本篇来详细说一下红黑树。红⿊树是⼀棵⼆叉搜索树,AVL树是通过平衡因子控制树的平衡,红黑树就是通过颜色控制平衡,听起来比较抽象,但是这比AVL树学起来简单一点点。并且看这篇文之前我默认大家已经看过我写的AVL树的实现的博文:【C++】AVL树的概念及实现
红⿊树是⼀棵⼆叉搜索树,他的每个结点增加⼀个存储位来 表⽰结点的颜⾊ ,可以是 红⾊ 或者 ⿊⾊ 。通过对任何⼀条从根到叶⼦的路径上各个结点的颜⾊进⾏约束,红⿊树确保没有⼀条路径会⽐其他路径⻓出 2倍 ,因⽽是 接近平衡的 。
红⿊树的规则:

上图就是两颗红黑树,还有非常均衡的满二叉树红黑树,也有全黑的,都是符合规则的红黑树。

结合前面提到的4点规则,看着图理解。
这里再强调一下路径怎么数。拿下面这颗树举例,这颗树的路径有9条,不是4条!不是算到叶子节点就完事了!

有的书上还会像下面这么画红黑树。

《算法导论》等书籍上补充了⼀条每个叶⼦结点(NIL)都是⿊⾊的规则。他这⾥所指的叶⼦结点
不是传统的意义上的叶⼦结点,⽽是我们说的空结点,有些书籍上也把NIL叫做外部结点。NIL就是为了⽅便准确的标识出所有路径,《算法导论》在后续讲解实现的细节中也忽略了NIL结点,所以我们知道⼀下这个概念即可。
从这里就能看出来,红黑树那几个规则单看觉得莫名其妙,组合起来真是妙不可言。
假设N是红⿊树树中结点数量,h是 最短 路径的⻓度,那么
− 1 <= N <
− 1,
由此推出
,也就是意味着红⿊树增删查改 最坏 也就是⾛最⻓路径 2*log N ,那么时间复杂度还是O(log N)。

红⿊树的表达相对AVL树要抽象⼀些,AVL树通过⾼度差直观的控制了平衡。红⿊树通过4条规则的颜⾊约束,间接的实现了 近似平衡 ,他们效率都是 同⼀档次 的,但是相对⽽⾔,插⼊相同数量的结点 ,红⿊树 的 旋转次数是更少的 ,因为他对平衡的控制没那么严格。
实现之前新建一个头文件RBTree.h,再新建一个源文件test.cpp。
在RBTree.h中实现。因为红黑树要表示颜色,所以我们用一个枚举。
// 枚举值表⽰颜⾊
enum Colour
{
RED,
BLACK
};然后其他部分跟AVL树的结构差不多,就是把AVL树的平衡因子换成这个颜色。
template <class K, class V>
class RBTreeNode
{
pair<K, V> _kv;
RBTreeNode<K, V>* _left;
RBTreeNode<K, V>* _right;
RBTreeNode<K, V>* _parent;
Colour _col;
RBTreeNode(const pair<K, V>& kv)
:_kv(kv)
,_left(nullptr)
,_right(nullptr)
,_parent(nullptr)
{}
};
template<class K, class V>
class RBTree
{
typedef RBTreeNode<K, V> Node;
public:
//相关实现
private:
Node* _root = nullptr;
};插⼊⼀个值先按⼆叉搜索树规则进⾏插⼊,插⼊后我们只需要观察是否符合红⿊树的4条规则。
插入时,新增节点应该是黑色还是红色?红色黑色都可以吗?并不是都可以。
分析一下为什么插入红色节点就可以。

现在需要根据u分为以下⼏种情况分别处理。
u存在且为红:
因为p和u都是红⾊,g是⿊⾊,把p和u变⿊,左边⼦树路径各增加⼀个⿊⾊结点, g再变红 ,左边⼦树路径各减少⼀个⿊⾊结点,相当于 保持g所在⼦树的 ⿊⾊ 结点的数量不变 ,同时 解决了c和p连续红⾊结点的问题 。

