题目链接 给你一棵 完整二叉树 的根,这棵树有以下特征:
0 要么值为 1 ,其中 0 表示 False ,1 表示 True 。2 要么值为 3 ,其中 2 表示逻辑或 OR ,3 表示逻辑与 AND 。计算 一个节点的值方式如下:
True 或者 False 。返回根节点 root 的布尔运算值。
完整二叉树 是每个节点有 0 个或者 2 个孩子的二叉树。
叶子节点 是没有孩子的节点。
示例 1:

输入: root = [2,1,3,null,null,0,1] 输出: true 解释: 上图展示了计算过程。 AND 与运算节点的值为 False AND True = False 。 OR 运算节点的值为 True OR False = True 。 根节点的值为 True ,所以我们返回 true 。
示例 2:
输入: root = [0] 输出: false 解释: 根节点是叶子节点,且值为 false,所以我们返回 false 。
提示:
[1, 1000] 之间。0 <= Node.val <= 30 或 2 。0 或 1 。2 或 3 。深度:dfs

我们得从下往上推才行 我们先看左子树是true还是false 再看右子树是true还是false
/**
* Definition for a binary tree node.
* struct TreeNode {
* int val;
* TreeNode *left;
* TreeNode *right;
* TreeNode() : val(0), left(nullptr), right(nullptr) {}
* TreeNode(int x) : val(x), left(nullptr), right(nullptr) {}
* TreeNode(int x, TreeNode *left, TreeNode *right) : val(x), left(left), right(right) {}
* };
*/
class Solution
{
public:
bool evaluateTree(TreeNode* root)
{
//返回条件 当我们当前的节点是叶子节点的话
if(root->left==nullptr) return root->val==0?false:true;//这里的话我们就不判断右子树了,因为这里是一个完整二叉树,左子树为空,那么右子树也为空。并且我们还需要对val进行判断操作,如果val是0的话,那么就返回false,否则的话就返回true
bool left=evaluateTree(root->left);//先去递归左子树
bool right=evaluateTree(root->right);//再去递归右子树
//现在我们找到了左右子树的信息了,那么我们就带上我们的根节点进行信息的整合操作
return root->val==2?left|right:right&left;
}
};题目链接
给你一个二叉树的根节点 root ,树中每个节点都存放有一个 0 到 9 之间的数字。
每条从根节点到叶节点的路径都代表一个数字:
1 -> 2 -> 3 表示数字 123 。计算从根节点到叶节点生成的 所有数字之和 。
叶节点 是指没有子节点的节点。
示例 1:

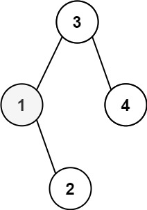
输入: root = [1,2,3]
输出: 25
解释:
从根到叶子节点路径 1->2 代表数字 12
从根到叶子节点路径 1->3 代表数字 13
因此,数字总和 = 12 + 13 = 25
示例 2:

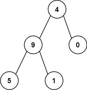
输入: root = [4,9,0,5,1]
输出: 1026
解释:
从根到叶子节点路径 4->9->5 代表数字 495
从根到叶子节点路径 4->9->1 代表数字 491
从根到叶子节点路径 4->0 代表数字 40
因此,数字总和 = 495 + 491 + 40 = 1026
提示:
[1, 1000] 内0 <= Node.val <= 910相同的子问题 当我们到一个节点的时候,我们需要拿到上面的数据,然后将这个数据和当前节点内的数据合并传给左右节点

1.函数头 int dfs(root,presum) 2.函数体 将数据获取、合并、传给左右节点 3.递归出口 叶子节点
/**
* Definition for a binary tree node.
* struct TreeNode {
* int val;
* TreeNode *left;
* TreeNode *right;
* TreeNode() : val(0), left(nullptr), right(nullptr) {}
* TreeNode(int x) : val(x), left(nullptr), right(nullptr) {}
* TreeNode(int x, TreeNode *left, TreeNode *right) : val(x), left(left), right(right) {}
* };
*/
class Solution
{
public:
int sumNumbers(TreeNode* root)
{
return dfs(root,0);//我们是从0开始的,从根节点开始
}
int dfs(TreeNode*root,int presum)
{
presum=presum*10+root->val;//传给根节点的数据
//返回条件(出口)到了叶子节点就返回了
if(root->left==nullptr&&root->right==nullptr)
return presum;
int ret=0;//返回值
if(root->left)ret+=dfs(root->left,presum); //满足条件的话直接加等上去左子树的值
if(root->right)ret+=dfs(root->right,presum);
return ret;
}
};题目链接
给你二叉树的根结点 root ,此外树的每个结点的值要么是 0 ,要么是 1 。
返回移除了所有不包含 1 的子树的原二叉树。
节点 node 的子树为 node 本身加上所有 node 的后代。
示例 1:

输入: root = [1,null,0,0,1] 输出:[1,null,0,null,1] 解释: 只有红色节点满足条件“所有不包含 1 的子树”。 右图为返回的答案。
示例 2:

