最正相关特征:
- 纹理误差(Weight=1.32):纹理越均匀,良性概率越高
最负相关特征:
- 凹点数量(Weight=-1.87):凹点越多,恶性风险越大数据集包含3类:
解决方案:Softmax函数

其中 zₖ = wₖ·x + bₖ
from sklearn.datasets import load_iris
# 加载数据
iris = load_iris()
X, y = iris.data, iris.target
# 创建多分类逻辑回归
model = LogisticRegression(multi_class='multinomial', solver='lbfgs')
# 训练预测(省略拆分步骤)
model.fit(X, y)
# 查看预测概率
print(model.predict_proba([[5.1, 3.5, 1.4, 0.2]]))
# 输出: [[0.98, 0.02, 0.00]] → 高概率为Setosa分箱处理:将连续变量离散化
![pd.cut(age, bins=[0,18,35,60,100], labels=['child','young','adult','elder'])](https://developer.qcloudimg.com/http-save/yehe-100000/19fd6bc5efd8ddad30f16d80f6b8be3a.png)
当正负样本比例悬殊时(如欺诈检测):
过采样:SMOTE算法
from imblearn.over_sampling import SMOTE
smote = SMOTE()
X_res, y_res = smote.fit_resample(X_train, y_train)调整类别权重:
model = LogisticRegression(class_weight={0:1, 1:10}) # 重视少数类import shap
# 创建解释器
explainer = shap.LinearExplainer(model, X_train)
shap_values = explainer.shap_values(X_test)
# 可视化单个预测
shap.force_plot(explainer.expected_value, shap_values[0,:], X_test[0])真相:逻辑回归对特征分布无严格要求,但极端异常值会影响决策边界
解决方案:
from sklearn.preprocessing import RobustScaler
scaler = RobustScaler() # 使用中位数和四分位数缩放
X_scaled = scaler.fit_transform(X)真相:逻辑回归本质是线性分类器,但可通过特征工程解决非线性问题
创新方案:添加多项式特征
from sklearn.preprocessing import PolynomialFeatures
poly = PolynomialFeatures(degree=2, interaction_only=True)
X_poly = poly.fit_transform(X)真相:原始输出概率可能不准确,需校准
校准方法:
from sklearn.calibration import CalibratedClassifierCV
calibrated = CalibratedClassifierCV(model, method='isotonic', cv=3)
calibrated.fit(X_train, y_train)场景 | 推荐算法 | 原因 |
|---|---|---|
高解释性需求 | 逻辑回归 | 权重可解释性强 |
大规模数据 | 线性SVM | 计算效率更高 |
复杂非线性关系 | 神经网络 | 表达能力更强 |
特征间高度交互 | 决策树 | 自动捕捉交互效应 |

经验法则:逻辑回归不仅是算法,更是概率化思维的训练场。掌握它,就掌握了分类问题的通用解决范式!当需要平衡性能与解释性时,逻辑回归是首选。
如果本文对你有帮助,欢迎点赞收藏!下期预告:《七天学完十大机器学习经典算法-03.决策树:人类思考的算法实现》