这是g的父亲节点为黑的情况,为黑更新就结束了,但是因为g是黑色,g的父节点(不为根节点的情况下)还可能是红色。如果是红色,就会又有连续红节点的情况。

此时我们需要继续向上更新,把此时的g当作新的c,一步一步更新。
上面是一些具体的例子,我们换成抽象图来看一下。

如果要继续向上更新的话,原来的g变成新的c过程也是一样的。

u存在且为红的情况就说完了。
u不存在:
按照这种变色方式就会违反规则。

因为这导致如下绿色标记的路径上只有1个黑色节点,别的路径都是2个。( 要切记路径是要走到nullptr)

这种情况下我们就要进行旋转了。
u不存在:
可以进行一个单旋后再变色。

这样操作后,每条路径上的黑色节点就一样多了。
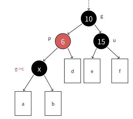
u存在但是为黑:
在这种情况下也需要进行单旋+变色。

此时c在这种情况下必须是存在且为黑,如果不为黑的话,不同路径上的黑色节点数就不相同。
但是我们新增的节点一定是红色,证明此时的c,也就是x节点,不是新增节点,这个黑色节点有可能是因为在a或b插入节点,让a和b的根也就是x节点变成了黑色,也有可能是本来就是黑色,反正他就是要为黑。
触发单旋+变色情况的话,就是让这个本来就是黑色的x节点,由于之前的变换由黑色变成了红色。
解决方法就是:以10为旋转中心进行右旋,然后让p变黑,g变红。

上面这种情况是u为g的右子树,并且c是p的左子树,如果u是g的左子树,我们就以g为旋转点进行左旋就好了。
这还有一个更细节的展开图。

前面说的都是会触发单旋的情况,因为g、p、c在一边,如果g、p、c不在同一边,就会触发双旋+变色的情况。

u不存在:
u不存在的情况如图。

c为新增,我们可以选择对g这个节点进行左右双旋,也可以选择先对p节点进行左单旋,然后对g节点右单旋,结果都是一样的,这里主要体现在代码实现上。
u存在且为黑:
这里触发双旋+变色的情况和单旋那里一样,在u存在且为黑的条件下c必须也为黑,此时的c同样不是新增节点,理由同上。

旋转之后再把 c变 ⿊ ,g变红 即可。
更详细的图可以看一下。

在RBTree类中public实现。
首先按二叉搜索树的规则插入,并且增加一步,就是改颜色。
bool insert(const pair<K, V>& kv)
{
if (_root == nullptr)
{
_root = new Node(kv);
_root->_col = BLACK; //根节点为黑色
return true;
}
Node* parent = nullptr;
Node* cur = _root;
while (cur)
{
if (cur->_kv.first > kv.first)
{
parent = cur;
cur = cur->_left;
}
else if (cur->_kv.first < kv.first)
{
parent = cur;
cur = cur->_right;
}
else return false;
}
cur = new Node(kv);
cur->_col = RED; //新插入节点为红色
if (cur->_kv.first < parent->_kv.first)
{
parent->_left = cur;
}
else
{
parent->_right = cur;
}
cur->_parent = parent;
}然后就是变色的逻辑,因为可能存在一直向上更新的情况,所以这里用了一个while。
bool insert(const pair<K, V>& kv)
{
//...
//上面是插入逻辑
while (parent && parent->_col == RED) //循环控制
{
Node* grandfather = parent->_parent;//先定义祖父节点
}
}然后定义u节点,u节点可能是g节点的左,也可能在g的右,分情况定义。
bool insert(const pair<K, V>& kv)
{
//...
//上面是插入逻辑
while (parent && parent->_col == RED) //循环控制
{
Node* grandfather = parent->_parent;//先定义祖父节点
if (parent == grandfather->_left) //p为左,u为右
{
Node* uncle = grandfather->_right;
}
else //p为右,u为左
{
Node* uncle = grandfather->_left;
}
}
}我们先看u为右的情况。