输入: root = [1,0,1,0,0,0,1] 输出:[1,null,1,null,1]
示例 3:

输入: root = [1,1,0,1,1,0,1,0] 输出:[1,1,0,1,1,null,1]
提示:
[1, 200] 内Node.val 为 0 或 1将节点里面的值都是0的数删除了 只要子树里面都是0,那么我们就将这个树抹掉
这个题肯定是一个后续遍历的,因为我们需要知道左子树和右子树的信息,看看是否为0
1.函数头 Node* dfs(root)
2.函数体 1.处理左子树 2.处理右子树 3.判断 3.递归出口 当root== null

/**
* Definition for a binary tree node.
* struct TreeNode {
* int val;
* TreeNode *left;
* TreeNode *right;
* TreeNode() : val(0), left(nullptr), right(nullptr) {}
* TreeNode(int x) : val(x), left(nullptr), right(nullptr) {}
* TreeNode(int x, TreeNode *left, TreeNode *right) : val(x), left(left), right(right) {}
* };
*/
class Solution
{
public:
TreeNode* pruneTree(TreeNode* root)
{
//递归出口
if(root==nullptr) return nullptr;//如果当前根节点是空的话,那么我们就返回
//将当前根节点的左子树和右子树的0节点删除
root->left=pruneTree(root->left);
root->right=pruneTree(root->right);
if(root->left==nullptr&&root->right==nullptr&&root->val==0)//如果左右子树为空,并且根节点值为0,那么我们就删除
{
//将当前根节点置为空
//delete root;//防止内存泄漏
root=nullptr;
}
return root;//返回根节点
}
};如果我们节点是new出来的话我们就可以delete了,这样可以防止内存泄漏
题目链接
给你一个二叉树的根节点 root ,判断其是否是一个有效的二叉搜索树。
有效 二叉搜索树定义如下:
示例 1:

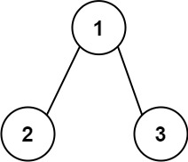
输入: root = [2,1,3] 输出: true
示例 2:

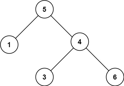
输入: root = [5,1,4,null,null,3,6] 输出: false 解释: 根节点的值是 5 ,但是右子节点的值是 4 。
提示:
[1, 104] 内-231 <= Node.val <= 231 - 1左子树小于根节点,右子树大于根节点
二叉搜素树的中序遍历的结果,是一个有序的序列 这个题的话我们可以借助全局变量+中序遍历解决这个题
策略一:左子树是二叉搜索树 当前节点符合二叉搜索树的定义 右子树也是二叉搜索树
策略二: 当我们发现某个节点不符合条件的话,不是二叉搜索树的话,那么我们就没必要往后面进行搜索了,直接从这个位置向上返回false就行了
减枝的操作加快了我们的搜索过程
策略一的代码,代码很暴力,将整棵树都进行了遍历的操作
/**
* Definition for a binary tree node.
* struct TreeNode {
* int val;
* TreeNode *left;
* TreeNode *right;
* TreeNode() : val(0), left(nullptr), right(nullptr) {}
* TreeNode(int x) : val(x), left(nullptr), right(nullptr) {}
* TreeNode(int x, TreeNode *left, TreeNode *right) : val(x), left(left), right(right) {}
* };
*/
class Solution
{
long prev=LONG_MIN;//全局变量遍历树
public:
bool isValidBST(TreeNode* root)
{
if(root==nullptr) return true;//如果根节点是空的话,那么这也是个二叉搜索树了
auto left=isValidBST(root->left);//获取左子树的返回节点
bool cur=false;//来标记我们当前数是不是二叉搜索树
if(root->val>prev)//如果根节点的值大于前驱的值的话,那么就满足条件
{
cur=true;
}
prev=root->val;
//去右子树看看是不是二叉搜索树
auto right=isValidBST(root->right);
return left&&right&&cur;//判断这个树是否是一个合格的二叉搜索树,利用这三个变量
}
};策略二:剪枝
我们在遍历左子树后面加上if(left==false) return false;就行了,如果左子树返回的是false的话,那么我们就没有必要往后进行遍历的操作了
我们在判断完当期节点是否符合要求后,如果cur被改变成true的话,就说明这个节点是不符合要求的,所以我们直接返回false就行了
这个代码一共有两处剪枝的操作,都可以提高效率,不用一个个节点的遍历
/**
* Definition for a binary tree node.
* struct TreeNode {
* int val;
* TreeNode *left;
* TreeNode *right;
* TreeNode() : val(0), left(nullptr), right(nullptr) {}
* TreeNode(int x) : val(x), left(nullptr), right(nullptr) {}
* TreeNode(int x, TreeNode *left, TreeNode *right) : val(x), left(left), right(right) {}
* };
*/
class Solution
{
long prev=LONG_MIN;//全局变量遍历树
public:
bool isValidBST(TreeNode* root)
{
if(root==nullptr) return true;//如果根节点是空的话,那么这也是个二叉搜索树了
auto left=isValidBST(root->left);//获取左子树的返回节点
//剪枝操作
if(left==false) return false;
bool cur=false;//来标记我们当前数是不是二叉搜索树
//判断当前节点是否符合要求
if(root->val>prev)//如果根节点的值大于前驱的值的话,那么就满足条件
{
cur=true;
}
//剪枝操作
if(cur==false )return false;//如果我们当前节点为false的话,我们直接返回false
prev=root->val;
//去右子树看看是不是二叉搜索树
auto right=isValidBST(root->right);
return left&&right&&cur;//判断这个树是否是一个合格的二叉搜索树,利用这三个变量
}
};这里的话我们的代码是中序遍历 左子树->中子树->右子树 依次进行判断操作