如果只需要变色,不用旋转,代码如下。
bool insert(const pair<K, V>& kv)
{
//...
//上面是插入逻辑
while (parent && parent->_col == RED) //循环控制
{
Node* grandfather = parent->_parent;//先定义祖父节点
if (parent == grandfather->_left) //p为左,u为右
{
Node* uncle = grandfather->_right;
if (uncle && uncle->_col == RED) //u存在且为红
{
parent->_col = BLACK; //u和p变黑
uncle->_col = BLACK;
grandfather->_col = RED;//g变红
cur = grandfather; //继续向上更新
parent = cur->_parent;
}
}
else //p为右,u为左
{
Node* uncle = grandfather->_left;
}
}
}然后就是u不存在或者u存在且为黑的情况,这种情况需要用到旋转的代码。这里旋转的代码和AVL树的旋转代码大差不差,旋转相关的讲解也在【C++】AVL树的概念及实现(图文超详解),这里就直接用了。
void rotateR(Node* parent) //右单旋
{
Node* subL = parent->_left;
Node* subLR = subL->_right;
parent->_left = subLR;
if (subLR) //防止对空指针解引用
subLR->_parent = parent;
Node* pParent = parent->_parent; //先记录旋转前parent的父节点
subL->_right = parent;
parent->_parent = subL;
if (pParent == nullptr) //旋转前parent为根节点
{
_root = subL;
subL->_parent = nullptr;
}
else //旋转前parent不为根节点
{
subL->_parent = pParent;
if (pParent->_left == parent)
{
pParent->_left = subL;
}
else
{
pParent->_right = subL;
}
}
}void rotateL(Node* parent) //左单旋
{
Node* subR = parent->_right;
Node* subRL = subR->_left;
parent->_right = subRL;
if (subRL)
subRL->_parent = parent;
Node* pParent = parent->_parent; //记录parent的_parent
subR->_left = parent;
parent->_parent = subR;
if (pParent == nullptr)//更新前的parent是整棵树根节点
{
_root = subR;
subR->_parent = nullptr;
}
else
{
subR->_parent = pParent;
if (pParent->_left == parent)
pParent->_left = subR;
else
pParent->_right = subR;
}
}这里的旋转和AVL树唯一不同的就是,这里不需要平衡因子。并且我这里实现的是单旋两次的方式,所以只需要单选代码就行了。
bool insert(const pair<K, V>& kv)
{
//...
//上面是插入逻辑
while (parent && parent->_col == RED) //循环控制
{
Node* grandfather = parent->_parent;//先定义祖父节点
if (parent == grandfather->_left) //p为左,u为右
{
Node* uncle = grandfather->_right;
if (uncle && uncle->_col == RED) //u存在且为红
{
parent->_col = BLACK; //u和p变黑
uncle->_col = BLACK;
grandfather->_col = RED;//g变红
cur = grandfather; //继续向上更新
parent = cur->_parent;
}
else //u不存在 或 u存在且为黑
{
if (cur == parent->_left) //单旋
{
rotateR(grandfather);//以g为旋转点右旋
parent->_col = BLACK; //变色
grandfather->_col = RED;
}
}
}
else //p为右,u为左
{
Node* uncle = grandfather->_left;
}
}
}else //u不存在 或 u存在且为黑
{
if (cur == parent->_left) //单旋
{
rotateR(grandfather);//以g为旋转点右旋
parent->_col = BLACK; //变色
grandfather->_col = RED;
}
else //双旋
{
rotateL(parent); //先对p左旋
rotateR(grandfather);//再对g右旋
//变色
cur->_col = BLACK;
grandfather->col = RED;
}
break;
}到这里我们u为g右子树的情况就处理好了,然后我们来写u为g左子树的情况。

所有代码实现逻辑和u为右子树是一样的,只不过旋转的方向相反而已。
bool insert(const pair<K, V>& kv)
{
//...
//上面是插入逻辑
while (parent && parent->_col == RED) //循环控制
{
Node* grandfather = parent->_parent;//先定义祖父节点
if (parent == grandfather->_left) //p为左,u为右
{
//这里是u为右逻辑
//...
}
else //p为右,u为左
{
Node* uncle = grandfather->_left;
if (uncle && uncle->_col == RED) //u存在且为红
{
parent->_col = BLACK; //p和u变黑
uncle->_col = BLACK;
grandfather->_col = RED;//g变红
cur = grandfather; //继续向上更新
parent = cur->_parent;
}
else //u不存在 或 存在且为黑
{
if (cur == parent->_right) //单旋
{
rotateL(grandfather);//以g为中心左旋
parent->_col = BLACK; //p变黑
grandfather->_col = RED;//g变红
}
else //双旋
{
rotateR(parent);//先以p为中心右旋
rotateL(grandfather);//再以g为中心左旋
cur->_col = BLACK; //c变黑
grandfather->_col = RED;//g变红
}
break;
}
}
}
}在最后加上这句代码。不管怎么变色,根都是黑色,直接加上这句也不用分情况讨论根节点情况了。最后返回true。

到这里插入的代码就写好了。
按⼆叉搜索树逻辑实现即可,搜索效率为 O ( logN )。
在 RBTree类中 public实现。
Node* Find(const K& key)
{
Node* cur = _root;
while (cur)
{
if (cur->_kv.first < key)
{
cur = cur->_right;
}
else if (cur->_kv.first > key)
{
cur = cur->_left;
}
else
{
return cur;
}
}
return nullptr;
}红黑树要求最长路径不超过最短路径的2倍,我们只需去检查4点规则,如果满⾜这4点规则,就⼀定能保证最⻓路径不超过最短路径的2倍。

下面给了有几个代码可进行验证。
在RBTree类中private实现。
bool Check(Node* root, int blackNum, const int refNum)
{
if (root == nullptr)
{
// 前序遍历走到空时,意味着⼀条路径走完了
//cout << blackNum << endl;
if (refNum != blackNum)
{
cout << "存在黑色结点的数量不相等的路径" << endl;
return false;
}
return true;
}
// 检查孩子不太⽅便,因为孩⼦有两个,且不⼀定存在,反过来检查⽗亲就方便多了
if (root->_col == RED && root->_parent->_col == RED)
{
cout << root->_kv.first << "存在连续的红⾊结点" << endl;
return false;
}
if (root->_col == BLACK)
{
blackNum++;
}
return Check(root->_left, blackNum, refNum)
&& Check(root->_right, blackNum, refNum);
}上面的代码是用一个形参 blackNum 记录当前路径的黑色节点数量,refNum是一个参考值,就是随便一条路径的黑色节点数量,refNum和blackNum进行对比,不一样就返回false。
所以我们要先计算出一条路径的黑色节点数量,然后调用Check这个函数。
在RBTree类中public实现。
bool IsBalance()
{
if (_root == nullptr)
return true;
if (_root->_col == RED)
return false;
// 参考值
int refNum = 0;
Node* cur = _root;
while (cur)
{
if (cur->_col == BLACK)
{
++refNum;
}
cur = cur->_left;
}
return Check(_root, 0, refNum);
}我们还要用到中序遍历。
void Inoder() //中序遍历
{
_Inorder(_root);
cout << endl;
}下面这个代码在RBTree类中private实现。
void _Inorder(const Node* root)
{
if (root == nullptr)
return;
_Inorder(root->_left);
cout << root->_kv.first << ":" << root->_kv.second << ' ';
_Inorder(root->_right);
}然后我们到test.cpp里测试,测试样例如下。
#include "RBTree.h" //包含头文件
int main()
{
RBTree<int, int> t;
// 常规的测试⽤例
int a[] = { 16, 3, 7, 11, 9, 26, 18, 14, 15 };
// 特殊的带有双旋场景的测试⽤例
//int a[] = { 4, 2, 6, 1, 3, 5, 15, 7, 16, 14 };
for (auto e : a)
{
t.insert({ e, e });
}
t.Inoder();
cout << t.IsBalance() << endl;
return 0;
}先测常规用例。

再测特殊用例。

都通过了测试,这个红黑树就实现好了。
红黑树的删除部分在这里就不实现了,有兴趣的可参考:《算法导论》或者《STL源码剖析》中讲解。
本次分享就到这里了,我们下篇再见~