题目链接
给定一个二叉搜索树的根节点 root ,和一个整数 k ,请你设计一个算法查找其中第 k 小的元素(从 1 开始计数)。
示例 1:

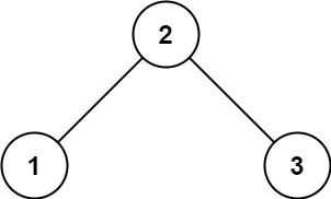
输入: root = [3,1,4,null,2], k = 1 输出: 1
示例 2:

输入: root = [5,3,6,2,4,null,null,1], k = 3 输出: 3
提示:
n 。1 <= k <= n <= 1040 <= Node.val <= 104进阶: 如果二叉搜索树经常被修改(插入/删除操作)并且你需要频繁地查找第 k 小的值,你将如何优化算法?
两个全局变量+一个中序遍历就可以解决问题了
二叉搜索树的中序遍历是一个有序数组 并且我们这里可以使用剪枝的操作,当我们找到结果后,我们可以就可以停止了后面的遍历了,直接终止递归操作,直接向上返回就行了
两个全局变量,count=k,遍历一次就减去1,直到count减到0,那么此时的数就是第k小的数了,那么我们再用另一个变量ret进行标记操作,返回就行了
/**
* Definition for a binary tree node.
* struct TreeNode {
* int val;
* TreeNode *left;
* TreeNode *right;
* TreeNode() : val(0), left(nullptr), right(nullptr) {}
* TreeNode(int x) : val(x), left(nullptr), right(nullptr) {}
* TreeNode(int x, TreeNode *left, TreeNode *right) : val(x), left(left), right(right) {}
* };
*/
class Solution
{
int count;//用来计数的
int ret;//返回最终的结果
public:
int kthSmallest(TreeNode* root, int k)
{
count=k;
dfs(root);//直接就是中序遍历
return ret;
}
//如果上面不进行全局变量的话,我们还得进行传参操作
void dfs(TreeNode*root)
{
//我们将剪枝操作加到这里
if(root==nullptr||count==0)return;
dfs(root->left);
count--;
if(count==0)ret=root->val;
dfs(root->right);
}
};题目链接
给你一个二叉树的根节点 root ,按 任意顺序 ,返回所有从根节点到叶子节点的路径。
叶子节点 是指没有子节点的节点。 示例 1:

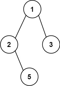
输入: root = [1,2,3,null,5] 输出:[“1->2->5”,“1->3”]
示例 2:
输入: root = [1] 输出:[“1”]
提示:
[1, 100] 内-100 <= Node.val <= 100我们这里使用全局变量path进行恢复现场的话很难操作 我们将这个path搞成一个参数放到函数中,函数帮助我们恢复现场
函数头:void dfs(root,path)
函数体: if(root== 叶子节点) 我们将这个节点 的path丢到ret中
如果不是叶子节点的话,我们添加完当前的数添加箭头
递归出口:当前节点为空的话,我们直接返回
/**
* Definition for a binary tree node.
* struct TreeNode {
* int val;
* TreeNode *left;
* TreeNode *right;
* TreeNode() : val(0), left(nullptr), right(nullptr) {}
* TreeNode(int x) : val(x), left(nullptr), right(nullptr) {}
* TreeNode(int x, TreeNode *left, TreeNode *right) : val(x), left(left), right(right) {}
* };
*/
class Solution
{
public:
vector<string> ret;//记录结果
vector<string> binaryTreePaths(TreeNode* root)
{
string path;
dfs(root,path);
return ret;
}
void dfs(TreeNode*root,string path)//这里我们不需要在path前面加引用,加上了就说明这个path是个全局变量
{
path+=to_string(root->val);//将当前的值追加进去,不管是不是叶子节点,都要将这句话加进去
if(root->left==nullptr&&root->right==nullptr)//说明这是个叶子节点
{
ret.push_back(path);//将这个加入到最终的结果里面
return;
}
//如果是非叶子节点的话,我们加上当前的值和一个箭头
path+="->";
if(root->left)dfs(root->left,path);
if(root->right)dfs(root->right,path);
}
};